来源:“从钢结构到装配式钢结构建筑”
谈谈《钢结构设计标准》(GB 50017-2017)(简称“钢标”)的抗震设计,也称之为“钢结构抗震性能化设计”,这是钢标相对于《钢结构设计规范》(GB 50017-2003)(简称“钢规”)变化最大的一部分内容。
钢标的抗震性能化设计具体怎么做,包括设计软件中如何操作,已经有一些文章进行了详细阐述。本文并不准备去重复那些内容,而只是打算就抗震设计的原理性问题以及几个关键要点进行澄清,帮助你从概念层面的深入理解,以免给程序玩死(换句话说,看本文之前,应该好好看过钢标)。
另外还是得说明(虽然本该是结构工程师的常识),程序是程序,规范是规范,程序仅仅代表了编程人员对规范的理解,可能对,也可能错。倒是,规范理解不到位,做设计容易给程序玩残。经常有人问我,某某软件计算结果红了,怎么调?我一般回答,程序的操作问题,去问软件客服。红了绿了的事,用规范语言来描述,我才能跟你讨论(似乎开篇说了一些废话,抱歉抱歉……)
一、抗震性能化设计vs传统抗震设计,原理上的差异是啥?
在本公众号发表的前几篇解读文章中已经谈到,钢标的抗震性能化设计描述为:
“在能量输入相同的条件下,结构延性越好,弹性承载力要求越低,反之,结构延性差,则弹性承载力要求高,本规范简称为“高延性-低承载力”和“低延性-高承载力”两种抗震设计思路,均可达成大致相同的设防目标。结构根据预先设定的延性等级确定对应的地震作用的设计方法,本规范称为‘性能化设计方法’……”
即,抗震并不是非得延性,高延性和低延性,都能实现抗震设防目标,可以进行选择,怎么合理怎么做。从地震工程学的理论看,实际上就是下图表达的等能量原理,结构可以可以按照图中不同的路径抗震,不同曲线和横坐标围住的面积相同(即地震能量)即可。不同路径对应不同的弹性承载力和延性。

传统的抗震设计是什么思路呢?抗规抗震设计的思路是,结构在设防地震作用下会进入弹塑性。因此,基于基于延性耗能的原则,设防烈度高需要耗能多点,延性要求就高。所以抗规的抗震构造就根据建筑高度和设防烈度决定的抗震等级来确定(等级高延性要求就高,当然也不尽然)。
所以,钢标的抗震性能化设计,实际上是在常规抗震设计方法(考虑一定的延性,大致属于中到高延性)的基础上还给了另一个低延性的抗震设计途径,从而能适用于更多的情况。
二、抗震性能化设计vs传统抗震设计,具体设计流程上的区别在哪儿?
常规的抗震设计方法,按照小震地震作用计算+抗震构造要求进行设计。
抗震性能化设计则是小震设计后,再进行中震设计。中震设计时,是在承载力和延性之间的平衡和选择,实际上可能处于一个迭代循环过程,即假定塑性耗能区承载性能等级(与塑性耗能区的延性等级直接挂钩,设防类别高的提高一档),得到地震作用效应,再进行构件承载力抗震验算(钢标17.2.1~17.2.3条),以及机构控制验算(17.2.4~17.2.12条),如有问题则进行调整,循环计算。
塑性耗能区承载性能等级则与延性措施对应,选择了什么等级则要求在设计时采用对应的抗震措施(17.3节)。需要注意的是,抗震措施不再是一刀切,而是对应不同的等级采用对应的措施,这是与常规抗震设计方法最大的区别,也是体现其设计合理性的地方。
抗震性能化设计中,有几个关键点,如塑性耗能区、性能系数,塑性耗能区在前文中解读过,这儿说说性能系数。
性能系数是啥?性能系数是构件的计算参数,按钢标(17.2.2-1)计算。注意要区分塑性耗能区构件和非塑性耗能区构件。

看一下17.3.2条就明白,性能系数是计算地震作用效应时候水平地震作用效应的系数。另外需要注意,用来计算的地震作用是设防地震下的,即“中震”,换句话说,性能系数其实就是地震作用的折减系数(参见前面的强度-延性示意图)。

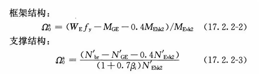
还有一个实际性能系数,按下式计算,这是用来检查你设定的性能系数是否合理的。需要注意,公式(17.2.2-2)中有印刷错误,水平地震和竖向地震在公式中搞反了。实际性能系数的物理意义,以框架为例,是结构的屈服承载力扣除重力荷载代表值以及竖向地震作用效应后,与设防地震(中震)产生弯矩的比值,即达到中震的多少分之一时屈服,1.0表示在中震时刚好屈服。显然,实际性能系数不能小于设定的性能系数。

