土木在线论坛 \ 建筑结构 \ 地基基础 \ 何为土的渗透性?

何为土的渗透性?

发布于:2022-09-15 15:05:15 来自:建筑结构/地基基础 [复制转发]

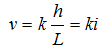
土体孔隙中的自由水,在重力作用下会发生运动。如基坑开挖排水施工期间地下水会源源不断的流向基坑。这种土体被水透过的性质,称为土的渗透性。1856 年,法国学者达西(Darcy,H.)根据砂土渗透实验发现,水的渗透速度与水力坡降成正比,即如下的达西定律:

图片

式中:v为渗透速度,土体试样全断面的平均渗流速度,也称假想渗流速度,m/s

h为水头差,m

L为渗径,m

k为土的渗透系数,m/s

渗透系数k反映土的透水性能的比例系数,其物理意义为水力坡降i=1时的渗流速度,单位:cm/s, m/s, m/day

i=1时,v=k。这表明渗透系数k是单位水力坡降的渗透速度,它是表示土的渗透性强弱的指标,一般由室内渗透试验和现场抽水试验来确定。常见土的渗透系数值见表2-1。

表 2-1 常见土的渗透系数值

土体类别 渗透系数(m/s) 土体类别 渗透系数(m/s)
粘 土 <5×10-8 细砂 10-5~5×10-5
粉质粘土 5×10-8~10-6 中砂 5×10-5~2×10-4
粉 土 10-6~5×10-6 粗砂 2×10-4~5×10-4
黄 土 2.5×10-6~5×10-6 圆砾 5×10-4~10-3
粉 砂 5×10-8~10-5 卵砾 10-3~5×10-3

单位时间渗出水量:

图片

达西定律适用条件:

适用于层流的情况,故一般只适用于中砂、细砂、粉砂等。对粗砂、砾石、卵石等粗颗粒土就不适用,因为此时水的渗透流速较大,已不是层流而是紊流。

1)岩土工程中的绝大多数渗流问题,包括砂土或一般粘土,均属层流范围。

2)致密黏土的渗流需要将达西定律修正:v=k(I-I0

3)粗粒土孔隙中,水流形态会随流速增大呈紊流状态,渗流不再服从达西定律。

图片

图2-3 达西试验

图片

图2-4  v-i关系图


内容源于网络,如有侵权,请联系删除


相关资料推荐:

混凝土路面砖渗透性试验装置.

水有机污染处理的渗透性反应墙技术


知识点:土的渗透性

  • daghy
    daghy 沙发

    看一下。。学习下这方面的内容

    2022-09-18 08:54:18

    回复 举报
    赞同0
这个家伙什么也没有留下。。。

地基基础

返回版块

12.11 万条内容 · 716 人订阅

猜你喜欢

阅读下一篇

地基的临塑荷载和临界荷载

1.地基的临塑荷载 1)定义 临塑荷载pcr 是地基变形的第一、二阶段的分界荷载,即地基中刚开始出现塑性变形区时,相应的基底压力。 2)计算公式 图4 条形均布荷载作用下地基中的主应力和塑形区 如图所示,条形基础在均布荷载作用下,当基础埋深为d,侧压力系数为1,地基中任意深度z处一点M,它的最大主应力和最小主应力分别为

回帖成功

经验值 +10