土木在线论坛 \ 给排水工程 \ 市政给排水 \ 暴雨强度公式,你更熟悉哪一种?

暴雨强度公式,你更熟悉哪一种?

发布于:2022-09-05 13:37:05 来自:给排水工程/市政给排水 [复制转发]

1  公式的基本型式

暴雨强度公式是用来刻画某地暴雨量(或雨强)─频率(或重现期)─历时三者之间关系的数学表达。暴雨强度公式主要有两种基本型式:

1.1   两参数公式

图片


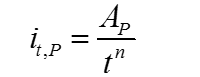
(1)

式中,it,p——历时为t(h)、重现期为P(a)的暴雨强度(mm/h);

n——暴雨衰减指数,与重现期有关;

Ap——重现期为P(a)的雨力。当t=1h,Ap=i1h,p,数值上等于年最大60min的平均雨强(mm/h)。

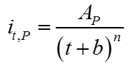
1.2  三参数公式

图片


(2)

式中,it,p——历时为t(min)、重现期为P(a)的暴雨强度(mm/min);

Ap——雨势频率变数,或雨力(mm/min);

n——暴雨衰减指数,与重现期有关;

b——降雨历时修正参数,即对上式两边取对数后能使曲线化成直线所加的一个时间常数(mm)。

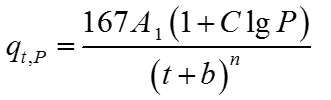
上式汇入重现期后,得出如下型式的三参数暴雨强度总公式:

图片


(3)

式中,qt,p——历时为t(min)、重现期为P(a)的暴雨强度[L/(sghm^2)];

167——单位换算系数;

A1——雨力参数,即重现期为1年时的分钟设计降雨量(mm/min);

C——雨力变动参数(无量纲)。

式(3)汇入重现期后,增加2个参数。但需要着重说明的是,这里的两参数和三参数公式均针对公式的基本型式,即式(2)和式(3)而言的。


2  两类公式的内在关系

两种暴雨强度公式均可用来刻画某地暴雨量(或雨强)─频率(或重现期)─历时三者之间定量关系的数学表达。就雨量站历年各历时暴雨资料,经频率分析得到各历时各重现期设计雨量,然后分别采用式(1)和式(2)进行数学拟合,可得各公式参数。

式(1)是式(2)当b=0时 的特款,就公式为各历时雨强的实测点据配合精度而言,无疑式(2)为好。但就参数的水文物理意义而言,式(1)相对明确,数值也较为稳定,有利于参数的地区综合与插值,以便在暴雨资料短缺地区使用。

图片


3  两类公式的各自用途及理由

在长期的生产应用过程中,水利和市政等部门从公式拟合精度、便于求解等角度出发,分别选用两参数公式和三参数公式,建立了满足各自需求的设计雨水流量计算方法,并在各自行业内推广使用。

对工程所在小流域暴雨洪水或站外排涝计算,选用两参数暴雨强度公式;对工程场地范围及城镇室外场地排水计算,选用三参数暴雨强度公式。

3.1   两参数公式之于雨洪排涝计算

由于小流域暴雨洪水计算涉及雨强与下垫面下渗率之间的对比,需考虑相对复杂的汇流过程,因而可能出现部分产流和全面产流等情况,对设计洪峰流量推理公式表现为一隐式。为便于求解,水科院推理公式法选用型式相对简单的两参数暴雨强度公式。小流域雨洪计算的林平一法、铁一院公式法、铁二院公式法也无一不基于两参数暴雨强度公式研制。

中国水利水电科学研究院陈家琦等人在上世纪50年代基于推理公式,研制出小流域暴雨洪水分析计算方法的水科院推理公式法。在电力规划设计总院主持下,华东电力设计院等单位的王维新等人(咱电力水文老前辈们非常棒的工作,顺便致敬一下!)主要选用华东地区上世纪70、80年代845场次雨洪资料,基于水科院推理公式法研究了集水面积小于10平方千米的特小流域汇流参数变化规律,提出了华东地区特小流域暴雨洪水分析计算方法。

3.2   三参数公式之于室外场地排水计算

工程场地或城镇化地区下垫面相对单一,室外排水过程一般不涉及上述复杂的产汇流过程,推理公式表现为简单的显式,可代入设计暴雨强度直接求算雨水设计流量,因此城建市政部门制订的室外排水标准中的雨水流量虽也是应用推理公式计算,但暴雨强度采用精度较高的三参数暴雨强度公式。  


