《车库建筑设计规范》JGJ 100-2015 |
1总则
2术语
3基地和总平面
3.1 基 地
3.2 总平面
4机动车库
4.1 一般规定
4.2 出入口及坡道
4.3 停车区域
4.4 构造措施
5机械式机动车库
5.1 一般规定
5.2 出入口
5.3 停车区域
5.4 构造措施
6非机动车库
6.1 一般规定
6.2 出入口及坡道
6.3 停车区域
6.4 构造措施
7建筑设备
7.1 一般规定
7.2 给水排水
7.3 采暖通风
7.4 电气
本规范用词说明
引用标准名录
1 总则
1.0.1 为适应城镇建设发展需要,使车库建筑设计符合适用、安全、卫生、经济、环保、节能等基本要求,制定本规范。
▲ 收起条文说明
1.0.1 本规范是对《汽车库建筑设计规范》JGJ 100-98的修订。随着社会的不断发展与进步,我国机动车无论是数量还是类型与十几年前相比都发生了很大的变化,尤其在大、中城市,机动车已经进入普通家庭,越来越多的人拥有自己的家庭轿车及私有车位。停车问题越来越显示其社会性与公共性,停车功能也已经成为很多建筑物必配的基本功能,停车设计也是建筑设计中大量涉及的基本设计问题,车库建筑规模、使用要求等方面也发生了很大变化。同时新技术与新设备的不断发展与更新,使得停车方式也有了巨大的改变,如停车设施的不断完善与提升、机械式停车设备的推陈出新等,因此对原有规范的不足之处进行修订尤为重要,同时更名为《车库建筑设计规范》。在机械式机动车库方面,更新充实了相应的内容,以符合当今新的社会现实需求。
制定并实施车库建筑的绿色环保与节能减排,不仅有利于改善车库建筑的热环境,提高暖通空调系统的能源利用效率,还有利于车库建筑在全生命周期中为实现国家节约能源和保护环境的战略,贯彻有关政策和法规做出贡献。
1.0.2 本规范适用于新建、扩建和改建的机动车库和非机动车库的建筑设计。
▲ 收起条文说明
1.0.2 在我国当今社会条件下,非机动车作为人们传统出行方式仍然占据着重要地位,并且由于当今节能、低碳理念的倡导,非机动车的使用应该得到大力提倡,但以往规范中没有对非机动车车库的设计做出专门规定。因此本次规范的修订中,扩大了原规范的适用范围,将非机动车车库作为单独章节纳入进来,形成较为完整的设计规范体系。
本规范中车库停放的车辆为轿车、客车和货车为代表的机动车和以自行车、电动自行车、小型三轮车为代表的非机动车,侧重于城镇中大量性的公共车库建筑。修车库、特种车型机动车库、低层住宅、工厂及仓库等专用车库由于类型特殊,不具有广泛代表性,所以本规范没有将其纳入。
1.0.3 车库建筑按所停车辆类型分为机动车库和非机动车库,按建设方式可划分为独立式和附建式。
▲ 收起条文说明
1.0.3 由于将非机动车纳入规范增补内容,且两种车型差异大,一般在实际中往往分开设置,因此将车库建筑分为机动车库与非机动车库两种类型。根据建设方式的不同,将车库分为独立式与附建式两种类型,主要考虑附建式车库在总平面等方面要结合其附属主体建筑物的情况,较为复杂,而与独立式车库有所不同。
1.0.4 机动车车库建筑规模应按停车当量数划分为特大型、大型、中型、小型,非机动车库应按停车当量数划分为大型、中型、小型。车库建筑规模及停车当量数应符合表1. 0. 4 的规定。
▲ 收起条文说明
1.0.4 车库建筑规模一般按车辆类型、容量来划分,车型与容量的多少决定了车库面积的大小。对于机动车库来讲,考虑到现行国家标准《汽车库、修车库、停车场设计防火规范》GB 50067不分车型,仅以小型车车容量作为车库防火分类的划分依据,同时小型车车库使用面广,故本表中以小型车为标准当量作为划分依据,其他车型可考虑车辆的当量换算系数进行折算。对于非机动车库来讲,主要考虑以自行车作为主要停驶车辆,因此以自行车为标准当量作为划分依据,其他类型非机动车辆如三轮车、电动自行车、机动轮椅车等停放在库中时应按相应当量换算系数进行折算。
由于我国机动车的飞速发展,机动车库的规模不断增大,超过1000辆的机动车库比比皆是。原规范中对于特大型车库中数量的规定已不能客观、准确地反映出现实状况,因此将特大型、大型机动车库划分的数量依据进行相应调整,以停车当量数1000辆作为区分特大型与大型车库的数量依据较为合理,同时其他规模类型的车库划分与原规范及防火规中300辆和50辆两个界限保持一致。
非机动车库的停车当量数的划分主要考虑以地下室的防火分区为依据并进行数量折算而得。对于中型和小型的划分依据则考虑为地下室一个防火分区不设喷淋时为500m2的情况,其一个标准当量自行车停车位与通道等所占综合面积约为2m2,因此停车当量数定为250辆较为合理。