那么,对于支撑结构,实际性能系数的物理意义,你看明白了吗?
三、抗震性能化设计vs传统抗震设计,能带来什么好处?
抗震性能化设计相对于传统抗震设计,带来的最大的好处,就在于设计的灵活化,而不是固定不变的强制性抗震措施。相信各位在以往的设计中,因为各种抗震措施(尤其是构造措施)的要求导致你自己都觉得设计很不合理的情况比比皆是。而这些,都将是抗震性能化设计的用武之地。也就是说,抗震措施的区别化对待(包括各种抗震措施免除条件),是抗震性能化设计的优势所在。
举个栗子:
钢标的17.1.4条3款:
“3)其他构件承载力标准值应进行计入性能系数的内力组合效应验算,当结构构件延性等级为Ⅴ级时,无须进行机构控制验算;”
条文说明解释如下:
“当按本规范进行性能化设计,采用低延性-高承载力设计思路时,无须进行机构控制验算,本规范第17.2.4条至17.2.12条为机构控制验算的具体规定,但当性能系数小于1时,支撑系统构件尚应考虑压杆屈曲和卸载的影响。”
好好去看看钢标的17.2.4~17.2.12,有哪些内容,就明白了。强柱弱梁?强节点弱构件?柱脚极限承载力?这都不是事。
是不是觉得,原本要给玩死的设计,用抗震性能化设计似乎有戏了?恭喜你,你似乎找到门道了。如果这篇文章就这么一丁点对你有用,我都觉得值了。我就不再去多说啥宽厚比、长细比、节点域、支撑结构等等这些带来的不同了。希望你能在钢标中有新的发现。如有疑问或者新发现,欢迎来一起分享和讨论。
四、抗震性能化设计vs传统抗震设计,如何选择?
前文已经谈过规范的选择问题,主要是抗规体系和钢标抗震性能化设计的选择,不再多说规范选择的逻辑问题,只是谈怎么选择设计更合适更合理的问题。
钢标条文说明对抗震性能化设计有如下说明:
“另外,对于很多结构,地震作用并不是结构设计的主要控制因素,其构件实际具有的抗震承载力很高,因此抗震构造可适当降低,从而降低能耗,节省造价。”
因此,用句大白话说,只要是按照常规抗震设计方法设计给抗震措施(包括构造)整得不舒坦的,你就得考虑用用抗震性能化设计了。
当然,用规矩的语言说,就是地震作用不是那么大,风荷载或者变形控制等等都导致结构承载力较高的情况,都将是抗震性能化设计低延性路径的适用场合。
其实经常做工业厂房尤其是普钢厂房的应该早就知道了,在抗规的9.2节就已经采用了类似的思路,解放了一些构造要求。当然,现在的钢标抗震性能化设计,更为全面,甚至也把门刚类结构的抗震设计纳入进去了(你可以尝试看看,如何将常见的门刚结构按钢标的抗震性能化设计路径走通,且不产生什么过多附加的抗震要求)。
对于常规的按中等到高延性思路进行设计的情况,抗震性能化设计与抗规的抗震设计方法差异不至于太大,方法的选用上矛盾没有那么突出。
另外对于一些钢结构的构筑物,采用钢标的抗震性能化设计有时也更为合理。
知识点:抗震性能化设计
0人已收藏
0人已打赏
免费4人已点赞
分享
建筑规范
返回版块34.61 万条内容 · 518 人订阅
阅读下一篇
《钢结构设计标准》解说疲劳计算来源:“从钢结构到装配式钢结构建筑” 疲劳是钢结构中比较特殊的一个问题。在建筑工程的范围内,除了大家熟知的吊车梁外,接触的疲劳问题并不多。因此,结构工程师对疲劳的基本概念一般比较薄弱,有必要作为一个专题来掰扯掰扯。 《钢结构设计规范》(GB 50017-2003,简称“钢规”)中就有关于疲劳计算的内容,而《钢结构设计标准》(GB 50017-2017,简称“钢标”)中将章节改为“疲劳计算及防脆断设计”。本文专门谈谈疲劳计算问题。
回帖成功
经验值 +10
全部回复(0 )
只看楼主 我来说两句抢沙发