4  两类公式如何查算

4.1  两参数暴雨强度公式的查算

两参数暴雨强度公式各历时设计暴雨量可根据水利部门研制的暴雨参数图集查算,也可根据当地雨量站或气象站历年实测各历时最大暴雨系列经频率分析求算,频率分析成果宜对比当地设计暴雨等值线进行合理性检查。

暴雨参数图集等值线中读取相关历时的均值和变差系数,偏态系数取3.5倍于变差系数,按皮尔逊Ⅲ型分布计算设计暴雨量。

我国于1956~1957年开始编制暴雨参数图集,“75.8”暴雨后于1976~1988年间又陆续编制了一些暴雨参数等值线图,各省直辖市也分别细化了所辖地区的等值线图,并编入省市水文手册或暴雨洪水图集用于查算。1996~2004年水利部原水文司组织原南京水文水资源研究所等单位基于最新暴雨资料研究我国暴雨统计参数,于2005年出版《中国暴雨统计参数图集》(比例尺1:1530万),水利部以“水文[2005]100号”文件印发该成果,同时要求分省图集成果(比例尺1:100万)由各省水行政主管部门印发和管理。工程勘测过程中宜继续关注并使用暴雨参数研究的最新权威成果。

对因图集等值线难以涵盖或暴雨受地形影响明显的地区,需采用当地雨量站或气象站实测暴雨系列资料经频率分析推算设计暴雨。对频率计算暴雨进行合理性检查的目的在于使成果在区域面上保持合理性,避免因整点1h最大暴雨误为滑动60min最大暴雨之类的错误搜资造成设计成果产生偏差。

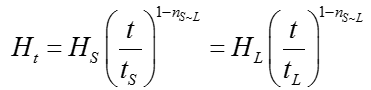
我国水利行业所称的暴雨标准历时包括最大10min、60min、6h、24h、3d共5种。对小流域暴雨洪水计算,当采用两段式雨强─历时折线(对应两个暴雨衰减指数)时,暴雨历时选用最大10min、60min、24h,而当采用三段式雨强─历时折线(对应三个暴雨衰减指数)时,需增加最大6h暴雨量。对排涝计算,必要时还需加入最大3d暴雨量。

两参数暴雨强度公式中的暴雨衰减指数宜采用相关标准历时的设计暴雨计算,无雨量资料时可参照邻近站或查阅地区综合值取定。对暴雨衰减变化较大且雨洪计算精度要求较高的工程,宜采用分段折线分别计算暴雨衰减指数。任意历时设计雨量可由历时及相应暴雨衰减指数根据两参数暴雨公式插值计算。

两参数暴雨强度公式中的暴雨衰减指数反映雨强随历时的衰减幅度,或累积雨量随历时的增加幅度。有研究显示,暴雨衰减指数总体有随频率减小而减小、随历时增加而增大的趋势,且面雨量衰减指数小于点雨量衰减指数。

雨量─历时的对数关系曲线表现为单调递增的抛物线型,如果采用完全随历时变化的衰减指数计算雨洪则非常复杂,采用一个统一的值往往与实际偏差又较大。由于在较短的历时范围内抛物线曲率较小近似直线,因此可以标准历时分隔概化为分段折线分别计算衰减指数。例如,在0~24h的时段内,一般以60min为界分为两段折线,历时小于60min的衰减指数n1取10~60min的暴雨计算,历时大于60min的n2取60min~24h的暴雨计算。为增加计算精度,还可以增加以6h为界共分为三段折线,n1不变,n2取60min~6h的暴雨计算,n3取6~24h的暴雨计算。

暴雨衰减指数对设计雨洪量的计算误差比较敏感,为了减小计算误差,本条推荐采用标准历时的设计暴雨按下式计算衰减指数:

图片


(4)

式中,nS-L——历时间的暴雨衰减指数;

Hs、HL——较短历时和较长历时的设计暴雨量;

D——系数,Ts-TL=(10~60min、60min~6h、6~24h、60min~24h、24h~3d)的值分别为1.285、1.285、1.661、0.725和2.096。

任意历时的设计雨量,可由相邻两个标准历时设计雨量按下式计算:

图片


(5)

4.2   三参数暴雨强度公式的查用

受资料和时间等条件限制,就实际工程勘测设计而言,一般难以采用最新资料按上述过程编制三参数暴雨强度公式,而应以搜集所在城市或邻近城市的编制公式为主。当附近城市无此公式时,可移用地理环境及气候条件相似的邻近城市的三参数暴雨强度公式。