1.0.5 车库建筑设计应使用方便、安全可靠、技术先进、经济合理,并应满足所在城市及地区交通管理的要求。
▲ 收起条文说明
1.0.5 车库建筑除了适用、经济以外,在安全、技术先进等方面都有独特的要求,不仅进出车运行要安全,对油、汽的防火还有较高安全要求,同时还要防止尾气污染环境。一般来讲,机动车库在发生火灾时,以人员及时疏散为主,不宜考虑将机动车辆进行疏散,因此采用先进的管理技术,既可节省运行成本,使车辆运行迅速、合理,又可保证建筑物的安全。
1.0.6 车库建筑设计,除应符合本规范外,尚应符合国家现行有关标准的规定。
▲ 收起条文说明
1.0.6 本条是根据住房和城乡建设部印发的《工程建设标准编写规定》(建标[2008]182号),引用的典型用语。与本规范有较大联系的现行规范有:
1《建筑给水排水设计规范》GB 50015
2《建筑设计防火规范》GB 50016
3《建筑照明设计标准》GB 50034
4《供配电系统设计规范》GB 50052
5《汽车库、修车库、停车场设计防火规范》GB 50067
6《民用建筑设计通则》GB 50352
7《智能建筑设计标准》GB 50314
8《工业企业设计卫生标准》GBZ 1
9《城市道路设计规范》CJJ 37
10《机械式停车库工程技术规范》JGJ/T 326
2 术 语
2.0.1 车库(parking garage)
停放机动车、非机动车的建筑物。
2.0.2 机动车(motor vehicle )
以动力装置驱动或牵引,在道路上行驶的,供人员乘用或用于运送物品以及进行工程专项作业的轮式车辆。
2.0.3 非机动车(non-motor vehicle )
以人力驱动,在道路上行驶的交通工具以及虽有动力装置驱动但设计最高时速、空车质量、外形尺寸符合国家有关标准的电动自行车、残疾人机动轮椅车等交通工具。
2.0.4 机动车库(motor vehicle garage )
停放机动车的建筑物。
2.0.5 非机动车库(non-motor vehicle garage )
停放非机动车的建筑物。
2.0.6 地下车库(underground garage )
室内地坪低于室外地坪高度超过该层净高1/2的车库。
2.0.7 独立式车库(detached garage )
单独建造的,具有独立完整的建筑主体结构与设备系统的车库。
2.0.8 附建式车库(garage attached to building )
与其他建筑物或构筑物结合建造,并共用或部分共用建筑主体结构与设备系统的车库。
2.0.9 复式机动车库(compound mechanical motor vehicle garage )
室内有车道、有驾驶员进出的机械式机动车库。
2.0.10 敞开式机动车库(open motor vehicle garage )
任一层车库外墙敞开面积超过该层四周外墙体总面积的25% ,且敞开区域均匀布置在外墙上且其长度不小于车库周长的50%的机动车库。
2.0.11 机械式机动车库(mechanical motor vehicle garage )
采用机械式停车设备存取、停放机动车的车库。
2.0.12 全自动机动车库(fully automatic mechanical motorvehicle garage )
室内无车道,且无驾驶员进出的机械式机动车库。
2.0.13 停车当量(equivalent parking unit )
用于协调各种不同车型,便于统计与计算停车数量、停车位大小等数据而设定的标准参考车型单元。
2.0.14 停车位(parking stall)
车库中为停放车辆而划分的停车空间或机械式停车设备中停放车辆的独立单元,由车辆本身的尺寸加四周所需的距离组成。
2.0.15 停车区域(parking area)
车库中为停放车辆而划分的停车空间或机械式停车设备中停放车辆的独立单元,由车辆本身的尺寸加四周所需的距离组成。
2.0.16 坡道式出入口(entrance/exit of ramp)
机动车库中通过坡道进行室内外车辆交通联系的部位。
2.0.17 升降梯式出入口(entrance/exit of elevator)
机动车库中通过升降梯进行室内外车辆交通联系的部位。
2.0.18 平入式出入口(entrance/exit of straight-in )
机动车库中由室外场地直接出入停车区域的部位。
2.0.19 车道(lane)
在车行道路上供单一纵列车辆行驶的部分。
2.0.20 缓坡段(transition slope )
当坡道坡度较大时,为避免机动车的底部在坡道两端碰擦地面而设置的缓和坡段。
2.0.21 弯道超高(super elevation at curve)
为平衡机动车在弯道上行驶所产生的离心力所设置的弯道横向坡度而形成的高差。
2.0.22 机动车最小转弯半径(super elevation at curve)
机动车回转时,当转向盘转到极限位置,机动车以最低稳定车速转向行驶时,外侧转向轮的中心平面在支承平面上滚过的轨迹圆半径,表示机动车能够通过狭窄弯曲地带或绕过不可越过的障碍物的能力。
2.0.23 机动车环形外半径(circular outer radius of vehicle)
以回转圆心为参考点,机动车回转时其外侧最远端循圆曲线行走轨迹的半径。
2.0.24 机动车环形内半径(circular inner radius of vehicle)
以回转圆心为参考点,机动车回转时其内侧最近端循圆曲线行走轨迹的半径。
2.0.25 环形车道外半径(outer radius of the circular lane)
以回转圆心为参考点,机动车回转时其外侧最远端循圆曲线行走的轨迹半径加上机动车最远端至环形车道外边的安全距离。
2.0.26 环形车道内半径(inner radius of the circular lane )
以回转圆心为参考点,机动车回转时其内侧最近端循圆曲线行走的轨迹半径减去机动车最近端至环形车道外边的安全距离。
2.0.27 机动车道路转弯半径(turning radius of the vehicle lane )
能够保持机动车辆正常行驶与转弯状态下的弯道内侧道路边缘处半径。
2.0.28 机械式停车设备(mechanical parking devices)
采用机械方法存取、停放机动车的机械装置或设备系统。简称停车设备。
2.0.29 升降横移类停车设备(lift-sliding mechanical parking system)
利用存车板或其他载车装置升降和横向平移存取汽车的机械式停车设备。
▲ 收起条文说明
2.0.29 本停车设备的每个车位均有载车板,所需存取车辆的载车板通过升、降、横移运动到达地面层,驾驶员进入车库,存取车辆,完成存取过程,图1为升降横移类停车设备示意图。
2.0.30 垂直循环类停车设备(vertical lifting mechanical parking system)
使用垂直循环机构使车位产生垂直循环运动到达出入口层而存取汽车的机械式停车设备。
▲ 收起条文说明
2.0.30 本停车设备通过链条牵引,每隔一定距离安装一个存车托架,当电机启动时,存车托架随链条一起作循环运动,达到存取车的目的,图2为垂直循环类停车设备示意图。
2.0.31 水平循环类停车设备(horizontal circulating mechanical parking system)
使用水平循环机构使车位产生水平循环运动到达升降机或出入口而存取汽车的机械式停车设备。
▲ 收起条文说明
2.0.31 本停车设备存取车辆的载车板移动到出入口处,驾驶员再将汽车存入或取出,按载车板运动的形式可分为圆形循环式和方形循环式两种,图3为水平循环类停车设备示意图。
2.0.32 多层循环类停车设备(multi-tier circulating mechanical parking system)
用循环运动的车位系统存取停放多层车辆的机械式停车设备。
▲ 收起条文说明
2.0.32 多层循环类停车设备目前的运动形式有两种:一种是载车板在上下层交换时,按圆形轨迹运动;另一种是载车板在上下层交换时,沿直线上下升降,图4为多层循环类停车设备示意图。
2.0.33 平面移动类停车设备(horizontal shifting mechanical parking system )
在同一水平层上用搬运器平面移动汽车或载车板,实现存取汽车的机械式停车设备,多层平面移动类机械式停车设备还需使用升降机来实现不同层间的升降。
▲ 收起条文说明
2.0.33 本停车设备升降机从出入口处搬运车辆作垂直升降动作至不同层,搬运车辆的搬运器沿巷道在轨道上高速运行到不同的停车位或升降机附近,由搬运器将车辆送进停车位,实现存取车,图5为平面移动类停车设备示意图。
2.0.34 巷道堆垛类停车设备(stacking mechanical parking system)
使用巷道堆垛机,将汽车水平且垂直移动到停车位旁,并用存取交接机构存取汽车的机械式停车设备。
▲ 收起条文说明
2.0.34 本停车设备中驾驶员将车辆驶入出入口后,升降机将车辆降到地下,堆垛机上的搬运器将入库车辆移至堆垛机中,然后堆垛机水平和升降同时运行至就近存车位,由搬运器将车辆送进停车位,实现存取车,图6为巷道堆垛类停车设备示意图。
2.0.35 垂直升降类停车设备(vertical lifting mechanical parking system)
使用升降机将汽车升降到指定层,并用存取交接机构存取汽车的机械式停车设备。
▲ 收起条文说明
2.0.35 本停车设备用提升机构将车辆或载车板升降到指定层,然后用安装在提升机构上的横移机构将车辆或载车板送入存车位,图7为垂直升降类停车设备参考图。
2.0.36 简易升降类停车设备(parking lift)
使用升降或俯仰机构使汽车存入或取出的机械式停车设备。
▲ 收起条文说明
2.0.36 简易升降类按具体构造或配置关系可分为:垂直升降地上两层、垂直升降半地下两层、垂直升降半地下三层、俯仰升降地上两层等,图8为简易升降类停车设备示意图。
2.0.37 机动车专用升降机(lift for vehicle)
用于停车库出入口至不同停车楼层间升降搬运汽车的机械装置。
2.0.38 自行车停车架(bicycle stand/rack)
停放自行车以便于管理、存取的构架。
2.0.39 复式自行车停车架(multi-tier bicycle stand/rack)
在同一楼层内停放两层或两层以上自行车的构架。
3.1 基地
3.1.1 车库基地的选择应符合城镇的总体规划、道路交通规划、环境保护及防火等要求。
▲ 收起条文说明
此章节中将原规范中的术语“库址”改为“基地”,以便与其他建筑设计规范标准统一。
3.1.1 车辆进出基地时,会对周围城市道路交通产生影响。机动车还可能产生较大噪声和较多废气,对周围环境造成污染;同时,基地选址时需兼顾消防安全。因此,车库基地的选址,应符合城镇的总体规划、道路交通规划、环境保护及防火等要求。
3.1.2 车库基地的选择应充分利用城市土地资源,地下车库宜结合城市地下空间开发及地下人防设施进行设置。
▲ 收起条文说明
3.1.2 车库基地的选择应注重节地、节能、节材的方针,以利于节约建设投资,实现绿色设计。为贯彻“平战结合”方针,城市原有人防工程设施已广泛与城市建设相结合,如改做停车库等,新建车库应充分利用现有城市人防工程设施。同时,车库基地的选择还应与城镇规划中拟建的人防工程设施及地下空间开发相结合。
3.1.3 专用车库基地宜设在单位专用的用地范围内;公共车库基地应选择在停车需求大的位置,并宜与主要服务对象位于城市道路的同侧。
▲ 收起条文说明
3.1.3 停车库按照使用性质一般可分为公共车库和专用车库。为城市公共设施服务的公共车库的基地应结合城镇规划布局和道路交通组织需要,合理分布。在大型公共建筑、大型交通枢纽、集中居住区、公共汽车以及轨道交通首、末站等处均应布置适当容量的公共车库。车库宜与服务对象位于城市道路的同侧,以利于使用方便及交通安全。
3.1.4 机动车库的服务半径不宜大于500m,非机动车库的服务半径不宜大于100m。
▲ 收起条文说明
3.1.4 车库基地与主要服务对象之间的距离不宜过大。参照原规范,规定机动车库的服务半径不宜大于500m。人的步行速度取1.2m/s,机动车库基地的服务半径按步行6min~7min的距离计算,在城市中心地区宜适当减小,服务半径可控制在200m之内;在风景名胜区,为减少对环境的影响,服务半径可适当增加;大型公共交通枢纽,如大型机场、火车站、客运站、轮船码头等,服务半径可适当增加;大型厂区内的专用车库服务半径有时难以达到500m的要求,此时可根据具体情况确定专用车库基地的位置,规范对此服务半径不作规定。
非机动车库的服务半径,参考了现行行业标准《城市道路交通规划设计规范》GB 50220的规定。非机动车库基地最远距离应充分考虑人性化设计,按步行不超过2min计算,适宜的距离为50m~100m,大型公共交通枢纽等,不应超过3min 的步行距离,即200m。当由于条件所限距离较大时,可考虑增设摆渡运输设施,尤其需要考虑为残疾人提供人性化的服务设施。
3.1.5 特大型、大型、中型机动车库的基地宜临近城市道路;不相邻时,应设置通道连接。
▲ 收起条文说明
3.1.5 对于城市道路分级,大城市一般分快、主、次、支四级,中等城市分主、次、支三级,小城市分干、支两级。此外,城市中还有工业区、居住区等区内道路。按上述划分,总的可分为城市道路和功能分区道路两类。中型及中型以上机动车库基地,出入车流量大,应临近城市道路,有利于减少对功能分区内环境干扰和影响。为保证车辆行驶安全,且减少对城市交通的影响,车辆宜通过缓冲通道到达城市道路。当基地与城市道路不相邻时,需设置通道连接,该连接是维系基地对外交通、疏散以及消防救援的要素,通道的宽度尺寸可以按照现行国家标准《民用建筑设计通则》GB 50352和《城市道路交通规划设计规范》GB 50220确定
3.1.6 车库基地出入口的设计应符合下列规定:
1 基地出入口的数量和位置应符合现行国家标准《民用建筑设计通则》GB 50352的规定及城市交通规划和管理的有关规定;
2 基地出入口不应直接与城市快速路相连接,且不宜直接与城市主干路相连接;
3 基地主要出入口的宽度不应小于4m,并应保证出入口与内部通道衔接的顺畅;
4 当需在基地出入口办理车辆出入手续时,出入口处应设置候车道,且不应占用城市道路;机动车候车道宽度不应小于4m、长度不应小于10m,非机动车应留有等候空间;
5 机动车库基地出入口应具有通视条件,与城市道路连接的出入口地面坡度不宜大于5%;
6 机动车库基地出入口处的机动车道路转弯半径不宜小于6m ,且应满足基地通行车辆最小转弯半径的要求;
