1
方案概况
及效果
方案概况
●建筑性质:别墅
●建筑高度:10.62m
●建筑面积:412㎡
●设计创意:
传统融合现代,刚柔并济
●设计理念:
(1)绿色、活力
(2)新中式
(3)全龄化
装配式概念设计
●结构构件标准化设计:
热轧型钢、减少截面种类
●结构构件全螺栓连接:
梁柱连接
●干法施工楼板体系:
保证楼板刚性,减轻楼板重量
●单元体装配外墙体系
把更多工作放到工厂,减轻外墙重量
BIM多专业协同设计
●关键技术:
Tekla与Revit之间的数据转换
准确的MEP模型
●设计重点:
预制构件及连接节点族库的建立
全专业的模型整合与碰撞检查
节能与绿色建筑设计(绿建二星)
●设计依据:
《河北居住建筑节能设计标准》(DB 13(J)185-2015)
《绿色建筑评价标准》GBT50378-2014
● 绿建设计关键点:
建筑围护热工性能提高10%
可调遮阳措施,面积比例达到50%
预制构件比例达到50%以上
建筑材料选择,可再用,可循环
全楼设置新风和热回收装置
各项节能指标
2
建筑设计
当代社会的典型
家庭结构特征
建筑功能设计的重点
●尊重多代家庭成员各自多样的生活方式
1.老年人:早睡早起、打打麻将
2.年轻人:睡懒觉、熬夜画图、私生活
3.儿 童:玩具堆成山、作业写不完
●家庭养老概念
1.无障碍设计:坡道,扶手和电梯
2.卧式尺度:轮椅通行,分床而睡
3.精神生活:养花遛鸟,旧物珍藏
提出两个时期的户型主题:Young Time(二人世界)& 阖家欢乐(三代同堂)
首层布局演变
Young Time(二人世界):极致开放,南北连通。充分的多功能性为闲暇之余的畅快Party提供了可能。
阖家欢乐(三代同堂):保持宽阔的首层空间,同时体现对老人的关爱,满足多代人的不同需求。
二层布局演变
Young Time(二人世界):房中房设计,既可以在书房阅读,也可以会见贵客,观景露台使二楼可以直达室外。
阖家欢乐(三代同堂):拆分房中房,仍保持夫妇卧室的私密,又提供个孩童一个独立空间。
出入户无障碍路线设计:室外坡道和室内电梯,保障老人可以乘坐轮椅从室外抵达房间内的任何一个角落,去露台观景,去屋顶种菜,全部畅通无阻。
3
结构设计

3组试验的破坏模式:最外排螺栓附近梁翼缘板沿两边支承的塑性铰线出现撕裂,试件承载力出现明显下降,试验宣告结束。
循环加载试验结果
三个试件在破坏时的层间位移角均值为0.069rad,均方差为0.005rad,满足FEMA350对于特殊钢框架(SMF)极限层间位移角0.04rad的要求。三个试件在破坏时的层间位移角均值为0.069rad,均方差为0.005rad,满足FEMA350对于特殊钢框架(SMF)极限层间位移角0.04rad的要求。
三个试件的屈服位移、屈服荷载、极限承载力都非常接近,而且滞回曲线饱满,滞回环面积较大,表明节点具有良好的耗能能力和延性。
结构设计
核心技术 1:半刚性连接弯矩-转角计算方法
核心技术 2:半刚性连接框架柱的计算长度系数取法
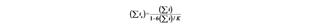
依据节点转动刚度K和梁的线刚度i,修正得到等效框架梁线刚度ie
综上,依据节点转动刚度K和梁的线刚度i,修正得到等效框架梁线刚度ie,进而依据GB 50017-2017附录E(表E.0.2)确定柱的计算长度系数。
关键措施:建筑做法优化,降低自重,增加结构冗余度
本方案的抗震设计思路是:1)完善结构的抗侧力体系;2)降低结构的地震作用。双管齐下,保证结构体系在高烈度区的适用性。
单向抗侧柱组合
关键部位增设结构柱
截面信息
试验得到M-θ曲线
欧标 EN1993建议的节点初始刚度取法
刚接节点结构模型
●弱轴定义铰接
●强轴定义刚接
●钢柱计算长度系数程序自动计算
●考虑偶然偏心和双向地震