三参数暴雨强度公式的编制需要多年多种历时大量的实测雨量资料,公式最优拟合参数的求解涉及大量的分析计算工作,根据皮尔逊Ⅲ型、耿贝尔分布型或指数分布型频率分析得出重现期─雨强─历时关系后,采用图解法、解析法、图解与最小二乘结合法、精度较高的高斯─牛顿法以及新近提出的蚁群算法等进行A1、C、b、n多维寻优,最终得出当地暴雨强度公式。

为满足城市排水规划设计需要,适应我国室外排水设计规范相关变化要求,我国市政、城建、规划或气象部门组织会编制或修订随后发布这类公式。各城市暴雨强度公式常常收录于城镇排水设计手册等方便查用,但随着《室外排水设计规范》GB50014-2006(2014年版)对暴雨选样方法、雨水管渠内涝防治系统设计重现期等方面的重大修订,许多城市已经研制新的暴雨强度公式,其他城市预计也将陆续研制新公式。


图片
图片
图片


5  我国市政排水部门暴雨强度公式编制的最新要求

水文气象统计学的频率分析取样方法有年最大值法和非年最大值法两类,年多个样法是非年最大值法中的一种。年多个样法从每年各历时的降雨资料中选择6~8个最大值,取资料年数3~4倍的最大值进行统计分析。同一重现期雨强,年多个样法成果大于年最大值法,只有当重现期大于10年时,两者雨强才较接近。由于以前国内自记雨量资料不多,因此多采用年多个样法。国际上的发展趋势是采用年最大值法,现在我国许多地区已具有40年以上的自记雨量资料,具备采用年最大值法的条件,从《室外排水设计规范》GB50014-2006(2014年版)开始,规定具有20年以上自动雨量记录的地区,应采用年最大值法。

《室外排水设计规范》GB50014附录A规定了三参数暴雨强度公式编制的基本要求、技术流程、暴雨样本选择、频率分布模型以及公式的误差评定要求。2014年4月发布的《城市暴雨强度公式编制和设计暴雨雨型确定技术导则》(住房和城乡建设部、中国气象局)对2014年2月发布的《室外排水设计规范》GB50014-2006(2014年版)相关要求进行深入解读,给出了更为详细的技术指引,给出了暴雨强度公式参数的具体求解方法,可用于指导编制暴雨强度公式。

包含重现期变量的总公式因其能表示暴雨的整体规律,公式型式的概括性较高,但其参数求解涉及相对复杂的多维寻优,一般需借助软件编程进行,而单一重现期的分公式精度相对较高,参数寻优也方便些。


6  两类公式的相互校验与替代性

前文已经述及,两参数暴雨强度公式与三参数暴雨强度公式本质上都是对某地暴雨量(或雨强)─频率(或重现期)─历时三者之间定量关系的刻画,只是在其编制及应用过程中由于解决的主要矛盾不同而各有侧重。

我国水利部门一般采用两参数暴雨强度公式,流域暴雨洪水及排涝计算时需考虑河、湖、沟塘的调蓄能力,一般取1h~24h甚至3d的长历时雨量作为其设计暴雨历时;城建、规划或市政部门采用三参数暴雨强度公式,由于市政排水管网的汇水面积小,调蓄能力较弱,涝灾多由短历时暴雨导致,故其设计暴雨历时一般小于2h,侧重于雨峰的排除。在此基础上,鉴于市政排水工程和河道工程规模差异等因素,水利部门和市政部门进一步在设计暴雨重现期方面产生各自不同的配套规定。

水利部门基于两参数暴雨强度公式研制暴雨参数等值线图时,最大暴雨样本选用10min、60min、6h(360min)、24h(1440min)、3d(4320min)共5种标准历时的年最大值,参数成果用于重现期为10年~100年的防洪排涝计算。

我国《室外排水设计规范》GB50014早期版本中的三参数暴雨强度公式制定时,一般采用年多个样法,偏重于短历时、低重现期的暴雨。《室外排水设计规范》GB50014-2006(2014年版)及其后续版本对暴雨强度公式编制方法、雨水管渠设计和内涝防治系统设计重现期要求等进行了重大修订。暴雨强度公式编制时,采用年最大值法代替年多个样法选样,暴雨历时采用5min、10min、15min、20min、30min、45min、60min、90min、120min、150min、180min共11个历时,计算重现期按2年、3年、5年、10年、20年、30年、50年、100年统计。