7 相邻机动车库基地出入口之间的最小距离不应小于15m,且不应小于两出入口道路转弯半径之和。
▲ 收起条文说明
3.1.6 车库建筑基地出入口的设计要求: 1 国家标准《民用建筑设计通则》GB 50352-2005第4.1.2 和第4.1.5 条对基地与城市道路的连接要求作了规定,为了与之统一,本规范不另作规定。就机动车库而言,其出入口数量不应过少,以利于尽快疏散基地内的车辆,但从城市交通管理的角度考虑,又需要对基地内机动车汇入城市道路的情况加以控制。目前一般城市交通主管部门会通过交通评估对基地出入口数量和位置提出交通规划要求。因此,本规范未对基地出入口数量和位置提出具体要求,实际工程一般可按照《民用建筑设计通则》GB 50352-2005和城市交通主管部门的意见进行设计。
2 城市道路分为快速路、主干路、次干路和支路四类。为了保证行车安全和减少对城市交通的影响,本规范参照国家标准《城市道路交通规划设计规范》GB 50220-95第7.3.1(4)和7.3.2(2)条款确定。
3 基地出入口的形式较多,有机动车出入口、非机动车出入口、机非混行出入口,机动车出入口又有单、双行之分,故基地出入口的宽度也不尽相同,但基地应至少有一个出入口的宽度满足现行国家标准《民用建筑设计通则》GB 50352的要求,即不小于4m。一般基地出入口宽度是和与之连接的基地内通道宽度取得一致,机动车出入口双向行驶宽度不小于7m,单向行驶不小于4m;当非机动车道与机动车道混合设置时,可在机动车道宽度的基础上,单向增加不小于1.5m宽度的非机动车道。
有时基地出入口处内部通道宽度较大,由于管理需要,口部宽度会小于通道宽度,此时应妥善处理两者的衔接,避免通行不畅。
4 为了减少办理出入手续的车辆对城市交通造成的影响,本规范规定应在基地内设置办理车辆出入手续的等候空间。机动车按2辆车位考虑;自行车可按平均2.0m2/(车+人)考虑,根据需要设置等候空间。
5 基地出入口必须保证良好的通视条件,并在车辆出入口设置明显的减速或停车等交通安全标识,提醒驾驶员出入口的存在,以保证行车辆出入时的安全。机动车经基地出入口汇入城市道路时,驾驶员必须保证良好的视线条件,通视要求参照行业标准《城市道路工程设计规范》CJJ 37-2012第11.2.9条,不应有遮挡视线障碍物的范围,应控制在距离出入口边线以内2m处作视点的120°范围内。如图9所示,设计应保证驾驶员在视点位置可以看到全部通视区范围内的车辆、行人情况。人行道的行道树不属于遮挡视线障碍物。
基地出入口交通情况较复杂,最大坡度的限值有利于满足停车、视线的要求,从而保证行车安全。4m的长度可以满足缓坡
长度大于机动车前后轮间距,5%的坡度要求与斜楼板式机动车库楼板坡度的要求一致,此坡度可保证机动车不溜车,也可以保证视线的要求。
6 参照行业标准《城市道路工程设计规范》CJJ 37-2012第6.2.4条的规定制定本条款。
7 基地出入口有机动车出入口、非机动车出入口、机非混行出入口等形式,一个出入口可以由多条车道组成,常用的是由上下行两个车道组成。有的基地出入口采用进出车道之间设有绿化隔离带或花坛的形式,此类出入口虽然宽度较大,但也算一个出入口。
每设置一个基地出入口,都会对城市交通造成或多或少的影响。在过近的距离内设置多个出入口,不仅影响城市道路交通,对自身的通行也有影响,从某种意义上说也是一种资源的浪费,一般城市交通主管部门会对基地出入口数量和位置提出交通规划要求。规范不鼓励在很近的距离内设置多个出入口,当由于条件所限,出入口距离确实很近时,应采用合并出入口的设计方式。
两出入口之间的最小距离是指两者之间的净距。此距离可满足小、中型车辆两倍转弯半径的要求;有大型车停放时,应按道路转弯半径之和确定。非机动车对道路交通的影响没有机动车显著,其基地出入口之间的最小距离在正文中没有加以限定,规模较大的两个非机动车库基地出入口,也应尽量拉开一定的距离。
3.1.7 机动车库基地出入口应设置减速安全设施。
▲ 收起条文说明
3.1.7 本条为强制性条文。机动车库基地出入口车流集中,容易发生交通事故,所以是实施交通管理最重要部位之一。制定本条是为了强调基地出入口交通组织和管理的重要性。在出入口位置设置减速安全设施,可以保障基地出入口的通行安全。一般采用的方法为设置减速带等装置,道闸也可起到减速安全设施的作用。
3.2 总平面
3.2.1车库总平面可根据需要设置车库区、管理区、服务设施、辅助设施等。
▲ 收起条文说明
3.2.1 此条结合目前车库建设情况增加部分内容,管理区和服务设施区的设计可根据车库规模及实际需求合理选择,适度配置。
1 车库区包括停车位、行车通道、人行通道等停车基本设施;
2 管理区包括管理办公室、值班室、监控室等;
3 服务设施包括卫生间、休息室、清洗保养设施等;
4 辅助设施包括给水排水、采暖通风、电气系统和交通工程设施。
3.2.2车库总平面的功能分区应合理,交通组织应安全、便捷、顺畅。
▼ 展开条文说明
3.2.3在停车需求较大的区域,机动车库的总平面布局宜有利于提高停车高峰时段停车库的使用效率。
▼ 展开条文说明
3.2.4车库总平面的防火设计应符合现行国家标准《建筑设计防火规范》GB 50016和《汽车库、修车库、停车场设计防火规范》GB 50067 的规定。
▲ 收起条文说明
3.2.4 机动车库应根据建筑分类情况,基地总平面布局应执行现行国家标准《建筑设计防火规范》GB 50016。由于机动车库基地内有大量可燃材料,针对机动车库设计还制定了专门的防火规范,故机动车库项目除执行上述规范外,同时还应符合现行国家标准《汽车库、修车库、停车场设计防火规范》GB 50067的规定。
非机动车库没有特殊的防火要求,可根据建筑分类,执行相应的现行防火规范,即现行国家标准《建筑设计防火规范》GB 50016。
附建式车库应随主体建筑执行相应的防火设计规范。
3.2.5 车库总平面内,单向行驶的机动车道宽度不应小于4m,双向行驶的小型车道不应小于6m,双向行驶的中型车以上车道不应小于7m;单向行驶的非机动车道宽度不应小于1.5m,双向行驶不宜小于3.5m。
▲ 收起条文说明
3.2.5 本条规定的机动车道宽度,是指非消防车使用的机动车道宽度,消防车道的宽度还应满足消防规范的宽度要求。本条规定的单向行驶及双向行驶的中型车以上车道宽度要求与现行国家标准《民用建筑设计通则》GB 50352规定一致,双向行驶的小型车道要求与现行国家标准《城市居住区规划设计规范》GB 50180规定一致。6m的宽度可以满足小型车双向行驶要求,有利于总平面绿化率的提高。非机动车的道路宽度是依据现行国家标准《城市道路交通规划设计规范》GB 50220的相关内容确定。
机动车和非机动车混行道路,应在机动车道路宽度的基础上单向增加不小于1.5m的非机动车道。车辆通行较频繁的人车混行道路,应在车行道宽度基础上增加不小于1.5m的人行通道宽度。
3.2.6机动车道路转弯半径应根据通行车辆种类确定。微型、小型车道路转弯半径不应小于3.5m;消防车道转弯半径应满足消防车辆最小转弯半径要求。
▲ 收起条文说明
3.2.6 不同尺寸的机动车最小转弯半径不同,因此场地内道路最小转弯半径应依据通行的机动车最小转弯半径进行设计。小型车辆的最小转弯半径约为6.0m,机动车环形时最内点至环道内边安全距离宜大于等于250mm,根据计算结果,其行驶的道路内侧转弯半径不小于3.5m;当转弯角度大于90°或道路两侧有较高的连续障碍物(如花池、挡土墙等)时,应适当加大道路宽度或道路外侧转弯半径,以保证车辆行驶的舒适度和安全性。
兼做消防道路的场地道路最小转弯半径,应满足当地消防车转弯半径的要求。消防车道转弯半径与消防车的尺寸有关,消防车辆一般分为轻、中和重三种系列,车辆最小转弯轨迹半径分别为7m 、8.5m和12m,弯道外侧需保留一定的空间,以保证消防车紧急通行,其控制范围为弯道处外侧宽度。通过计算,其转弯最外侧控制半径分别为8.5m 、11.5m和14.5m。由于场地内道路转弯半径通常较小,小型车道内侧转弯半径最小可做到3.5m,此时,可采用下图10示意做法,控制范围内部不允许修建任何地面构筑物,不应布置重要管线、种植灌木和乔木,道路缘石高度应不大于12cm。
3.2.7道路转弯时,应保证良好的通视条件,弯道内侧的边坡、绿化及建(构)筑物等均不应影响行车视距。
▲ 收起条文说明
3.2.7 为了保证场地内行车安全,驾驶员行车时必须看清行驶前方一定距离的物体,以便有充分的时间和距离,采取适当的措施,防止事故发生。这段安全距离称为行车视距。道路弯道内侧不恰当的边坡、绿化及建(构)筑物往往成为遮挡视线的障碍物,从而妨碍行车视距。
3.2.8地下车库排风口宜设于下风向,并应做消声处理。排风口不应朝向邻近建筑的可开启外窗;当排风口与人员活动场所的距离小于10m时,朝向人员活动场所的排风口底部距人员活动地坪的高度不应小于2.5m。
▲ 收起条文说明
3.2.8 人员活动场所是指有人员经常停留或经过的室外场所。由于地下机动车库的排风对周围环境有影响,故需妥善选择排风口的位置、朝向及高度,防止或减少排风对人员的影响,尤其应避免排风口排出的风直接吹人的情况。提高排风口底部高度可以解决风口吹人的问题,但排风口较高时,竖井的外观不易处理,对室外景观设计不利。如果排风口不是朝向人员活动场所,或周围为绿地等非人员活动场所,不会出现上述问题,此时如果要求排风口底部的高度就变得没有意义了。但必须特别注意,排风口底部高度较低时,一定要采取适当的建筑防、排水措施,防止地面水从排风口倒灌进入建筑。
3.2.9允许车辆通行的道路、广场,应满足车辆行驶和停放的要求,且面层应平整、防滑、耐磨。
▲ 收起条文说明
3.2.9 有机动车通行的道路和广场,其结构强度和面层厚度应根据车辆的荷载确定。
3.2.10车库总平面内的道路、广场应有良好的排水系统,道路纵坡坡度不应小于0.2%,广场坡度不应小于0.3%。
▲ 收起条文说明
3.2.10 原规范规定道路、广场地坪坡度不应小于0.5% ,实际项目中一般0.2%可以满足排水要求。本规范将道路最小纵坡度规定为0.2%,将广场最小坡度规定为0.3%,与国家现行标准《民用建筑设计通则》GB 50352和《城市用地竖向规划规范》CJJ 83可取得一致。关于场地竖向设计的其他设计要求,原规范未作规定,设计应遵照国家现行标准《民用建筑设计通则》GB 50352和《城市用地竖向规划规范》CJJ 83的相关规定,本规范不再重复规定。
3.2.11车库总平面内的道路纵坡坡度应符合现行国家标准《民用建筑设计通则》GB 50352的最大限值的规定。当机动车道路纵坡相对坡度大于8%时,应设缓坡段与城市道路连接。对于机动车与非机动车混行的道路,其纵坡的坡度应满足非机动车道路纵坡的最大限值要求。
▲ 收起条文说明
3.2.11 车库内的坡道当坡度达到10%时,需在坡道两端作缓坡处理。室外场地内机动车速较车库内车速快,且车型更多,因此,场地内坡度较大时更需要考虑坡道两端的缓坡处理措施,以防止车底擦地。现行国家标准《城市居住区规划设计规范》GB 50180也规定了当居住区内道路与城市道路相接时,当坡度较大时应设缓坡段与城市道路相接。
8%的坡道坡度限值规定是考虑场地内尺度较车库内大,且车速更快等原因,故坡度较车库内限值适当降低、坡长适当加大较为合理,缓坡长度可采用4m。
3.2.12车库总平面场地内,车辆能够到达的区域应有照明设施。
▲ 收起条文说明
3.2.12 车库场地内应有良好照明设施,以方便运行管理,保证交通安全。良好的照明条件也是满足安全防卫(防抢劫、防盗等)的需要。
3.2.13车库总平面内宜设置电动车辆的充电设施。
▲ 收起条文说明
3.2.13 随着低碳经济成为我国经济发展的主旋律,电动汽车作为战略性新兴产业,必将成为今后中国汽车工业发展的重点,然而充电问题则是制约电动汽车业发展的主要环节之一。解决充电问题是一项系统工程,并非一朝一夕能实现的,在此,仅概念性地提出场地内宜考虑设置充电桩等辅助充电设施,以表达对这一新兴产业的倡导。
3.2.14车库总平面内应有交通标识引导系统和交通安全设施;对社会开放的机动车库场地内宜根据需要设置停车诱导系统、电子收费系统、广播系统等。
▲ 收起条文说明
3.2.14 场地内的标识系统应具有明显、便于识别的特点,完善的标识系统也是交通安全的有效保证。
4.1 一般规定
4.1.1 机动车库应根据停放车辆的设计车型外廓尺寸进行设计。机动车设计车型的外廓尺寸可按表4.1.1取值。
▲ 收起条文说明
4.1.1 本章内的机动车库不包括机械式机动车库。机动车的类型和外廓尺寸随机动车生产厂和型号而异,为了便于进行合理和科学的设计,本次修订共统计了机动车3875种,包括轿车、运动型多用途乘用车、多功能乘用车、交叉型乘用车、客车、载货车、越野车、自卸车、牵引车、专用车和半挂车。对上述车辆统计数字,进行归纳和分类,按《中国汽车工业年鉴》期刊社编制的《中国汽车车型手册》(2009年版)的车辆类型为依据,结合原汽车库建筑设计规范的分类方法,分成10种类型,如下:
1 微型车:包括微型客车、微型货车、微型轿车;
2 小型车:轿车、6400系列以下的轻型客车和1040系列以下的轻型货车;
3 轻型车:包括6500~6700系列的轻型客车和1040~1060系列的轻型货车;
4 中型车:6800系列中型客车、中型货车和长9000mm以下的重型货车;
5 大型客车:包括6900系列的中型客车、大型客车;
6 大型货车:长9000mm以上的重型载货车,大型货车;
7 自卸车;
8 半挂车;
9 牵引车;
10 专用车。
其中以微型车、小型车、轻型车、中型车、大型客车和大型货车六类最为常用,以它们的统计数据作为机动车库设计车型的外廓尺寸。自卸车、半挂车、牵引车及专用车车库可按实际存放车型的外廓尺寸进行设计。由于原行业标准《汽车库建筑设计规范》JGJ 100-98中所列的铰链客车与铰链货车未被《中国汽车车型手册》2009版列入,所以本次规范修编将其删除,设计时根据车辆具体数据进行计算。
编制组根据《中国汽车车型手册》2009年版的最新车型尺寸数据进行了相关的车型尺寸统计工作,依据上述车型的分类标准与车型尺寸的变化,调整了部分车型的外廓尺寸。其中微型车的总长由原先的3.5m调整为3.8m;轻型车总宽由2.1m调整为2.25m ,总高度由2.6m调整为2.75m;大型客车总高度由3.2m调整为3.5m;大型货车总长由10m调整为11.50m 。
本次调整不是按车型最大尺寸来取值,而是按照不同车型中满足绝大多数车辆停车的车型尺寸来取值,在兼顾停车位尺寸设计经济性的同时,使得一般公共车库中停车位尺寸均能保证绝大多数基本车型的停车要求。在需求明确与标准较高的设计项目中,建筑师应根据设计项目的具体情况调整具体车型外廓尺寸,以满足不同业主的需求。

