土木在线论坛 \ 建筑结构 \ 结构资料库 \ 一种高效经济的抗浮设计技术——抗拔锚杆

一种高效经济的抗浮设计技术——抗拔锚杆

发布于:2022-09-07 13:35:07 来自:建筑结构/结构资料库 [复制转发]

随着经济的发展、城市人口密度的不断增加,地下空间的开发和利用越来越受到重视,地下室的埋深也越来越大,因此建筑物的抗浮问题也越来越突出,尤其在水网密布交织或者滨海地带,由于地下水位一般比较高,地下室的抗浮设计成为影响工程安全和造价的重要问题。

一般来说,工程中抗浮设计方法大致采用3种,配重法、抗拔桩、抗拔锚杆配重法主要是通过增加底板或者顶板的重量去平衡地下水的浮力,施工比较简单,但是造价相对较高。抗拔桩一般设计原则是柱底打桩,做法与承压桩类似,但因为地库一般柱距较大,跨中通过底板变形传递水浮力,所以一般需要底板有足够的刚度,因此板厚以及配筋都不会很小,此种方法同配重法一样,需要投入较高成本,工期较长,经济效益较低。与采用抗拔桩比起来,只要土体分布合适岩石层埋藏较浅,抗拔锚杆(见下图)能够有效的缩短工程工期(施工简单)以及降低造价,再加上其施工机械小,灵活便捷,能够在窄小空间内作业,这也成为它备受认可的优势之一。锚杆抗浮作为地下室抗浮设计的一种重要途径和手段,越来越多地被应用于岩石地基的工程场地中。

图片

对于锚杆自身的抗拔承载力计算,一般参考3本规范:


01

《建筑地基基础设计规范》GB 50007-2011

图片

02

《岩土锚杆(索)技术规程》CECS 22:2005


图片
图片

03

《建筑边坡工程技术规范》GB 50330-2013


图片

与《岩土锚杆(索)技术规程》的公式相比,明显《建筑边坡工程技术规范》锚杆杆体的抗拉安全系数更高。所以综合两本规范,对于锚杆钢筋截面面积笔者按后一本规范要求取值。

图片
图片

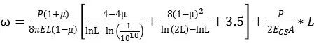
锚杆体长度的确定3本规范都有公式计算,对于锚杆锚固体与岩土间的锚固长度通过计算对比,仍然以《建筑边坡工程技术规范》要求更高。所以,一般工程中,笔者在设计锚杆时均按《建筑边坡工程技术规范》规范执行,这里也推荐给大家。


图片


虽然抗拔锚杆在工程上得到了越来越多的应用,但是总体来说,抗浮锚杆地下室整体协同设计方法的研究还处于起步阶段,研究的成果相对匮乏。目前国内对抗浮锚杆的设计往往采用简单的假定,处理上也比较粗糙。锚杆刚度研究基本处于起步阶段,研究成果不多。由于锚杆抗拉刚度的不确定性,在以往的工程设计中,我们一般不考虑主体结构与锚杆的协同作用,忽略上部结构配重对抗浮的有利作用,往往仅根据锚杆从属面积乘以水头高度(这里的水头高度一般指抗浮水位的水浮力扣掉底板自重换算出来的水头高度)来确定锚杆的抗浮设计值,这种传统且保守的设计,设置的锚杆数量往往比实际需要的要多得多,也就经济性较差。如果解决了锚杆刚度这个瓶颈,则可以将锚杆与地下室结构建立整体模型,考虑其协同作用,从而准确分析出锚杆和地下室底板的受力状态,实现优化设计。

图片

一般来说,通过对目前国内外关于锚杆的工作机理、受力变形特征和破坏模式的研究资料及实验数据可以得出如下结论:由于锚筋与砂浆之间的粘结力一般比较容易保证,因此假定两者共同变形。锚杆弹性变形主要表现为锚固体的弹性变形;锚杆的塑性变形主要表现为锚固体与岩土体之间的塑性变形,所以锚杆的变形应为弹塑性变形。锚杆在极限承载下的弹塑性变形也就是我们所谓的锚杆刚度。从理论公式可以推导出锚杆的刚度由锚杆的拉力除以锚杆的总的位移值求得:K=P/ω。这个刚度基本是基于锚杆的弹性变形以及锚固体与砂浆协同变形得出的。

图片

而通过实验验证我们发现,锚杆的变形由弹性和塑性两部分组成,下面给一组锚杆实验结果:

图片

根据多次现场试验证明,理论公式与实验数据的弹性变形量吻合的较好,但是塑性变形也不容忽视,一般塑性位移占总位移量比值有25%左右。另外,因为水浮力是一个长期循环往复的受力形式,锚固体与岩石的蠕变效应也会加大实际的位移量,因此应考虑长期效应对锚杆的刚度进行折减,具体折减的度也需要长期工程检测的积累,实际可查资料较少。一般工程中通过K=P/ω确定锚杆理论刚度值,再考虑到塑性变形以及蠕变效应,对刚度进行30%左右的折减。


锚杆刚度确定之后,可以输入模型进行地下室整体协同设计,通过有限元算法分析出锚杆的受力和变形,控制变形和最大抗拔力,优化锚杆的布置方案达到安全经济的结构设计。


图片

综上所述,采用锚杆与地库整体协同设计方法,安全有效的控制了锚杆数量,节约了土建造价成本,同时缩短了施工工期,带来了良好的经济效益。场地土合适的情况下,采用锚杆进行抗浮设计,适宜推广。

参考文献

【1】《建筑地基基础设计规范》  GB50007-2011  中国建筑工业出版社

【2】《岩土锚杆(索)技术规程》  CECS 22:2005  中国建筑工业出版社

【3】《建筑边坡工程技术规范》  GB50330-2013   中国建筑工业出版社

【4】人民日报社报刊综合业务楼抗拔锚杆替代抗拔桩方案可行性分析  《施工技术》2014年3月下第43卷 第6期   李哲琳 李铁良 白志华 倪晓荣

内容源于网络,如有侵权,请联系删除


相关资料推荐:

高层小区地下室抗拔锚杆施工图

某承压型囊式扩体抗拔锚杆设计图纸


知识点:抗拔锚杆

全部回复(0 )

只看楼主 我来说两句抢沙发
这个家伙什么也没有留下。。。

结构资料库

返回版块

41.29 万条内容 · 424 人订阅

猜你喜欢

阅读下一篇

承压型囊式扩体锚杆承载机理分析与抗腐蚀耐久性探讨

0引言     在建筑物抗浮工程设计和施工中,承压型囊式扩体锚杆技术具有承载力高、变形小、抗腐蚀耐久性好、效率高和成本低等诸多优点,越来越受到工程技术人员的青睐。本文通过对传统等直径锚杆和承压型囊式扩体锚杆承载机理的阐述与分析,进一步验证了承压型囊式扩体锚杆技术在应用于建筑物抗浮设计和施工中的安全可靠性和抗腐蚀耐久性,可为承压型囊式扩体锚杆技术在建筑物抗浮设计中的进一步推广和应用提供有益借鉴。

回帖成功

经验值 +10