总之,始于《室外排水设计规范》GB50014-2006(2014年版)的市政排水部门对暴雨强度公式编制的最新要求为两种型式公式的相互校验与替代提供的可能。按新排水规范编制三参数暴雨强度公式,增加了稍长历时的暴雨样本,也越来越关注高重现期的拟合精度。亦即,按新方法编制的三参数暴雨强度公式与水利部门采用的两参数公式计算重现期基本重叠,均采用年最大值选择暴雨样本,暴雨历时也趋向一致。因此,利用两行业分别研制的暴雨公式计算的设计暴雨成果具备可比性和相互替代性。

具体来说,当采用相同的年最大值暴雨选样、暴雨样本的历时相对一致、计算重现期范围基本重叠时,基于两参数暴雨公式的暴雨参数和三参数暴雨强度公式计算的设计雨量和设计雨强成果可相互校验,必要时也可相互替代用于工程防洪排涝和室外排水计算。对于资料缺乏地区或难以搜集三参数暴雨强度公式或两参数暴雨强度公式暴雨参数的其中一种时,可相互替代用于工程防洪排涝和室外排水计算。

但需注意的是,对不满足上述相互替代条件的,如采用年多个样法、超定量法等非年最大值法选样方法制定的三参数暴雨强度公式,其计算的雨强及雨量不宜替代用于工程小流域洪涝计算。


7  两类公式如何替代应用

对工程防洪排涝计算,可由最新编制的三参数暴雨强度公式计算设计重现期和相关历时的雨强,进而计算设计暴雨量,用于设计洪水的计算;当对工程当地及其邻近地区缺乏符合新排水规范要求的三参数暴雨强度公式时,也可以采用水利部门编制的暴雨参数成果计算10min、60min等历时设计暴雨量,按式(4)内插非标准历时的设计雨量,进而计算雨强随历时的关系,提供给给排水专业用于室外场地排水计算。替代时应十分注意不同公式间的单位换算。


8  结语

(1)两参数暴雨强度公式与三参数暴雨强度公式本质上都是对某地暴雨量(或雨强)─频率(或重现期)─历时三者之间定量关系的刻画,只是在其编制及应用过程中由于解决的主要矛盾不同而各有侧重。

(2)由于小流域暴雨洪水计算涉及雨强与下垫面下渗率之间的对比,需考虑相对复杂的汇流过程,因而可能出现部分产流和全面产流等情况,对设计洪峰流量推理公式表现为一隐式。为便于求解,水科院推理公式法选用型式相对简单的两参数暴雨强度公式。小流域雨洪计算的水科院推理公式法、林平一法、铁一院公式法、铁二院公式法无一不基于两参数暴雨强度公式研制。

(3)城镇化地区下垫面相对单一,室外排水过程一般不涉及复杂的产汇流过程,推理公式表现为简单的显式,可代入设计暴雨强度直接求算雨水设计流量,因此城建市政部门制订的室外排水标准选用精度较高的三参数暴雨强度公式。

(4)当采用相同的年最大值暴雨选样、暴雨样本的历时相对一致、计算重现期范围基本重叠时,基于两参数暴雨公式的暴雨参数和三参数暴雨强度公式计算的设计雨量和设计雨强成果可相互校验,必要时也可相互替代用于工程防洪排涝和室外排水计算。对于资料缺乏地区或难以搜集三参数暴雨强度公式或两参数暴雨强度公式暴雨参数的其中一种时,可相互替代用于工程防洪排涝和室外排水计算。



内容源于网络,如有侵权,请联系删除


相关资料推荐:

DB31/T 1043暴雨强度公式与设计雨型标准

https://ziliao.co188.com/p62859402.html



知识点:暴雨强度公式


全部回复(0 )

只看楼主 我来说两句抢沙发
这个家伙什么也没有留下。。。

市政给排水

返回版块

23.68 万条内容 · 858 人订阅

猜你喜欢

阅读下一篇

暴雨强度公式修编,你怎么看?

前言 暴雨强度公式是指导城市雨水工程规划设计的重要依据,它的科学与否直接关系到城市的排水安全,影响雨水工程建设投资的合理性。在暴雨强度公式修编过程中也暴露出一些问题,如没有分析研究新旧公式之间的内在联系,没有对两种选样方法对应重现期之间的互换进行探讨,新修编的公式缺乏多工况的实证研究等,导致按新公式建设的雨水工程在建设标准方面不能与既有雨水工程进行很好地衔接,进而影响到雨水工程建设的连续性,也影响到新编公式的合理性和权威性。为使新编公式更好地反映当前城市的降雨特征,科学指导雨水工程的建设,根据公式修编过程中出现的有关问题及时制定出相应的改进措施。

回帖成功

经验值 +10