4.1.2 机动车库应以小型车为计算当量进行停车当量的换算,各类车辆的换算当量系数应符合表4.1.2 的规定。
▲ 收起条文说明
4.1.2 车位计算换算当量系数的规定是为了更好地界定车库的规模,换算系数参考了上海市工程建设规范《建筑工程交通设计及停车库(场)设置标准》等资料。

4.1.3 机动车最小转弯半径应符合表4.1.3 的规定。
▲ 收起条文说明
4.1.3 机动车最小转弯半径从已知的生产厂家技术统计数字中取合理的偏大值,以小型车为例,大众宝来1.6AT豪华型为5.3m,奥迪A4L2.0TFSI AT运动型为5.85m,奥迪A5 Sportback2.0T quattro为5.75m,奔驰C300时尚型为5.4m,奔驰E300L CGI优雅型为5.63m,现代伊兰特1.6自动舒适型为5.1m,现代途胜2.0四驱手动尊贵型为5.4m,故规定小型车最小转弯半径取6m。轻型车以下数值差大,故取一个范围,如铰接客货车最小转弯半径可按10.50m~12.50m设计。同时设计师可根据实际情况与具体车型的技术数据通过计算取得不同车型的最小转弯半径。参见表1和表2。
注:以上数据根据以下资料统计:
1.王望予《汽车设计》北京,机械工业出版社,2004.
2.张立新、李强《汽车使用维护调整数据手册》北京,人民交通出版社, 1998.
3.汽车制造厂内部参考数据。


4.1.4 机动车的环形车道最小外半径(R0)和内半径(r0)的尺寸应按下列公式计算(图4.1.4):
▲ 收起条文说明
4.1.4 机动车库内机动车环形车道的最小尺寸应按照不同车型的技术参数计算确定。环行通车道的计算以此公式比较合理,故推荐采用。原规范图4.1.10机动车环道平面中环道内半径标注为“ri”有误,应更正为“r0”。

式中:a—机动车长度
b—机动车宽度;
d—前悬尺寸;
e—后悬尺寸;
L—轴距;
m—后轮距;
n—前轮距;
r1—机动车最小转弯半径(按本规范表4.1.3取值);
R0—环形车道外半径;
r0—环形车道内半径;
v R—机动车环行外半径;
r—机动车环行内半径;
W—环形车道最小净宽(按本规范表4.2.10-1取值);
v χ—机动车环行时最外点至环道外边安全距离,宜大于或等于250mm,当两侧为连续障碍物时宜大于或等于500mm;
y—机动车环行时最内点至环道内边安全距离,宜大于或等于250mm ,当两侧为连续障碍物时宜大于或等于500mm 。
4.1.5 机动车之间以及机动车与墙、柱、护栏之间的最小净距应符合表4.1.5 的规定。
▲ 收起条文说明
4.1.5 机动车与机动车、墙、柱、扶栏之间的净距是按三种停车方式均满足一次出车和防火要求确定的。当平行停车时将机动车间纵向间距定为1200mm和2400mm,是为了满足一次出车要求。机动车间横向间距主要考虑到驾驶员开门进出的需求,实测国产小型轿车600mm时可以进入,500mm就感紧张,所以定600mm、800mm和1000mm,与防火规范不一致但不会发生矛盾。前者是以平时使用的舒适性为出发点,而后者是从防火角度上的最小值,其他尺寸都是行车安全要求的最小尺寸。

注:1 纵向指机动车长度方向、横向指机动车宽度方向;
2 净距指最近距离,当墙、柱外有突出物时,从其凸出部分外缘算起。
4.1.6 按管理方式,机动车库宜设置值班室、管理办公室、控制室、休息室、储藏室、卫生间等辅助用房。控制室可独立设置或与其他管理用房合用,且宜设于机动车库中心或出入口附近。
▲ 收起条文说明
4.1.6 参考有关资料,辅助面积宜控制在总面积的10%以下,作为管理和辅助用房应该是可以满足使用要求的。由于目前车库管理方式很多,所以本规范仅提出应该设置的房间,不提出具体面积指标。至于附设住宿和餐饮等用房可按有关规范规定。当机动车库内设置智能化系统时,需设置相应的控制室。
4.1.7 对于出入口及坡道与停车区域,每层交通流线应周转畅通,且应形成上行、下行连续不断的通路,并应防止上、下行车辆交叉。
▲ 收起条文说明
4.1.7 车库的设计必须保证车辆进出的便捷,特别是直坡道式、错层式及斜楼板式车库,都以各层楼面通车道兼作回转的通道,因此必须连续畅通无阻。
4.1.8 当机动车库采取天然采光时,天然采光系数不宜小于0.5%或其窗地面积比宜大于1:15,且车库及坡道应设有防眩光设施。
▲ 收起条文说明
4.1.8 机动车停车库和坡道墙上如开窗,会产生眩光影响司机的视觉。同样人工采光应采用漫射光照明,否则亦会影响司机视觉。
4.1.9 四层及以上的多层机动车库或地下三层及以下机动车库应设置乘客电梯,电梯的服务半径不宜大于60m。
▲ 收起条文说明
4.1.9 本条为原规范规定,经调研使用情况较好。本次修编不做修改,但进一步明确了地上四层及以上(含四层)及地下三层及以下(含地下三层)应设置电梯。考虑到增加舒适度要求,规定电梯60m的服务半径是参照卫生建设标准和消防规范规定服务半径。
4.1.10 机动车库内的标志和标线应符合下列规定:
1 应在每层出入口的显著部位设置标明楼层和行驶方向的标志;
2 应在楼地面上用彩色线条标明行驶方向、用10cm~15cm宽线条标明停车位;
3 在各层柱间及通车道尽端,应设置停车区位的标志。
▲ 收起条文说明
4.1.10 为了行车安全和便于管理,应设必要的行车标志和指示灯及划定每车位的位置和对停车位编号,并且建议在大型停车场设置明显标识。
4.1.11 设有道闸的机动车库,道闸应设置在车库出入口附近的平坡段上,并应留出方便驾驶员操作的空间。
▲ 收起条文说明
4.1.11 以往对车库内道闸的位置设计未作出规定,因而在设计中被忽略,造成实际使用时由于位置不当和操作不便而造成的交通阻滞。
4.2 出入口及坡道
4.2.1 按出入方式,机动车库出入口可分为平入式、坡道式、升降梯式三种类型。
▲ 收起条文说明
4.2.1 目前机动车出入库有多种类型,本节以入库方式为划分标准。平入式是本规范新增的一种类型,主要指机动车由室外场地直接进入停车空间的一种形式。
4.2.2 车辆出入口的最小间距不应小于15m,并宜与基地内部道路相接通,当直接通向城市道路时,应符合本规范第3.1.6 条的规定。
4.2.3 机动车库出入口应按现行国家标准《民用建筑设计通则》GB 50352的有关规定设缓冲段与基地道路连通。
4.2.4 车辆出入口宽度,双向行驶时不应小于7m,单向行驶时不应小于4m 。
▲ 收起条文说明
4.2.4 为保证出入口的畅通和安全,结合出入口坡道的最小宽度要求,及车辆出入口与外部场地及道路关系,将出入口单向行驶与双向行驶分别规定为4m和7m。
4.2.5 车辆出入口及坡道的最小净高应符合表4.2.5 的规定。
▲ 收起条文说明
4.2.5 净高除车高外还应考虑行车的安全高度、行人和设备及管道的空间。表中值是未考虑设备和管道空间的最小值。本次根据车型尺寸的修改而修改了部分车高。
4.2.6 机动车库出入口和车道数量应符合表4.2.6 的规定,且当车道数量大于等于5且停车当量大于3000辆时,机动车出入口数量应经过交通模拟计算确定。
▲ 收起条文说明
4.2.6 原规范“3.2.4大中型汽车库的库址,车辆出入口不应少于2个;特大型汽车库库址,车辆出入口不应少于3个,并应设置人流专用出入口”。原条文中对于出入口的数量的定义是针对基地还是机动车库表述不够明确清楚,容易引起歧义。同时由于机动车的出入口数量与车道数量存在多种组合形式,应分开表述规定,以利于规范的正确执行,因此增加表4.2.6并对出入口数量与车道关系作了明确的解释。机动车库车道出、入方向应根据建筑的具体使用性质均衡设置,方便车库的使用与管理。
机动车库的车辆出入口和车道数量与车库规模、高峰小时车流量和车辆进出的等候时间相关。调查结果显示,高峰小时车流量与建筑类别相关,如交通类建筑高峰小时车流量最大,居住类建筑最小。表中数据是选取交通类建筑,拟定等候车辆小于(或等于)3辆时,运用排队理论建模计算所得,并根据相关实际工程实践经验确定。当车道数量大于等于5时,机动车出
入口数量可采用交通模拟软件计算确定,如Vissim、S-Paramics、TransModeler等专用软件。 车库出入口及车道数量按车库的机动车总数量选取。如为多层车库,其每层车库的出入口及车道数量按其所承受的机动车数量累计计算,应参照此表执行。居住建筑与非居住建筑共用车库时,按非居住类建筑设置出入口。
例如:坡道式地下车库,停车当量为501~1000,机动车出入口≥2。非居住类建筑出入口车道数量≥4,即非居住类建筑可设2个双车道出入口,也可设1个三车道出入口及1个单车道出入口;居住类建筑出入口车道数量≥2 ,即居住类建筑可设一进、一出共2个机动车单坡道出入口。

4.2.7 对于停车当量小于25辆的小型车库,出入口可设一个单车道,并应采取进出车辆的避让措施。
4.2.8 机动车库的人员出入口与车辆出入口应分开设置,机动车升降梯不得替代乘客电梯作为人员出入口,并应设置标识。
▲ 收起条文说明
4.2.8 本条为强制性条文。为保证人员和机动车交通安全,机动车库的人员出入口与车辆出入口应分开独立设置,此规定同《汽车库、修车库、停车场设计防火规范》GB 50067要求一致。
采用升降梯作为车辆出入口的机动车库,当需要设置乘客电梯时,必须单独设置乘客电梯。机动车升降梯作为车辆出入口,一旦被兼作人员出入口,将存在很大的安全隐患。因此,为避免造成交通事故,保障使用安全,机动车升降梯应与人员使用的电梯分别设置。设置禁止人员单独进入警示牌等标识,提醒人员升降梯不作为乘客电梯,可降低因人员误入带来的安全隐患。机动车内的驾驶员和乘客可以随车进入升降梯。
4.2.9 平入式出入口应符合下列规定:
1 平入式出入口室内外地坪高差不应小于150mm,且不宜大于300mm;
2 出入口室外坡道起坡点与相连的室外车行道路的最小距离不宜小于5.0m;
3 出入口的上部宜设有防雨设施;
4 出入口处宜设置遥控启闭的大门。
▲ 收起条文说明
4.2.9 平入式机动车库是较为常见的机动车库类型,是坡道式机动车库的特殊形式,但又有其自身的特点。平入式机动车库为不需要通过坡道或升降设备进入的机动车库,如单层车库、多层(高层)建筑中首层设置的机动车库,都由地面层直接进入车库。原规范对此没有明确的规定,但使用非常普遍,故本次修编中在坡道式机动车库一节的基础上,针对地面平入式车库设计中的一些问题加以规定。
1 室内外地坪的高差应不小于150mm为了防止雨水倒灌。如大于300mm,按机动车行车坡度15%计算,室内外需要设置大于2m长的坡道,不利于节约土地。故对于直接平入式机动车库,室内外高差建议小于300mm。
2 主要考虑与室外道路留有一个车长的距离,以保证安全。
3 一般平入式出入口车库大门都独立设置,考虑使用上的舒适性要求。
4.2.10 坡道式出入口应符合下列规定:
1 出入口可采用直线坡道、曲线坡道和直线与曲线组合坡道,其中直线坡道可选用内直坡道式、外直坡道。
2 出入口可采用单车道或双车道,坡道最小净宽应符合表4.2.10-1 的规定。

