本节主要讲解生物脱氮工艺设计计算。
《室外排水设计规范》6.6.18条规定:当仅需脱氮时,宜采用缺氧/好氧法(ANO工艺)。
1.生物反应池的容积,按本规范第6.6.11条所列公式计算时,反应池中缺氧区(池)的水力停留时间宜为0.5~3h。
2.生物反应池的容积,采用硝化、反硝化动力学计算时,按下列规定计算。
(1)缺氧区(池)容积,可按下列公式计算:

?Q——设计流量,m3/d;
?0.12——微生物中氮的质量分数,由表示微生物细胞中个组分质量比的分子式C5H7NO2计算得出;
?X——缺氧池(区)内混合液悬浮固体平均浓度,gMLSS/L;
?Nk——缺氧池(区)进水总凯氏氮浓度,mg/L;
?Nte——生物反应池出水总氮浓度,mg/L;
?Kde——缺氧池(区)反硝化脱氮速率,kgNO3-N/(kgMLSS?d).其值宜根据试验资料确定。无试验资料时,20℃的Kde值可取0.03~0.06kgNO3-N/(kgMLSS?d)。Kde与混合液回流比、进水水质、温度和污泥中反硝化菌的比例等因素有关。混合液回流量大,带入缺氧池的溶解氧多,Kde取低值;进水有机物浓度高且较易生物降解时,Kde取高值。Kde按公式6.6.18-2修正。

▲公式6.6.18-2
?Kde(t)——T℃时的脱氮速率,T为设计温度,℃;
?Kde(20)——20℃时的脱氮速率;
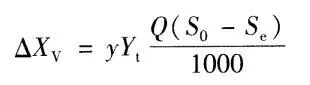
?△Xv——微生物的净增量,即排出系统的微生物量,kgMLVSS/d,可按公式6.6.18-3计算:

▲公式6.6.18-3
?y——MLSS中MLVSS所占比例。
对于这一条规定,需要注意的问题是在公式6.6.18-1中,计算缺氧池容积用总凯氏氮而不是进水总氮减出水总氮?这主要是原污水中硝态氮的含量很低,几乎不可测,所以在数值上进水总凯氏氮基本等于总氮,因此在计算时就用进水总凯氏氮减去出水总氮。
《室外排水设计规范》6.6.18条规定:当仅需脱氮时,宜采用缺氧/好氧法(ANO工艺)。
1.生物反应池的容积,按本规范第6.6.11条所列公式计算时,反应池中缺氧区(池)的水力停留时间宜为0.5~3h。
2.生物反应池的容积,采用硝化、反硝化动力学计算时,按下列规定计算。
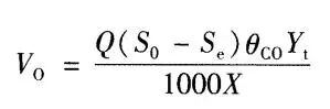
(2)好氧区(池)容积,可按下列公式计算:

▲公式6.6.18-4

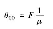
▲公式6.6.18-5,表示好氧池(区)的设计污泥龄

▲公式6.6.18-6,表示硝化细菌的比生长速率,单位为d-1
?Na——好氧区(区)中氨氮浓度,mg/L;
?Kn——硝化作用中氮的半速率常数,mg/L,一般取1.0mg/L;
?T——设计温度,℃;
?0.47——15℃时硝化细菌最大比生长速率,d-1;
?Q——设计流量,m3/d;
?So——生物反应池进水BOD5浓度,mg/L;
?Se——生物反应池出水BOD5浓度,mg/L;
?X——好氧池(区)内混合液悬浮固体平均浓度,gMLSS/L;
?Yt——污泥产率系数(kgMLSS/kgBOD5),宜根据试验确定,无试验资料时,应考虑原污水中总悬浮物固体量对污泥净产率系数的影响。由于原污水总悬浮固体中的一部分沉积到污泥中,系统产生的污泥量将大于由有机物降解产生的污泥量,在不设初沉池的处理工艺中这种现象更明显。因此系统有初沉池时取Yt=0.3,无初沉池时取Yt=0.6~1.0。
对于这一条规定,需要注意的问题是公式6.6.18-5中,为什么会取一个安全系数F?因为比生长速率是根据纯种培养试验所确定的,为了在环境不利于硝化菌生长时系统仍有硝化菌存在,故引入了一个安全系数F,根据实践经验,城镇污水可生化性好时,F可取值1.5~3.0。
《室外排水设计规范》6.6.18条规定:当仅需脱氮时,宜采用缺氧/好氧法(ANO工艺)。
1.生物反应池的容积,按本规范第6.6.11条所列公式计算时,反应池中缺氧区(池)的水力停留时间宜为0.5~3h。
2.生物反应池的容积,采用硝化、反硝化动力学计算时,按下列规定计算。
(3)混合液回流量,可按下列公式计算:

在生物脱氮工艺中,有3个回流比的概念:
1.污泥回流比,指回流到生物反应池的污泥量与进入生物反应池的污水量之比,用R表示;
2.混合液回流比,指的是反硝化时将好氧区混合液回流至缺氧池,混合液回流量与进水量的比值,用Ri表示;
3.总回流比,及污泥回流比和混合液回流比的总和,用r表示。
那对于脱氮工艺的总氮去除率与总回流比的推导关系如何?记住这个重要公式即可:r=总氮去除率/(1-总氮去除率)或者总氮去除率=r/(r+1)。
本节属于重点内容,为案例常考点,虽然看上去需要大家掌握的公式很多,但是在考试应用时只需要找对了位置,别用错了公式,一般都不会出错,所以本节需要大家掌握以下3点:
1.生物脱氮好氧池容积计算方法;
2.生物脱氮缺氧池容积计算方法;
3.总氮去除率和总回流比的关系。
内容源于网络,旨在分享,如有侵权,请联系删除
相关资料推荐:
A/O生物脱氮工艺的设计计算
https://ziliao.co188.com/p63111427.html
知识点:ANO生物脱氮工艺设计计算原则
0人已收藏
0人已打赏
免费3人已点赞
分享
中水处理回用
返回版块9852 条内容 · 214 人订阅
阅读下一篇
中山市首个半地埋式污水处理厂正式开工建设!为落实中央生态环境保护督察整改要求,全力打赢打好水污染防治攻坚战,我镇正日夜兼程开展治水大兵团作战。为促进全镇水污染治理工作进一步提质提速,推动治水大兵团作战再掀新的建设高潮,2022年9月2日上午,中山市横栏镇污水处理厂三期工程正式动工。
回帖成功
经验值 +10
全部回复(0 )
只看楼主 我来说两句抢沙发