导 读
雨水渗井是我国古代城镇曾经通用的排水技术之一,在当代新型城市雨洪管理理念革新背景下有了新的发展与应用需求。针对传统雨水渗井设计缺乏系统定量分析、粗犷建设等问题,系统梳理国家海绵城市建设经验,结合理论研究与工程实践,围绕雨水渗井选型、规模计算、结构与填料设计、预处理设计及施工等环节总结探讨,提出改进建设思路、加强跨学科研究的建议。
引用本文:马越,胡艺泓,姬国强,等. 海绵城市雨水渗井系统建设关键问题探讨[J]. 给水排水,2022,48(4):13-20.
雨水渗井作为我国海绵城市建设“渗、滞、蓄、净、用、排”技术体系中专用渗透类雨水设施,可实现汇水区雨水速渗,有效削减径流总量与峰值,缓解排水压力,涵养地下水源,在竖向改造难度大的城市低洼区或管网不健全、排水无出路地区具有重要工程应用价值。2014年,住建部颁布《海绵城市建设技术指南——低影响开发雨水系统构建》,阐述了雨水渗井概念及典型构造,但对不同应用场景下雨水渗井系统设计、施工缺少具体方法指引,国家层面暂无专门规范借鉴,各地建设缺乏标准,质量参差不齐。目前,一些地区主要参照河床取水渗井、公路排水渗井、工程降(排)水井等专利、文献资料设计建造,对雨水渗井在排水防涝体系中作用、径流调控机制与渗井结构关系缺乏系统研究。传统渗井大多利用天然河砂、碎石、建筑垃圾骨料等作填料,强调“水量速渗”,忽视“水质污染风险控制”,同样缺乏深入探究。为此,笔者通过国家海绵城市试点建设调研,总结团队实践研究成果,围绕雨水渗井分类选型、规模计算、结构与填料设计、施工方法等进行探讨,旨为适宜地区雨水渗井建设提供经验参考。
1
雨水渗井分类及适用场景
Rainwater seepage well
系统梳理我国各地雨水渗井建造形式,按其属性特征可分为:
结构与渗流方式:垂直入渗式、辐射渗透式、渗排一体式(见图1);
井体材料:砖(石)砌式、钢筋混凝土式、塑料式、硅砂混凝土式、钢波纹管式、玻璃钢管式等;
填料类型:砂石渗井、建筑再生骨料渗井、人工改性填料渗井;
布设形式:单井式、井群式。各类渗井技术特性及适用条件如图1所示。

图1 雨水渗井典型结构与渗流方式
工程设计中,雨水渗井径流调控作用会因其所处排水防涝体系位置的不同而异。笔者从海绵城市“源头减排-过程控制-系统治理”三段式雨水系统构建角度出发,将雨水渗井划分为:源头减排渗井、过程控制渗井和终端消纳渗井(见图2)。源头减排渗井适用于小区、广场等产汇流源头地块下垫面径流削减;过程控制渗井主要用于排水区市政雨水管网转输流量的中途削峰,减轻下游管网排水压力;终端消纳渗井则用于排水系统末端雨水集中削减。

图2 雨水渗井在排水系统中布置形式
雨水渗井设计选型时,应根据其系统功能定位、汇水区特征(降雨特征、汇水面积、下垫面污染水平)、拟建场地工程地质(稳定性、承载力)、水文地质(地下水埋深、土壤渗透性)及周边建构筑物基础埋设条件等,由图3经技术经济比较确定。工程选址时注意:
拟建场地及汇水区内不得有有毒有害物质生产、储存与堆放场所;
地下水源井周边30 m范围不得建设雨水渗井,范围外选址时应避开补给区并评估污染风险;
拟建场地适宜性评价应结合工程地质资料,分析地层稳定性、承载力,同时进行水文地质勘察,分层(分段)开展注水试验 ,评判地下水以上土体渗透性;
雨水渗井设置于建筑小区时,距离建筑物基础水平距离应≥5m;
应用于存在径流污染、设施底部距离季节性最高地下水位<1.5m或距离建(构)筑物基础水平距离<5m区域时,应采取预净化、防渗等措施防止污染及次生灾害;
湿陷性黄土场地渗井建设应经专门论证;湿陷等级低、土层薄的非自重湿陷场地,可考虑贯穿式渗井结构;
地下水位过高且径流污染严重、地下水保护严格地区,易坍塌、滑坡等不良地质区,高等级、大厚度自重湿陷性黄土区,土壤渗透性严重不良且开挖处理成本过高地区不适合建设。