3 坡道的最大纵向坡度应符合表4.2.10-2 的规定。

4 当坡道纵向坡度大于10%时,坡道上、下端均应设缓坡坡段,其直线缓坡段的水平长度不应小于3.6m,缓坡坡度应为坡道坡度的1/2 ;曲线缓坡段的水平长度不应小于2.4m,曲率半径不应小于20m,缓坡段的中心为坡道原起点或止点(图4.2.10);大型车的坡道应根据车型确定缓坡的坡度和长度。

5 微型车和小型车的坡道转弯处的最小环形车道内半径(r0)不宜小于表4.2.10-3 的规定;其他车型的坡道转弯处的最小环形车道内半径应按本规范式(4.1.4-1)~式(4.1.4-5)计算确定。

6 环形坡道处弯道超高宜为2%~6%。
▲ 收起条文说明
4.2.10 机动车停车库有单层、多层、高层和地上、地下之分。单层车库相对来讲比较简单,多层车库因坡道设置方式不一,变化较多。
1 总结国内外已有的成熟设计,出入口按坡道形式可分成直线坡道式、曲线坡道式(螺旋坡道式为其特殊形式)和组合式,各有优缺点,适用于不同场合,故可根据基地形状和尺寸及停车要求和特点,由设计人员选用。其部分定义和简图如下:图11为直坡道式中外直坡道机动车库出入口和内直坡道式机动车库出入口(Exit/Entrance of ramp garage )。
螺旋坡道式机动车库(Helical-ramp garage)机动车在停车楼层之间,沿着一条连续的螺旋车道行驶,为螺旋坡道机动车库。图12为螺旋坡道式机动车库的一种。
双行螺旋坡道机动车库(Two way helical-ramp garage)上、下楼层螺旋坡道设于同一双行线螺旋坡道内的螺旋坡道机动车库。
跳层螺旋坡道式机动车库(Concentric-Spiral garage)上、下楼层螺旋坡道重叠错开设置,为同一圆心,亦称同心圆螺旋坡道式机动车库。
图13为双行螺旋坡道和跳层螺旋坡道式机动车库的螺旋坡道,大多是圆形,亦可以是其他形状。
2 表4.2.10-1中坡道上通车道最小净宽,美国资料较大,单车道3.6m,双车道6.7m,环形坡道单车道为3.82m,双车道7.86m(内含0.6m中间道牙),而苏联最小,为2.5m、5.0m和3.5m、7.45m,按我国国情、结合中国车型取两者之间值,接近日本值。
3 最大坡度首先取决于安全和驾驶员的心理影响,其次是机动车爬坡能力和刹车能力,所以一般不宜在15%(1:6.7)以上。但如果机动车库内由专职司机进出车辆,则轻型车、小型车最大直线坡度可达20% 。
4 为了防止机动车上、下坡时机动车头、尾和车底擦地,可根据机动车设定的前进角、退出角和坡道转折角的角度等进行计算。当坡道坡度超过10%时应设缓坡。大型车轴距和底盘高度情况较为复杂,坡度为10%时,如不设缓坡仍可能发生车头、车尾或底盘与地面的碰擦,所以需要根据车型确定缓坡的坡度和长度。
5 坡道转弯处的最小环形车道内半径(r0)应满足表4.2.10-3的要求,其内径根据微、小型车的最小转弯半径、轴距、轮距等技术数据,经计算与实际调研、经验论证而得。
从理论计算与研究结果看出,仅控制坡道最小环形车道内半径(r0)并无意义。以单车道曲线坡道为例,机动车能够顺利在坡道上连续转弯而不剐蹭周边构筑物实际上和坡道宽度及坡道的最小环形车道外半径(R0)有关。但在实际工程项目上,如双车道、三车道并行的情况下,最小环形车道外半径的概念容易产生误解(实为曲率最大、最内侧车道的最小环形车道外半径)。而且从长期以来设计与绘图习惯上,设计人员往往都以确定最小环形车道内半径(r0)为依据,再根据车道宽度进行绘图与设计。因此,本次修编中在理论计算与实际调研与工程经验的基础上,给出坡道最小环形车道转弯内半径(r0)的规范数值,以利于设计人员设计。
计算研究表明,当适当加宽坡道车道宽度时,可有效减小环形车道转弯半径,可缩小车道占地尺寸。以奥迪A6为例,当设计条件为曲线单车道,车道宽度3.8m,坡道转弯角度大于等于180度时,计算结果为最小环形车道外半径(R0)为9190mm,最小环形车道内半径(r0)为5390mm,(满足规范6000mm要求);当车道宽度设计为4.15m时,最小环形车道外半径(R0)可为7144mm,最小环形车道内半径(r0)为2994mm,可以看出,当车道宽度增加0.35m时,最小环形车道外半径(R0)可以减少2046mm。
上海标准提出过最小环形车道转弯内半径3m的要求,经实地调研发现有部分3m内径的车库当其坡道宽度未放大时,较易发生擦碰事件。
6 机动车环行时会产生离心力,因此将环道内倾构成横向坡度,即弯道超高,用机动车重力的水平分力来平衡离心力,一般情况下最急转弯处每米坡道宽度抬高40mm,接近楼层处略少一些。因此,除纵向坡度应符合表4.2.10-2 规定外,还应于坡道横向设置超高,超高可按下式计算。
式中:V—设计车速(km/h);
R—环道平曲线半径(取到坡道中心线半径);
μ—横向力系数,宜为0.1~0.15;
ic—超高即横向坡度,宜为2%~6%。
4.2.11 升降梯式出入口应符合下列规定:
1 当小型机动车库设置机动车坡道有困难时,可采用升降梯作为机动车库出入口,升降梯可采用汽车专用升降机等提升设备,且升降梯的数量不应少于两台,停车当量少于25辆的可设一台;
2 机动车出口和入口宜分开设置;
3 升降梯宜采用通过式双向门,当只能为单侧门时,应在进(出)口处设置车辆等候空间;
4 升降梯出入口处应设有防雨设施,且升降梯底坑应设有机械排水系统;
5 机动车库应在每层出入口处的明显部位设置楼层和行驶方向的标志,并宜在驾驶员方便触及的部位,设置升降梯的操纵按钮;
6 当采用升降平台时,应在每层周边设置安全护栏和防坠落等措施;
7 升降梯出入口处应设限高和限载标志。
▲ 收起条文说明
4.2.11 升降梯机动车库有多层、高层和地上、地下之分。因汽车专用升降机的不同可分为液压式升降平台、液压式电梯和设有备用电源的电梯等类型,适用于不同场合与用途,故可根据机动车的外形尺寸、重量及停车要求和特点,并考虑使用的安全性,由设计人员选用不同的类别与型号。
1 本款针对坡道式机动车库设计中局部问题加以规定,对设置机动车坡道有困难时,停车数量控制在不大于50辆的小型机动车库,可采用升降梯作为机动车库出入口,同时与防火规范相协调。
3 升降梯式车库,由于机械提升设备一般速度较慢,出入车辆需要一定的等候时间,通过式双向门可保证机动车出入升降体时均为前进行车,从而降低了驾驶的难度,避免碰撞。设计上可结合车库的行车流线,合理组织交通,避免交叉。只能单侧设门时,需设置等候车位以确保出入通畅。
5 升降梯式出入口由于车型尺寸各异,为节省进出库的时间要求车内驾驶员不下车就可操纵电梯。在驾驶室内可触及的部位设置控制升降梯的操纵按钮,以帮助驾驶员快速完成对升降梯的操控。
6 升降梯平台是相对简易的机动车升降梯,其四周一般不设围护结构,设置护栏和防坠落措施是十分必要的安全措施。
4.3 停车区域
4.3.1 停车区域应由停车位和通车道组成。
▲ 收起条文说明
4.3.1 本次规范将车库分为出入口和停车区域两部分,停车区域又分停车位和通车道两部分。
4.3.2 停车区域的停车方式应排列紧凑、通道短捷、出入迅速、保证安全和与柱网相协调,并应满足一次进出停车位要求。
4.3.3 停车方式可采用平行式、斜列式(倾角30°、45°、60°)和垂直式(图4.3.3),或混合式。
▲ 收起条文说明
4.3.3 斜列式可以按具体情况选择角度,30°、45°、60°既是常用的又具有代表性,各种停车方式在设计时都要注意车位与柱子的间距。除了正文中规定的停车方式,对于斜列式可有如图14的停放方式,可根据具体情况采取优化的停车方式。本次修改了部分原规范示意图。


注:Wu为停车带宽度;We1为停车位毗邻墙体或连续分隔物时,垂直于通(停)车道的停车位尺寸;We2 为停车位毗邻时,垂直于通(停)车道的停车位尺寸;Wd 为通车道宽度;Lt为平行于通车道的停车位尺寸;Qt为机动车倾斜角
4.3.4 机动车最小停车位、通(停)车道宽度可通过计算或作图法求得,且库内通车道宽度应大于或等于3.0m。小型车的最小停车位、通(停)车道宽度宜符合表4.3.4 的规定。
▲ 收起条文说明
4.3.4 原规范通车道宽度由公式计算确定。由于计算繁琐设计人员很少使用,一般从表4.3.4 中直接选用。同时由于现实情况中,在通用车库中,轻型车、中型车、大型客车、大型货车很少采用斜列式停车方式,因此本规范正文取消原4.1.5条,修正并简化原表4.1.5 中相关数据,而直接给出小型车最小停车位、通(停)车道宽度。由于停车位置的不同,垂直通(停)车道方向最小停车位宽度也不尽相同,应分为We1和We2两个数值。对于其他车型如有特殊需要,可按下列式计算。
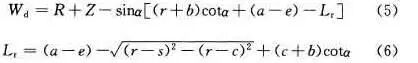
1 前进停车、后退开出停车方式(见图15):
式中:Wd—通车道宽度;
S—出入口处与邻车的安全距离可取300mm;
Z—行驶车与车或墙的安全距离可取500~1000mm;
Lr—机动车回转入位后轮回转中心的偏移距离;
Re—机动车回转中心至机动车后外角的水平距离;
c—车与车的距离;
r—机动车环行内半径;
a—机动车长度;
b—机动车宽度;
e—机动车后悬尺寸;
R—机动车环行外半径;
α—机动车停车角。
2 退停车、前进开出停车方式(图16):
条文中表4.3.4根据列出的计算公式,在小型车中选用比较典型的机动车的有关参数进行计算而得。当计算出的通车道宽小于机动车宽度加两侧的安全距离(500mm~1000mm)时,取后者,且不小于3.0m。
表3中为根据规范条文、计算公式等算出的最小每停车位的面积,每辆车的停车面积按通道两侧均停车计算,但未计算坡道等建筑面积。
注:此面积只包括停车和紧邻车位的面积,不是每停车位所需的车库建筑面积。小型车机动车库的所需建筑面积,国内外实例中已有比较接近的指标,大 约每车位从27m2至35m2(包括坡道面积),结合国情,控制每车位在33m2以下是完全可行的。

