地基的变形在深基础中影响不大,主要是浅基础变形需要验算,作为结构设计师,地基变形需要从手算做起,充分理解地基变形的验算。

我从《建筑地基基础设计规范》中总结了地基变形的计算步骤:
首先得认识到地基变形是由于基底附加应力引起的,原地基的自重应力一直都存在,所以不会引起地基的变形,我们采用各向同性均质线性变形体理论进行分层总和法计算地基沉降。
1. 计算基底附加压力P0
2. 确定计算深度Zn:有四种方法进行确定
(1)经验法:一般土层取地基附加应力=0.2倍的自重应力作为控制计算深度;软土层取地基附加应力=0.1倍的自重应力作为控制计算深度;

(2)规范法:是根据变形量来控制计算深度的,取最后ΔZ变形量小于总变形量的0.025倍最为控制计算深度的依据。

(3)经验公式:采用这个公式是有条件的,无相邻荷载影响。

(4)当遇到基岩或者较硬土层时,即存在刚性下卧层可取该层土表面。
3. 计算平均附加应力系数α
采用角点法划分成矩形,根据计算深度Z与基础宽度的比值和基础长宽比的关系进行查表附录K。
4. 计算压缩模量当量值Es
当量值其实就是体现出土层的压缩模量平均值,利用的就是总的沉降量不变的原则推导的,求解这个主要还是为了求解沉降计算经验系数ψ
5. 根据压缩模量当量值查表得到沉降计算经验系数ψ
求解出压缩模量当量值后,再根据基底附加压力与地基承载力特征值的大小关系进行查表。

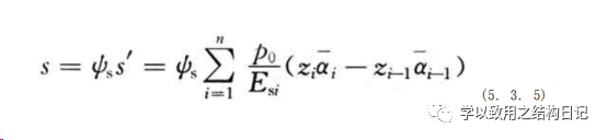
6. 利用公式计算变形值
其他参数都已经求解出来之后,直接代入下面公式求解总的变形沉降值。

内容源于网络,如有侵权,请联系删除
相关资料推荐:
知识点:地基变形沉降计算
0人已收藏
0人已打赏
免费4人已点赞
分享
地基基础
返回版块12.11 万条内容 · 716 人订阅
回帖成功
经验值 +10
全部回复(0 )
只看楼主 我来说两句抢沙发