图3 雨水渗井分类及适用场景
2
系统设计
Rainwater seepage well
2.1 规模计算
2.1.1 设计进水量
目前,雨水渗井设计进水量(Vc)算法较多,易出现未考虑其排水系统中功能定位,混淆使用,导致规模偏大/小的情形。笔者建议分3种情况:
(1)用于雨水源头减排目标时,宜按式(1)计算:

式中 Vc1——设计进水量,m?;
H——场地年径流总量控制率对应设计降雨量,mm;
φc——汇水区综合雨量径流系数;
F——雨水渗井汇水面积(含自身),hm?。
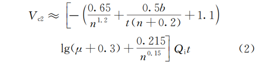
(2)用于雨水峰值(管道洪峰流量)削减目标时,可按式(2)估算:

式中 Vc2——设计进水量(调节削减水量),m?;
μ——脱过系数,雨水渗井下游出水管道设计流量与上游进水管道设计流量之比;
Qi——雨水渗井上游管道设计流量,m?/min;
b、n——当地暴雨强度公式参数;
t——降雨历时,min。
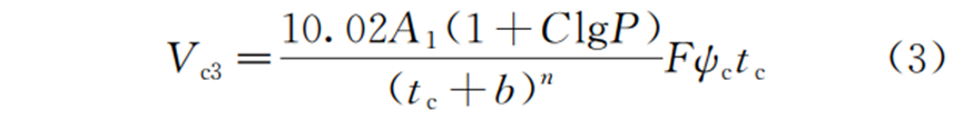
(3)用于项目/区域雨水终端消纳时,可按项目/区域室外排水设计重现期对应暴雨强度计算,见式(3):

式中 Vc3——设计进水量,m?;
A1、C——当地暴雨强度公式参数;
P——室外排水设计重现期;
ψc——汇水区综合流量径流系数;
tc——设计降雨历时,min,一般≤120min。
2.1.2 设计渗透量
设计时,忽略雨水非饱和—饱和入渗变化过程及其各向异性,基于达西定律计算见式(4):

式中 Wi——渗井渗透量,m?;
δ——安全系数,宜取0.5~0.8,汇水区下垫面易积淀泥沙、尘土时,取低值,较洁净时,取高值;
K——渗透土层饱和渗透系数,m/s;
J——水力坡度,一般取1;
A——渗井有效渗透面积,水平渗透面按投影面积算,竖直渗透面按1/2设计水位高度计算,m?;
ti——入渗历时,min。
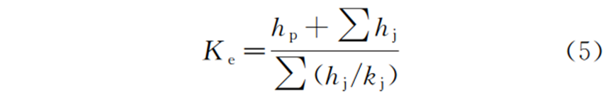
式(4)中,K应以现场注水试验确定。勘察时,实测渗井底部及周边土壤渗透速率应≥5×10-6m/s,宜在6×10-5~6×10-4m/s(中粗砂渗透系数区),不宜超过1×10-3m/s(无足够停留时间净化)。对于地下水以上可渗透成层土(饱和含水),其等效渗透系数可按式(5)计算:

式中 Ke——渗透土层等效渗透系数,m/s;
hp——渗透土层上方蓄水深度,m;
hj——土层j厚度,m;
kj——土层j渗透系数,m/s。
式(4)中,ti取值分两种情形:①汇水面径流通过渗井快速下渗且不允许周边积水时,应按当地多年平均降雨历时取值,一般取2~3 h;②汇水面径流量大且允许渗井周边存在积蓄滞区,雨后一定时间完成排空时,可取12~48 h。
2.1.3 设计储存容积及有效渗透面积
(1)雨水渗井顶部设有蓄水空间时,其有效储存容积可按式(6)、式(7)计算:

式中 Vs——渗井储存容积,等于产流历时内(进水流量大于饱和渗透量而产生超渗积水的时间段)最大蓄积雨水量,m?;
Vt——渗井顶部蓄水容积,为填料层表面至渗井顶部空间容积。当与下沉绿地、雨水塘等设施合建,井体外设有滞蓄区时,应包含调节水位以下滞蓄容积,m?;
Ac——渗井井体内壁横截面积,m?;
hf——渗井填料厚度,m;
nk——填料平均孔隙率。
雨水渗井有效渗透面积可按式(8)计算:

(2)渗井顶部不设滞蓄空间或很小时:Vt=0,其有效储存容积Vs等于填料孔隙储水容积,有效渗透面积按忽略Vs后的式(8)计算。
根据进水流量与土壤渗透速率校核Vs、A,结合渗透土层埋深、进出水管标高、填料厚度与孔隙率分配渗井顶部和填料内部蓄水容积;结合渗井结构及贯入渗透土层深度,分配有效渗透面积,垂直入渗井按井底渗透面积叠加井壁开孔面积分配,辐射渗透井按井底渗透面积叠加水平渗透管开孔面积分配。开孔孔径、开孔率还应经结构专业校核。
2.2 结构与填料设计
2.2.1 结构与材料
根据上述计算初步确定雨水渗井内径及深度,井壁结构与材质应考虑拟建场地地质,经结构演算确定。一般情况下,源头减排渗井多采用垂直入渗或辐射渗透式,过程控制与终端消纳渗井采用渗排一体或垂直入渗式。辐射渗透式渗井多采用砖砌,渗排一体式渗井多采用塑料成品井,垂直入渗式渗井可采用砖砌、钢筋混凝土、钢波纹管或玻璃钢管等形式。砖砌式渗井要求地基承载力稳定、不易沉降,结构抗剪性能可承受侧壁土压(无配筋砖砌体结构抗侧壁土压力弱,工程实践中,井体上部易扰动土层可结合放坡,设计成倒梯台“”结构),井壁厚度≥240 mm,结构深度宜≤6 m,不适用于软土、高地下水位等地区。砖砌辐射渗井(见图2b)辐射渗透管敷设坡度宜≥2%,扇形布置,4~8根/层,管长根据排水量确定,管径宜≥150 mm,开孔孔径宜为8~12 mm,采用PE、PVC-U等塑料管材时,开孔率宜为1.5%~3%。渗透管外围可填充1.5~2倍管径厚度的砾/碎石层(粒径>开孔孔径),并用透水土工布包裹。
钢筋混凝土渗井抗压强度高、抗浮性强、耐久性好、自重大,深度适用广(几米至几十米),井径、井壁厚度应满足下沉深度、强度、刚度及稳定性(抗滑、抗浮、抗倾)要求,符合《水工混凝土结构设计规范》(SL 191)规定。团队运用ABAQUS软件,模拟不同工况下(不同井径、壁厚、埋深、开孔率)应力场,推求结构最大拉力值,依据《混凝土结构设计规范》(GB 50010)配筋计算,获取保证钢筋混凝土渗井安全的参数值。钢筋混凝土垂直渗井(见图2a)井底与井壁开孔区宜填充碎石渗透层,渗透层高度与开孔区高度一致,外包透水土工布或整体设为级配反滤结构。
塑料渗井多采用PE或PP成品井,自重轻,占地小,抗浮性弱,井径一般≤1.5m,结构深度≤7m,井壁采用实壁或带肋结构,壁厚、材料性能应符合《市政排水用塑料检查井》(CJ/T 326)规定,开孔后井筒环刚度应满足抗侧壁土压要求。渗排一体式塑料渗井(图2c)井内应设0.3m沉沙室,井间距≤150倍渗管管径,渗管管径、敷设坡度(宜1%~2%)应满足雨水排放流量要求。
除以上典型结构外,近年来,钢波纹管、硅砂混凝土等材料也被用于雨水渗井建造。钢波纹管渗井采用热轧钢板波形钢片拼接而成,井径、井深适用广,适应地基变形能力强,自重小,可用于软土、膨胀土区域。硅砂混凝土渗井采用具有透水功能(透水系数≥2.5×10-4m/s)的硅砂砌块砌筑而成,无须结构开孔,适用于小区、公园等径流水质良好(低浊)地区的小深度渗井,材料性能及强度等应符合《硅砂雨水利用工程技术规程》(CECS 381)规定,寒冷地区应用时须满足抗冻要求。
此外,实践还应考虑场地空间、工期(砖砌式、现浇钢筋混凝土式>预制钢筋混凝土式、钢波纹管式>塑料式)、造价(钢筋混凝土式>砖砌式>钢波纹管式>塑料式)、使用寿命等因素,综合比选后确定结构方案。团队在上述结构基础上,集成相关技术优点,提出一种组合式雨水渗井结构(见图4)。
该结构由上端滤料池(集中净化区)与下部泄水管组合而成。滤料池设计采用钢筋混凝土或钢波纹管,池底向泄水管方向找坡;泄水管根据泄水量要求布设单根或多根,采用玻璃钢管、钢波纹管等套接下沉。泄水管壁厚满足抗侧向土压要求,穿越渗透不良土层或湿陷性黄土层时,侧壁不开孔,贯入砂层部分开孔。该结构采用“小深度,同管径;大深度,分段变换管径(上大下小)”的结构力学稳态设计,有利于不同埋深、材质渗井性能互补发挥,减少结构耗材及开挖成本,节省投资。净化与渗排分体式设计也便于后期堵塞、污染后集中维护,降低运维成本。目前已在西咸新区多个海绵型建筑小区推广应用。