4.3.5 微型车和小型车的环形通车道最小内半径不得小于3.0m。
▲ 收起条文说明
4.3.5 根据计算验证并参照上海市工程建设规范《建筑工程交通设计及停车库(场)设置标准》,规定小型车停车区域回转场地应保证通道中环形车道最小转弯内半径不小于3.0m。
4.3.6 停车区域净高不应小于本规范第4.2.5 条规定的出入口及坡道处净高要求。
4.3.7 根据停车楼板的形式,停车区域可分为平楼板式、错层式和斜楼板式。错层式可分为二段式错层和三段式错层;斜楼板式可分为直坡形斜楼板式和螺旋形斜楼板式。
▲ 收起条文说明
4.3.7 目前机动车停车区域有多种类型,本节以停车区域为划分标准。多层车库因设置方式不一,变化较多。总结国内外已有的成熟设计,按停车区域可分成平楼板式、错层式和斜楼板式,变异组合多种,各有优缺点,适用于不同场合,故可根据基地形状和尺寸及停车要求和特点,由设计人员选用。其部分定义和简图如下:
错层式停车区域(Staggered-floor parking area)将各停车层楼板标高垂直错开半层,形成两部分停车区域,它又可分两段式和三段式。图17为错层式停车区域,(a)为两段式,(b)为三段式。
斜楼板式停车区域(Sloping-floor parking area)为各停车层楼面倾斜,并兼作楼层间行驶坡道的停车区域。图18为斜楼板式停车区域的一种。
4.3.8 错层式停车区域应符合下列规定:
1 两直坡道之间的水平距离应使车辆在停车层作180°转向,两段坡道中心线之间的距离不应小于14.0m;
2 三段错层式停车区域的通车道应限定车辆行驶路线;
3 错层式停车区域内楼面空间可以叠交,叠交水平尺寸不应大于1.5m。
▲ 收起条文说明
4.3.8 错层式停车区域由于楼板位置较为复杂,应符合相应规定。
1 两坡道间中心距不小于13.7m,取14m,为的是机动车在楼层上作180°转向。这里指的是小型车,中型、大型车还需按车型加大。
2 三段错层式停车区域,因中段与左右均有坡道,通车道较多,行车易于出错,故应严加限制,除设行车标志外还需采取具体措施。
3 为了节省有效建筑空间,允许楼面叠交,因小轿车头、尾要求空间高度较小,故可采用,但不宜超过1.5m,如停方形面包车则不适用。
4.3.9 斜楼板式停车区域的楼板坡度、停车位应符合下列规定:
1 楼板坡度不应大于5%;
2 当停车位采用斜列式停车时,其停车位的长向中线与斜楼板的纵向中线之间的夹角不应小于60°。
▲ 收起条文说明
4.3.9 斜楼板停车区域应符合相应规定。
1 斜楼板既可以是直坡道式亦可以是螺旋坡道式,国内已有后者实例。当楼板坡道大于5%时不宜停车。
2 由于楼地面已为斜坡,为了防止停车后车滑行,应使停车位与通车道成60°或60°以上的夹角。
4.3.10 对于斜楼板式停车区域,必要时可设转向的中间通车道,为防止行车高峰堵车,可增设螺旋坡道。
▲ 收起条文说明
4.3.10 斜楼板式停车区域由于楼面兼作坡道,所以比较经济,但在库内进出车行驶距离较长。当为特大、大型车库时往往设转向中间通车道,当行车高峰有堵车现象时则可设螺旋式坡道,供快速出口用。
4.3.11 当机动车停车库内设有修理车位时,应集中布置,且应符合现行国家标准《汽车库、修车库、停车场设计防火规范》GB 50067的规定。
4.4 构造措施
4.4.1 对于有防雨要求的出入口和坡道处,应设置不小于出入口和坡道宽度的截水沟和耐轮压沟盖板以及闭合的挡水槛。出入口地面的坡道外端应设置防水反坡。
▲ 收起条文说明
4.4.1 车库出入口和坡道处应充分考虑多种构造措施,防止雨水倒灌。
4.4.2 通往地下的坡道低端宜设置截水沟;当地下坡道的敞开段无遮雨设施时,在坡道敞开段的较低处应增设截水沟。
4.4.3 机动车库的楼地面应采用强度高、具有耐磨防滑性能的不燃材料,并应在各楼层设置地漏或排水沟等排水设施。地漏(或集水坑)的中距不宜大于40m。敞开式车库和有排水要求的停车区域应设不小于0.5%的排水坡度和相应的排水系统。
▲ 收起条文说明
4.4.3 机动车库内楼地面应经久耐用和易于清洗,因此对楼地面面层材料有所要求,并应做排水设计。考虑到1%的坡度在机动车库内实施有一定难度,并且机动车库在实际使用中地面有水的情况非经常出现,故一般车库不作排水坡度的硬性规定。但在敞开式车库、洗车区域等有排水要求的情况下,停车区域应满足排水坡度的规定。
4.4.4 机动车库内通车道和坡道的楼地面宜采取限制车速的措施。
▲ 收起条文说明
4.4.4 为确保行车安全,控制车速,对库内车辆行驶提出了限制车速的要求。
4.4.5 机动车库内通车道和坡道面层应采取防滑措施,并宜在柱子、墙阳角凸出结构等部位采取防撞措施。
▲ 收起条文说明
4.4.5 为了使机动车在通车道安全行驶,并防止机动车在坡道上滑坡,车库内通车道与坡道面层应有防滑措施,柱子、扶栏等必要时应有防撞措施,以免影响行车安全和结构安全。由于方法较多,不作更具体的规定。为了行车安全和便于管理,设必要的行车标志。
4.4.6 机动车库内停车位应设车轮挡,车轮挡宜设于距停车位端线为机动车前悬或后悬的尺寸减0.2m处,其高度宜为0.15m,且车轮挡不得阻碍楼地面排水。
▲ 收起条文说明
4.4.6 为了在停车位内安全停车,宜设车轮挡,其位置与机动车前悬或后悬的尺寸有关,可取较典型存放机动车的上述尺寸。如果车轮挡在每一个车位内通长时会阻碍地面排水,故应断开或下部漏空。
4.4.7 通往地下的机动车坡道应设置防雨和防止雨水倒灌至地下车库的设施。敞开式车库及有排水要求的停车区域楼地面应采取防水措施。
4.4.8 通往车库的出入口和坡道的上方应有防坠落物设施。
4.4.9 严寒和寒冷地区机动车库室外坡道应采取防雪和防滑措施。
▲ 收起条文说明
4.4.9 原规范规定严寒地区不应采用库外直坡道,现随着建筑技术的发展条件可做地埋融雪融冰措施等,故改为采用防雪和防滑措施。
4.4.10 当机动车库坡道横向内(或外)侧无实体墙体时,应在无实体墙处设护栏和道牙。道牙宽度不应小于0.30m,高度不应小于0.15m。
▲ 收起条文说明
4.4.10 为了行车安全和驾驶员的心态平衡,坡道两侧如无墙体应设护栏,护栏高度除保证行车安全外,还应遮挡驾驶者对车库外四周建筑物的视线,护栏高度一般不应低于1.2m。
5.1 一般规定
5.1.1 机械式机动车库分为全自动机动车库与复式机动车库。机械式机动车库的设计应符合现行行业标准《机械式停车库工程技术规范》JGJ/T 326的规定。
▲ 收起条文说明
5.1.1 全自动机动车库与复式机动车库都属于机械式机动车库。机械式机动车库是近年来新发展起来的一种利用机械设备提高单位面积停车数量的停车形式,主要分为两大类:一类是室内无车道且无人员停留的全自动机动车库,类似高架仓库,根据机械设备运转方式又可分为:垂直循环式(汽车上、下移动)、电梯提升式(汽车上、下、左、右移动)、高架仓储式(汽车上、下、左、右、前、后移动)等;另一类是室内有车道且有人员停留的复式机动车库,机械设备只是类似于普通仓库的货架,根据机械设备的不同又可分为二层杠杆式、三层升降式、二/三层升降横移式等。
5.1.2 机械式机动车库应根据总体布局需要,结合机械停车设备的技术要求与合理的柱网关系进行设计。
▲ 收起条文说明
5.1.2 机械式机动车库的形式较多,应根据建筑总布局和各种机械停车设备的运行特点及现行的有关规范进行设计。由于机械停车设备对建筑等有一定要求,如建筑空间的大小、荷载大小、如何连接、荷载的作用位置、留沟、埋管等等,而这些条件都要从机械设备的供应单位那里取得,是建筑设计的主要依据。当需要更改这些条件时,设计人员应与机械设备的供应单位进行充分的协商,不应自行更改。
5.1.3 机械式机动车库停放车辆的外廓尺寸及重量可按表5.1.3 规定采用。
▲ 收起条文说明
5.1.3 规范表5.1.3属于机械车库行业标准.组别代号引自《机械式停车设备分类》GB/T 26559中对于机械停车库中所涉及车辆类型的行业分类,与本规范表4.1.1中对于机动车型的轮廓尺寸与分类有所不同,属行业分类标准。

5.1.4 停车设备的出入口、操作室、检修场所等明显可见处应设置安全标志。并应符合现行国家标准《安全标志及其使用导则》GB 2894的要求。
▲ 收起条文说明
5.1.4 按现行国家标准《安全标志及其使用导则》GB 2894的规定,应设置相应的安全标志。
5.1.5 全自动机动车库的设备操作位置应能看到人员和车辆的进出,当不能满足要求时,应设置反射镜、监控器等设施。
▲ 收起条文说明
5.1.5 机械式机动车库一般都有保证安全运转的机电闭锁系统,尽管如此,为确保安全运转,操作人员在起动设备前,还必须确认车是否停好,人员是否已退出,故操作位置应设于使操作人员能观察到人及车的进出之处。如实在满足不了这一要求,应采取补救措施。
5.2 出入口
5.2.1 全自动机动车库出入口应符合下列规定:
1 出入口处应设置不少于2个的候车位,当出入口分开设置时,候车位不应少于1个;当机动车需要掉头而受场地限制时,可设置机动车回转盘;
2 出入口宽度应大于所存放的机动车设计车型宽加0.50m,且不应小于2.50m ,高度不应小于2.00m;
3 机械式立体机动车库的出入口可根据需要设置库门或栅栏等安全保护设施。
▲ 收起条文说明
5.2.1 机械式机动车库出入口不同于一般类型机动车库,对于候车位、出入口宽度、高度及相应的安全保护设施有特殊要求,应遵照执行。
5.2.2 复式机动车库的出入口及坡道应按本规范第4. 2节的相关规定执行。
5.3 停车区域
5.3.1 全自动机动车库的停车设备可采用平面移动类、巷道堆垛类、垂直升降类、垂直循环类、水平循环类和多层循环类;复式机动车库的停车设备可采用升降横移类和简易升降类。
▲ 收起条文说明
5.3.1 机械式停车设备已经发生较大的变化,本条所列类型为最新且实际应用的八种机械停车设备,与现行国家标准《机械式停车设备参数》GB/T 26559保持一致。八种主要机械式停车设备的运行方式参见表4。
各类停车设备单套存容量及单车最大进(出)时间可参考表5的规定。
5.3.2 机械式机动车库停车位的最小外廓尺寸应符合表5.3.2的规定。
▲ 收起条文说明
5.3.2 表5.3.2 为机械停车设备停车位的最小尺寸,与表5.1.3对应使用。对升降横移停车设备来讲一般用成套定型设备,参见表6:

5.3.3 复式机动车库停车区域的净高应根据各类停车设备的尺寸确定。升降横移类停车设备高度尺寸应符表5.3.3 的规定。

5.3.4 复式机动车库停车设备中升降横移类车库组合单元横向最小尺寸应按下式计算:
W0=N×W+200 (5.3.4)
式中:W0—组合单元横向最小尺寸(m);
N一平层车位数量
W一单车位设备装置尺寸宽度(m)。
▲ 收起条文说明
5.3.4 复式机动车库停车设备中升降横移类车库组合单元横向最小尺寸举例计算如下。
例:平面停3辆车,单车位装置宽度为2400mm时,设备安装最小尺寸为3×2400mm+200mm=7400mm
5.3.5复式机动车库停车设备组合单元车位数量应按下列公式计算
升降横移类:X=N×C-(C-1) (5.3.5-1)
简易升降类:X=N×C (5.3.5-2)
式中:X一组合单元车位数量;
N一平层车位数量;
C一组合单元停车层数。
▲ 收起条文说明
5.3.5 复式机动车库停车设备组合单元车位数量举例计算如下。
升降横移类: 例1:平面停3辆车,设备停车层数为2层时,组合单元车位数量为
3×2-(2-1)=5辆车
例2:平面停3辆车,设备停车层数为3层时,组合单元车位数量为
3×3-(3-1)=7辆车
升降横类计算公式不含底坑式数量。
简易升降类:
例:平面停1辆车,设备停车层数为2层时,组合单元车位数量为
1×2=2辆车
5.3.6 全自动机动车库中的停车设备可多套并联设置,其防火分区应符合现行国家标准《汽车库、修车库、停车场设计防火规范》GB 50067的规定。
▼ 展开条文说明
5.3.7复式机动车库的停车容量应符合本规范表1.0.4的规定,其防火分区应符合现行国家标准《汽车库、修车库、停车场设计防火规范》GB 50067 的规定。
5.3.8复式机动车库通车道的最小尺寸应根据车型倒车入库的需求计算,最小不得小于5.8m。
5.4 构造措施
5.4.1 附建式车库的机械式停车设备与建筑主体结构间应采取减震、隔声措施。
▲ 收起条文说明
5.4.1 机械式机动车库也分为独立式与附建式两种,附建式的支撑结构宜与主体建筑的结构分开,否则应采取减震、隔声措施。
5.4.2 在机械式停车设备所需运行空间范围内,不得设置或穿越与停车设备无关的管道、电缆等管线。
▲ 收起条文说明
5.4.2 与车库无关的管线如设于库内,对车库的安全十分不利,也给这些管线的安装和维修带来困难,因此在机械式停车设备中,不得设置与车库无关的管线;车库中如通道等区域,其他管线还是可以穿越的。
6.1 一般规定
6.1.1 非机动车设计车型的外廓尺寸可按表6.1.1 的规定取值。
▲ 收起条文说明
6.1.1 苏州市市区残疾人机动轮椅车管理办法:机动轮椅车分为电动轮椅车和轻便机动轮椅车。电动轮椅车是指以电动机驱动、最高设计车速不超过18km/h、车辆外廓尺寸长×宽×高不应大于1.6m×0.75m×1.15m的残疾人机动轮椅车。轻便机动轮椅车是指以汽油机驱动、汽油机名义排量小于等于50mL、车辆外廓尺寸长×宽×高不应大于2m×1m×1.2m、专门供下肢残疾人使用的代步车辆。
浙江省非机动车辆管理办法:燃油、电动驱动的残疾人专用车发动机排量不超过50mL,设计最高时速不超过20km/h,车长不超过2m,车宽不超过0.8m ,车高不超过1m(不包括车篷)。
6.1.2 非机动车及二轮摩托车应以自行车为计算当量进行停车当量的换算,且车辆换算的当量系数应符合表6.1.2 的规定。
▲ 收起条文说明
6.1.2 二轮摩托车不属于非机动车,其长、宽、高尺寸为2.00m、1.00m、1.20m,与非机动车规格尺寸相近,目前也普遍存在二轮摩托车停放在非机动车库的情况,所以本规范中规定二轮摩托车可停放在非机动车库里,但应采取相应的通风及安全措施。
6.1.3 非机动车库不宜设在地下二层及以下,当地下停车层地坪与室外地坪高差大于7m时,应设机械提升装置。
▲ 收起条文说明
6.1.3 非机动车在坡道上推行困难,需要限制推行长度和高度,所以规定不宜设在地下二层及以下,同时规定当地下停车层地坪与室外地坪高差大于7m时,应设电梯等机械提升设施。
6.1.4 机动轮椅车、三轮车宜停放在地面层,当条件限制需停放在其他楼层时,应设坡道式出入口或设置机械提升装置;其坡道式出入口的坡度应符合现行行业标准《城市道路工程设计规范》CJJ 37的规定。
▲ 收起条文说明
6.1.4 机动轮椅车、三轮车在坡道上推行和骑行均很困难,建议停放在地面层;当条件限制需停放在其他楼层时,参照现行行业标准《城市道路工程设计规范》CJJ 37规定,机动轮椅车坡道最大纵坡为8%,三轮车坡道最大纵坡为3%;或设电梯等机械提升设施。
6.2 出入口及坡道
6.2.1 非机动车库停车当量数量不大于500辆时,可设置一个直通室外的带坡道的车辆出入口;超过500辆时应设两个或以上出入口,且每增加500辆宜增设一个出入口。
▲ 收起条文说明
6.2.1 根据目前自行车停放的现状,一般分为露天停放、半露天停放(棚架或建筑架空层)和全封闭式停放(建筑内停放)三大类型,其中地下室停放为最不利情况。本规范根据建筑防火规范要求:地下室500m2为一个防火分区,设有自动灭火系统时可增加到1000m2。扣除建筑出入口,以及结构等所占面积外,可利用面积一般为80%左右。参照《城市道路交通规划设计规范》GB 50220-95第8.1.7条规定:自行车公共停车场用地面积,每个停车位宜为1.5m2~1.8m2,则1000m2可停放500辆左右,考虑到室内停车有墙、柱等不利因素,故本规范采用500辆为计算基数,与一般建筑地下室防火分区面积规定相吻合。
车辆出入口数量按车库的非机动车总数量选取。如为多层车库,其每层车库的车辆出入口数量按其所承受的非机动车数量累计计算。
6.2.2 非机动车库出入口宜与机动车库出入口分开设置,且出地面处的最小距离不应小于7.5m。当中型和小型非机动车库受条件限制,其出入口坡道需与机动车出入口设置在一起时,应设置安全分隔设施,且应在地面出入口外7.5m范围内设置不遮挡视线的安全隔离栏杆。
▲ 收起条文说明
6.2.2 考虑到各地的不同发展情况,中小型非机动车库有时与机动车库合用坡道,本规范规定,合用坡道应有实体墙或隔离栏杆等设施分隔以免发生危险,且出地面后应在1.5个车长(7.5m)范围内有分隔措施。
6.2.3 自行车和电动自行车车库出入口净宽不应小于1.80m,机动轮椅车和三轮车车库单向出入口净宽不应小于车宽加0.60m。
6.2.4 非机动车库车辆出入口可采用踏步式出入口或坡道式出入口。
▲ 收起条文说明
6.2.4 踏步式出入口是指中间为人行楼梯两侧为自行车推行坡道或中间为自行车推行坡道两侧为人行楼梯的出入口;坡道式出入口是指只设坡道人车混行的出入口。
目前非机动车仍以自行车为主,自行车的重量较轻,一般在12kg~16kg之间,基本使用踏步式出入口。而其他非机动车重量一般超过30kg,推行困难,应该使用坡道式出入口。
6.2.5 非机动车库出入口宜采用直线形坡道,当坡道长度超过6.8m或转换方向时,应设休息平台,平台长度不应小于2.00m,并应能保持非机动车推行的连续性。
▲ 收起条文说明
6.2.5 参考《全国民用建筑工程设计技术措施/规划建筑景观》2009版第8.4.2条规定,供推行自行车坡道,一般每个梯级为0.4m(宽)×0.1m(高),这较符合中国人步幅宽:b(宽)十2h(高)大于或等于0.6m ,每个斜跑段18梯级,水平长度为6.8m。
6.2.6 踏步式出入口推车斜坡的坡度不宜大于25%,单向净宽不应小于0.35m,总净宽度不应小于1.80m。坡道式出入口的斜坡坡度不宜大于15%,坡道宽度不应小于1.80m。
▲ 收起条文说明
6.2.6 参照国家标准《民用建筑设计通则》GB 50352-2005第6.7.2条规定每股人流0.55m+(0~0.15m),推车斜坡的宽度不应小于0.35m,因双手推行自行车时,人的肩部是稍偏向一侧的,每股人流按0.55m计,则净宽应为(0.55m+0.35m)×2=1.8m。
6.3 停车区域
6.3.1 大型非机动车库车辆应分组设置,且每组的当量停车数量不应超过500。
6.3.2 大型和中型非机动车停车库宜在出入口附近设管理用房及相应的服务设施,且不应影响非机动车的通行。
▲ 收起条文说明
6.3.2 不超过250辆的小型非机动车停车库,如办公楼和居住小区等,停车人相对固定,对车库很熟悉,可以不用设管理用房。而超过250辆后,容易产生停车混乱的情况,宜设专人进行管理。尤其是车站、码头等客流量大的站点,医院、学校、商场、集贸市场、步行街、影剧院等人员流动较多的场所,应设管理用房,并宜设置打气设施。
6.3.3 自行车的停车方式可采取垂直式和斜列式。自行车停车位的宽度、通道宽度应符合表6.3.3的规定(图6.3.3),其他类型非机动车应按本表相应调整。