半刚接节点结构模型
●弱轴定义铰接
●强轴方向弹性转动刚度为22500kN·m/rad
●钢柱计算长度系数手算后再程序中定义
●考虑偶然偏心和双向地震
小震反应谱分析
振型周期与质量参与系数
质量参与系数在90%以上,半刚接框架的平动周期明显大于刚接框架,第一扭转周期二者基本一致。
层间位移角信息对比
层间位移比指标
两种结构Y向位移比均小于1.2。
两种结构X向位移比均大于1.2,但小于1.5,计算地震作用是考虑双向地震。
半刚接框架层间剪力及剪重比
刚接框架层间剪力及剪重比

刚接框架的层剪力和剪重比都大于半刚接框架。
两种结构的剪重比都不小于3.2%。
Push-over分析
为了对半刚性连接结构在进入弹塑性状态以后的抗震性能进行评估,本方案对半刚性连接模型进行了静力弹塑性分析。
基本信息
●采用Midas/Gen进行Push-over分析,考虑P-Δ效应;
●初始荷载工况为:1.0×恒载+0.5×活载;
●加载模式:均匀加载与模态加载取最不利,位移控制;
●铰类型:弯矩(M)-转角(θ)双折线模型。
●半刚性节点的M-θ全曲线如下图所示。
8度,0.20g,罕遇地震,设计地震分组为第2组,II类场地,阻尼比0.05 。
X方向Push-over曲线
Y方向Push-over曲线
性能点对应的Sa,Sd,V和D的数值
X方向性能点处的铰状态分布
以X方向为例,性能点处的结构层间位移角为1/99,满足规范要求,首层铰基本全出于屈服状态,二层小部分铰进入屈服状态,说明结构可以抵御8度罕遇地震作用,且仍具备变形能力和强度储备。
4
外围护设计
装配式外墙体系设计过程中的难点
●共性问题
1)轻质高效复合围护产品及其配套原材料开发。
2)高效连接技术和产品。
3)围护结构的冷热桥断桥技术和材料。
4)防渗漏、防腐蚀、高耐久性拼缝处理技术和材料。
5)完善的标准体系和标准化产品。
●特定问题
与新型结构体系的配套问题。
新型单元体轻质外墙体系概述
在工厂把金属幕墙板与龙骨组成一体
●外墙通过龙骨实现钢材之间的螺栓连接,安全可靠。
●分层构造,内外板功能分开,互不影响。
●空腔设计,断桥、保温、防水,管线与结构分离。
抗弯性能试验
抗弯性能:挠度L/150时荷载1.13kN/m2>规范0.5kN/m2
防火性能试验
耐火性能:60min时隔热性未破坏,未丧失完整性
隔声性能试验
隔声量为 47dB,满足国标规范中 45dB的要求 。
抗风揭性能试验
2.1kPa
2.8kPa
新型单元体轻质外墙设计
新型单元体轻质外墙技术参数
单元体外板构造:100厚岩棉复合铝镁锰金属幕墙板+龙骨(一般不超过30kg/㎡);
内板材料:75mmALC条板;
隔声量: 47DB(检测验证);
传热系数:0.35W/(㎡?K)(节能计算);
耐火极限:大于2.0小时, A级不燃材料。
外墙排板设计效果
5
方案总结
设计亮点
●创新情况
1)结构体系相关专利1项,软件著作权1项。
2)外墙体系相关专利3项。
3)结构设计方法相关学术论文2篇。
●扣题点
1)建筑创意突出,建筑设计实用性强。
2)多种材料可回收,体现可持续和绿色环保。
3)采用梁贯通式分层装配钢结构体系,减少人工组焊,标准化、工业化特点突出
4)新型单元体轻质外墙,减少现场人工作业,缓解用工供需矛盾,创新性和装配性强。
来源:钢结构设计
知识点:别墅方案设计
0人已收藏
0人已打赏
免费0人已点赞
分享
居住建筑设计
返回版块28.74 万条内容 · 423 人订阅
阅读下一篇
别墅五大系统设计方案解析项目概况:以绍兴某小区别墅作为案例,地上三层,地下室一层。该户建筑面积约280m?,地板采暖面积为220m?,中央空调使用面积为 200m?,新风面积180m?,除湿面积40m?。 第一部分、中央空调系统 一、通用设计规范 1、《采暧通风及空气调节设计规范》(GBJI19-87) 2、《采暖通风及空气调节制图标准》(GBJ114-88) 3、《民用建筑节能设计标准(采暖居住建筑部分)》(JGJ26-95)
回帖成功
经验值 +10
全部回复(0 )
只看楼主 我来说两句抢沙发