图4 组合式雨水渗井结构
2.2.2 填料
填料是雨水渗井设计又一关键,既要满足速渗,又须规避地下水污染。设计时,应根据进水水质、水量、排空时间、包气带深度及地下水保护目标等综合确定填料厚度、类型、粒径组成等参数。
雨水渗井填料厚度(hf)理论最大值为整个井深(即地表至渗井底以上包气带深度,井底贯入渗透土层深度应≥侧壁渗透区高度)。设计时,考虑到相邻场次降雨排空要求,填料厚度应满足式(9):

推导得式(10):

式中 hf-max——渗井最大填料厚度,m;
tf——渗井设计排空时间,h;
ht——渗井顶部蓄水高度,m。
雨水速渗同时可能引发地下水污染,因此,填料厚度须满足污染净化需要。现行《建筑与小区雨水控制与利用技术规范》规定“井底渗透面距地下水位距离不应小于1.5m”,是基于填料与渗透土层协同净化考虑,未考虑汇水区污染类型及水平。因此应尽量让污染集中于填料区,减少向地下水上方渗透土层迁移(污染修复代价大)。为此,可通过进水目标污染物浓度与地下水水质限值要求,确定渗井水质控制最小填料厚度hf-min。鉴于径流污染特征及填料多样性,建议用以下方式确定hf-min:
采用等温吸附实验确定目标污染物饱和吸附量,通过设计进水流量、使用年限等确定填料对目标污染物吸附能力基准,结合吸附量实测值与基准值估算填料厚度;
搭建不同填料厚度土工模型,通过实际雨水或模拟配水试验确定不同填料厚度径流污染削减效率,推算达到净化目标填料厚度;
搭建固定填料厚度土工模型,用实际雨水或模拟配水试验确定污染削减效率,建立HYDRUS等模型,模拟确定最优厚度。
综上,确定渗井填料厚度hf∈[hf-min,hf-max)。
径流污染削减效果还与填料类型、粒径及渗透速率有关。传统速渗为主的雨水渗井,填料多采用粗粒径、单一组分砾石或建筑骨料。汇水区存在污染、地下水保护严格时,笔者建议采用中粗砂填料或改良填料(基本填料+改良剂)。基本填料宜以中砂(0.35~0.50mm)、粗砂(0.50~2mm)为主,改良剂选用强吸附性材料,根据渗井进水污染特征确定。团队通过分析海绵铁、高炉渣、沸石等改良剂特性,采用混合填料滤柱试验,比较不同进水流量(0.5a、1a、2a 重现期,历时90min,汇流比1∶150)、不同进水污染浓度(见表1)等9种工况下,基本填料与改良剂掺混比例(见表2)、改良剂类型对渗井渗透性能及净污效果的影响。
表1 雨水渗井进水污染物配水浓度

表2 雨水渗井填料配比(体积比)方案

结果(见图5)表明:
添加海绵铁可显著提高TP、NO-3-N、Zn去除,添加活化沸石可提高NH3-N去除,添加高炉渣可提高NH3-N、Cu去除;
试验条件下,体积比 90%基本填料+5%高炉渣+5%沸石对COD削减效果最好,90%基本填料+10%海绵铁对NO-3-N、TP削减效果最好,90%基本填料+10%沸石或90%基本填料+5%高炉渣+5%沸石对NH3-N、TN削减效果较好,90%基本填料+5%海绵铁+5%高炉渣对Cu、Zn、Cd削减效果最好;
改良剂添加比例由10%增至30%~45%时,反应原料、吸附点位、阳离子交换量增加,但同时提高了混合填料渗透速率,径流污染接触反应时间缩短,综合削减率提升不大且原材料成本增加。

图5 不同配比雨水渗井填料对污染物负荷削减效果
实践中,汇水区径流污染轻(如小区、公园),渗井以速渗为主时,基本填料宜选0.50~2 mm粗砂,改良剂可选粒径较大的火山石、陶粒、高炉渣等以5%~10%体积比掺混;径流污染较重,渗井兼具速渗和净污功能时,宜选0.35~0.5mm中砂做基本填料,同时宜选粒径小、净化能力强的海绵铁、活化沸石、麦饭石等材料以10%~20%体积比掺混,结合填料厚度设计实现系统目标。
2.3 附属设施设计
2.3.1 预处理设施
上述试验为评价不同配比填料净污效能,采用了较高配水浓度(较长雨前干燥期才出现的负荷)。实践中,径流污染较重时,不宜由渗井承担全部污染削减,而是通过前端预处理设施控制进水水质,降低填料堵塞污染频率及运维成本。
雨水渗井预处理工艺可分为灰色和绿色两类。城市径流可生化性差,一般不适合生化法处理。传统灰色工艺主要采取拦污沉淀、弃流、过滤等单一或组合方式,根据进水水量水质、处理目的及场地空间确定(见图6)。拦污一般采用格栅、截污挂篮等设施,拦截树叶、垃圾,沉淀泥沙。弃流主要采用容积法、水流切换法等对存在初期冲刷、污染负荷较高的早期径流予以弃除,常用雨落管弃流、液位式/雨量式自控弃流设施,弃流量根据汇水面实测COD、SS等污染物浓度确定,无资料时,屋面、地面分别采用2~3 mm、3~5 mm厚度弃流。成品弃流设施规格、构造及自控等技术参数根据处理量、维护要求与厂家共同确认。经拦污、弃流处理后,可结合雨水回用设置过滤设施进一步降低污染负荷,常见有精密滤网过滤或简易介质过滤。在此,需特别强调的是雨水渗井本身也是处理设施,应权衡其建设使用与预处理设施投入关系,不宜照搬传统混凝沉淀、滤池过滤、膜滤等工艺,增加建设运维成本同时,也因过度处理失去渗井建设意义。实践中,应结合汇水区污染特征、填料净化能力、出水水质及地下水环境容量,设定渗井进水水质控制目标,由预处理设施分担汇水区与渗井进水端污染负荷差值,以此确定预处理工艺及设施规模。


图6 雨水渗井系统灰色预处理工艺及案例
绿色预处理工艺指利用自然沉淀、土壤渗滤吸附、植物净化等作用处理的工艺(见图7),如绿化屋顶、植草沟、生物滞留设施等绿色雨水设施及其组合,方法简单,投资少,但处理效果存在波动。

图7 雨水渗井系统绿色预处理工艺及案例
设计时,根据渗井汇水区下垫面性质、竖向,结合子汇水区划分,合理布置绿色雨水设施,综合测算绿色雨水设施系统对汇水区径流污染削减程度。根据渗井进水水质控制目标,结合汇水区基底径流污染特征,优化确定绿色雨水预处理设施规模。
实践中也可采取初期弃流/沉淀+生物滞留等灰-绿设施结合方式实现系统预处理目标。须强调的是,预处理并非万能,医院、垃圾场站等传染性疾病、严重化学污染场所不得设置雨水渗井。
2.3.2 其他附属设施
除预处理设施外,雨水渗井附属设施还包括溢流口/管/通道、爬梯、检修孔、防坠落装置、警示标志等。
①过程控制渗井(削峰调节)应设溢流通道与下游管网衔接;源头减排与终端消纳渗井按需设置溢流口。溢流口/管/通道过流能力不应低于设计最大进水流量;溢流标高应根据渗井调节容积、下游管网/河道水位标高等确定,溢流口/管处应设置滤网以防堵塞。
②渗井顶部蓄水深度>1m时,应设置踏步或爬梯(可参考97S501、02S515、14S501等国家标准图集设计),以便检修养护;有顶盖的渗井应设检修孔(可参考05S804国家标准图集设计)。
③为防止非工作人员或动物坠入,大深度渗井周边应设置防护网、井口防坠网及警示标志。
3
系统施工
Rainwater seepage well
粗犷施工是导致雨水渗井功能低下重要因素。雨水渗井施工时,应根据渗井结构、材质、埋深、土壤地质等,选用明挖法或沉井法。一般情况下,深度<10m,无不良地质,土层稳定的开阔场地,可采用明挖法;大深度渗井宜用沉井法。砖砌渗井、塑料渗井、钢筋混凝土渗井等可采用明挖法,预制钢筋混凝土、玻璃钢管、钢波纹管等成品井可采用沉井法(参照《沉井与气压沉箱施工规范》(GB/T 51130)。
总结传统雨水渗井施工中质量通病和易忽视细节,强调:
(1)土方开挖与地基处理:应根据土质、地下水位、井室断面、荷载条件等制定基坑支护方案;机械开挖不得扰动井底原状地基土,预留200~300mm土层由人工开挖至设计高程整平;验槽时,应采用双环法或单环法复测土基渗透系数;根据设计设置中粗砂或碎石垫层,严禁使用灰土等不透水垫层;开挖时,井边预留填充渗透层位置。
(2)主井施工:
①砖砌式渗井:应符合《砌体工程施工质量验收规范》(GB 50203)规定;辐射管与主井同步施工且随砌随安装;辐射管两侧砾石层对称铺设,避免管道产生位移;井室四周应分层对称回填,每层≤300mm,采用人工回填、夯实,严禁使用机械推土滚压。
②钢筋混凝土渗井:应符合《混凝土结构工程施工质量验收规范》(GB 50204)规定;现浇结构应分层浇圈、连续浇筑,养护后分层回填;预制结构安装前做好构件复验与裂缝鉴定。
③成品渗井(钢波纹管、玻璃钢、塑料):运输吊装中避免碰撞损坏;回填时沿井体分4~6个位置对称回填,避免侧压不均造成井壁变形,实时观测井体、接管变形。
④其他:随时用经纬仪、钢尺等观测校正渗井垂直度,控制偏斜量;注意保护基底渗透层,避免堵塞污染;严密监测周围建构筑物及管线沉降、变形,采取保护措施;进、出水管等附件安装完成后须校准位置偏差。
(3)功能验收:施工完毕后,应饱和注水观测渗井进出水及整体下渗情况(满足设计要求或大于地勘注水试验均值),不得缺失。
4
结语与展望
Rainwater seepage well
雨水渗井作为我国海绵城市技术体系代表性措施之一,是一项涉及多专业协同的系统工程。针对各地实践生搬硬套,缺乏研究支撑,建成后运行效率低、生命周期短、地质灾害与污染频发等问题,建设思路应由“单井设计”向“汇水区系统关联设计”转变、“地质适宜性”向“地质、环境长期适应性”转变、“水量速渗”向“灰绿结合,水量水质调控并重”转变,重视建设前汇水区评估与建成后运行效果、沉降变形等观(监)测跟踪。加强水专业与岩土、结构、材料等专业对话,关注不同水文地质条件下雨水渗井结构设计适宜性研究、渗井工艺参数基础试验与经济高效抗衰减填料研发、雨水集中入渗回灌对地下水涵养及水环境、地质环境等长期影响模拟预测与风险评估等研究方向,持续改进雨水渗井设计、施工与维护方法。为科学推广海绵城市雨洪控制与资源化理念夯实技术保障。
内容源于网络,旨在分享,如有侵权,请联系删除
相关资料推荐:
https://ziliao.co188.com/p62318911.html
知识点:海绵城市雨水渗井系统建设关键问题
0人已收藏
0人已打赏
免费3人已点赞
分享
市政给排水
返回版块23.68 万条内容 · 858 人订阅
回帖成功
经验值 +10
全部回复(0 )
只看楼主 我来说两句抢沙发