注:角度为自行车与通车道夹角。

图6.3.3 自行车停车宽度和通道宽度
6.3.4 非机动车库的停车区域净高不应小于2.0m。
▲ 收起条文说明
6.3.4 为贯彻节能环保中的节地政策精神,鼓励使用自行车停车架。据了解目前双层自行车停车架已运用于车库,主要是对净高有一定要求。因各厂家的数据不尽相同,本规范不作统一规定;采用复式停车架的车库,应根据厂家和现行国家标准提供的数据进行设计。
6.4 构造措施
6.4.1 非机动车库出入口上方宜设有防坠落设施。
6.4.2 非机动车库通往地下的坡道在地面出入口处应设置不小于0.15m高的反坡,并宜设置与坡道同宽的截水沟。
▲ 收起条文说明
6.4.2 有的坡道为开敞式的,有的坡道与地面反坡较小,这些都会造成雨水灌入地下室,故作此规定。
6.4.3 多雨地区通往地下的坡道底端应设置截水沟;当地下坡道的敞开段无遮雨设施时,在敞开段的较低处应增加截水沟。
6.4.4 非机动车库出入口的坡道应采取防滑措施。
6.4.5 严寒和寒冷地区非机动车库室外坡道应采取防雪和防滑措施。
6.4.6 严寒和寒冷地区有采暖设施的非机动车库出入口处应采取保温措施。
▲ 收起条文说明
6.4.6 严寒地区有采暖设施的非机动车库出入口处可采用设双道门或热风幕等措施。
7.1 一般规定
7.1.1 车库内设备管道宜明设,各类管道应排列整齐,并宜采用不同颜色和符号标明管道种类和介质流向。
▲ 收起条文说明
7.1.1 车库一般不吊顶,对室内装修要求较低,但有时水暖等管道及电气线槽较多,为创造良好的室内环境,各类管道及电气线槽宜明设并应排列整齐,为方便管道的维护维修和管理,宜用不同颜色和符号标明管道种类和介质流向。当车库有吊顶时,设备管道可敷设于吊顶内,同样为方便维修和管理,应对各专业管道进行汇总协调,按序排列整齐并做标识。
7.2 给水排水
7.2.1 车库内的生产给水、生活给水和消防给水系统应分开设置;生产、生活用水量应符合现行国家标准《建筑给水排水设计规范》GB 50015的规定;冲洗用水宜优先采用中水。
▲ 收起条文说明
7.2.1 车库内是否设置建筑给水排水,应根据车库的建筑布置确定。一般情况下,机动车库内均会设有给水排水设施,而一些小型非机动车库则不需要设置给水排水设施。车库内灭火设施包括:消火栓、自动喷水设施及建筑灭火器等。
车库用水主要为擦洗机动车、冲洗楼地面等用水,管理人员及存车人员的舆洗及冲厕等用水,用水量可根据现行国家标准《建筑给水排水设计规范》GB 50015确定。为贯彻国家节能减排方针,当有中水时冲洗用水宜优先采用中水。
7.2.2 车库消防用水及灭火设施应符合现行国家标准《汽车库、修车库、停车场设计防火规范》GB 50067和《建筑设计防火规范》GB 50016的规定。
▲ 收起条文说明
7.2.2 机动车库和独立存放摩托车的非机动车库消防用水及灭火设施执行现行国家标准《汽车库、修车库、停车场设计防火规范》GB 50067的规定,非机动车库内消防用水及灭火设施执行其他现行国家相关规范的规定。
7.2.3 在可能产生冰冻的车库,给水排水设施应采取防冻措施。
▲ 收起条文说明
7.2.3 一般情况下可能产生冰冻的车库指敞开式车库、严寒地区、寒冷地区无采暖车库。近年来由于气候变化,在南方非采暖地区也出现了冰冻天气,车库入口等部位可能也会出现冰冻的现象,在这些场所敷设的给水排水管道,如果不采取防冻措施,会出现管道冻裂现象,造成管理和使用上的不便。由于车库一般设有消防给水管,消防水管很容易冻裂,一旦冻裂,由于消防给水管流量大压力高,会产生大量消防排水,影响车库正常使用,一且在系统维修期间发生火灾更会造成消防安全隐患。
7.2.4 敞开式车库排水设施应满足排放雨水的要求。
▲ 收起条文说明
7.2.4 敞开式停车库雨水会流入车库,因此排水设施的能力应满足排放落入的雨水流量,否则会造成最底层停车位积水,影响使用。
7.2.5 机动车库应按停车层设置楼地面排水系统,排水点的服务半径不宜大于20m。当采用地漏排水时,地漏管径不宜小于DN100。
▲ 收起条文说明
7.2.5 机动车库设置楼地面排水系统是考虑到车库内会有地面冲洗排水、车辆冲洗排水、消防排水以及水暖管道检修排水等。考虑到不应让各种排水通过坡道进入下层,排水应及时排除,规定按停车层设置排水系统。为方便使用并结合现有工程经验,排水点的服务半径不宜超过20m。车库的排水方式可根据车库建筑布局、地面做法、排水条件、使用要求和管理模式等选择采用地漏、排水沟及集水坑等排水方式或混合采用上述排水方式。当采用排水沟排水时,排水沟不得跨越防火分区。当采用地漏排水,地漏管径不宜小于DN100。
大型非机动车库,如设有给水排水及消防给水设施时,可参照此条执行。
7.2.6 机动车库内车辆清洗区域应设给水设施,并宜优先采用排水沟排水。洗车排水应经隔油沉淀池处理后排放。
▲ 收起条文说明
7.2.6 根据工程经验:机动车清洗区域采用排水沟排水比较方便。洗车排水一般含有油、泥沙及其他沉淀物,如直接排放到室外污水管网,会增加污水管道污染物的浓度,造成水质达不到相关排放标准,另外也会影响管道的畅通,因此要求洗车排水在排入室外污水管网前应设隔油沉淀池处理。
7.2.7 机械式机动车库应在底部设置排除其内部积水的设施。
▲ 收起条文说明
7.2.7 机械式停车库内,虽无经常冲洗机械存车位板面的要求,但有时亦会有水进入库内,当设置消防给水管道时,会存在管道事故排水、试验排水及检修排水,所有排水会顺存车位板面缝隙流到底部,如不及时排除造成内部积水,会影响底部停车位使用,并容易造成安全隐患。根据调研,各类机械式立体车库均在最下层托板底部设置排水设施,排水设施一般有地漏、排水沟、集水坑及排水泵等。
7.3 采暖通风
7.3.1严寒地区机动车库内应设集中采暖系统;严寒地区非机动车库、寒冷地区机动车库内宜设采暖设施。车库内采暖室内计算温度应符合表7.3.1 规定。
▲ 收起条文说明
7.3.1 此条针对非敞开式车库。特大、大、中型机动车库在严寒地区应设置集中采暖系统;寒冷地区车库宜设置采暖设施。
采暖车库内不同空间可采用不同温度,停车库以冬季易于启动机动车和不冰冻为准,故取5℃。小型机动车库当有明显经济效益时可采用分散采暖,但不得用明火采暖。

7.3.2对于设有采暖设施的车库,宜在出入口处设热空气幕,且热空气幕应优先采用集中热源。
▲ 收起条文说明
7.3.2 采暖车库出入口处冷风侵入、冷风渗透容易造成车库内及出入口附近低于要求的温度,故宜在该处设热空气幕,以保证车库内温度符合要求。由于电热空气幕耗电量大,且电能为高品位能源,热空气幕热源宜结合采暖系统,优先采用集中热源。
7.3.3 当车库停车区域自然通风达不到稀释废气标准时,应设置机械排风系统,并应符合国家现行标准《工业企业设计卫生标准》GBZ 1的规定。
▲ 收起条文说明
7.3.3 机动车库及非机动车库摩托车停车区域稀释废气的标准是一氧化碳、甲醛和铅等的浓度,但以一氧化碳为主,如其稀释到了安全浓度,其他有害成分亦到了安全浓度。美国工业卫生局许可一氧化碳浓度平均等于小于50ppm,最大等于小于100ppm(不超过1h)即125mg/m3。我国《工业企业设计卫生标准》GBZ 1中一氧化碳短时间接触容许浓度为30mg/m3 。
机械式机动车库内,有时有积留废气和汽油蒸汽,该处应设局部排风予以排除。
7.3.4 对于设有机械通风系统的机动车库,机械通风量应按容许的废气量计算,且排风量不应小于按换气次数法或单台机动车排风量法计算的风量。机动车库换气次数应符合表7.3.4-1规定,单台机动车排风量应符合表7.3.4-2规定。
▲ 收起条文说明
7.3.4 此条主要针对机动车库。考虑机动车出入频率、车位数量等因素,机动车库机械排风量,可按下列两种方法计算:
1 用于停放单层机动车的换气次数:
1) 机动车出入较频繁的商业类等建筑,按6次/h换气选取。
2)机动车出入一般的普通建筑,按5次/h换气选取。
3)机动车出入频率较低的住宅类等建筑,按4次/h换气选取。
4)当层高<3m时,应按实际高度计算换气体积;当层高≥3m时,可按3m高度计算换气体积。
2 当全部或部分为双层停放机动车时,宜采用单车排风量法。
1)机动车出入较频繁的商业类等建筑,按每辆500m3/h选取。
2)机动车出入一般的普通建筑,按每辆400m3/h选取。
3)机动车出入频率较低的住宅类等建筑,按每辆300m3/h选取。
按容许废气浓度计算机械通风量的方法参见现行国家标准《民用建筑供暖通风与空气调节设计规范》GB 50736。


7.3.5非机动车库内摩托车停车区域通风换气次数宜为2次/h~4次/h,其他车辆停车区域通风换气次数宜为1次/h~2次/h。
▲ 收起条文说明
7.3.5 考虑到摩托车多停放于非机动车库内,按非机动车管理,机动车库内摩托车停车区域亦适用本条规定。 摩托车废气排放量相对较小,设计时宜综合考虑摩托车车型比例,车辆出入频率等因素,通风量宜为2次/h~4次/h 。
7.3.6 机动车库送风、排风系统宜独立设置。
▲ 收起条文说明
7.3.6 由于机动车库内含有可燃、可爆、有害气体,其送、排风系统应与主体建筑的通风系统分开,独立设置,以避免有害气体或火灾从通风系统引入主体建筑部分。当机动车库通风系统与其他通风系统合用时,应满足防火及安全卫生要求。
7.3.7 车库的送风、排风系统应使室内气流分布均匀,送风口宜设在主要通道上。
▲ 收起条文说明
7.3.7 由于机动车排出的大部分废气密度较空气大,车库的送、排风系统应使气流分布均匀,避免通风死区,有效排出废气。新鲜空气的送风口宜设在主要通道上,以利于空气良性循环。
7.3.8 中型及以上机动车库送风、排风机宜选用多台并联或变频调速,运行方式宜采用定时启、停风机或根据室内CO气体浓度自动控制风机运行。
▲ 收起条文说明
7.3.8 机动车库内车辆出入频率小于设计时,实际换气可以减少,故提出送、排风机宜选用多台并联或变频调速,以适应不同情况下风量调节要求,节约电能,节省运行费用。
7.3.9 车库通风系统可结合消防排烟系统设置。
▲ 收起条文说明
7.3.9 当车库需设置机械排烟系统时,机械通风系统可结合消防排烟系统设置,以节约投资。
7.4 电气
7.4.1 特大型和大型车库应按一级负荷供电,中型车库应按不低于二级负荷供电,小型车库可按三级负荷供电。机械式停车设备应按不低于二级负荷供电。各类附建式车库供电负荷等级不应低于该建筑物的供电负荷等级。
▲ 收起条文说明
7.4.1 根据《供配电系统设计规范》GB 50052对负荷等级的分类要求,参考《汽车库、修车库、停车场设计防火规范》GB 50067和《民用建筑电气设计规范》JGJ 16对机动车库负荷等级的分类要求,结合各类车库的特点,对特大型和大型车库提出应按一级负荷供电的要求,强调了各类建筑物附设的车库负荷等级要求。车库内各类用电设备应根据其对供电可靠性要求确定其负荷等级。附建式车库应包括停车位、行车道、管理室等,仅设置零星停车间时,不在此列。
7.4.2 车库供电系统应符合现行国家标准《供配电系统设计规范》GB 50052的规定。车库内宜设配电室,其位置应便于管理和进出,并应符合国家现行有关标准的规定。车库照明配电回路应按功能和区域划分。
▲ 收起条文说明
7.4.2 为有利车库管理和安全,建议设置低压配电室,也可与管理室合用,车库供电系统设计应符合《民用建筑电气设计规范》JGJ 16规定。照明回路划分要方便使用,具备一定灵活性,为运营中节能创造条件。
7.4.3 车库内照明应亮度分布均匀,避免眩光,各部位照明标准值宜符合表7.4.3的规定,当有特殊要求时,照明标准值可提高或降低一级。
▲ 收起条文说明
7.4.3 亮度均匀和避免眩光是车库照明的必要条件,通道上灯具的长轴方向应和车辆行驶方向相一致,以避免行车时的眩光干扰。库内各空间的标准不一,其主要使用空间的照明标准值根据《建筑照明设计标准》GB 50034列于表7.4.3。

7.4.4 车库内的人员疏散通道及出入口、配电室、值班室、控制室等用房均应设置应急照明。
▲ 收起条文说明
7.4.4 为了在事故状况下人员顺利疏散,应设应急照明。应急照明设计应符合现行国家标准《汽车库、修车库、停车场设计防火规范》GB 50067和《建筑设计防火规范》GB 50016的规定。
7.4.5 坡道式地下车库出入口处应设过渡照明,白天入口处亮度变化可按10:1~15:1 取值,夜间室内外亮度变化可按2:1~4:1取值。
▲ 收起条文说明
7.4.5 地下的坡道式机动车库的出入口处,因从亮到暗和从暗到亮,人的视觉系统需要一个适应过程,因此需要过渡照明,可根据《地下建筑照明设计标准》CECS 45的相关规定进行过渡照明设计。
7.4.6 车库内停车区域照明应集中控制,特大型和大型车库宜采用智能控制。
▲ 收起条文说明
7.4.6 车库内停车区域集中控制方便维护、管理,也有利于节能,特大型和大型车库采用智能控制,节能效果明显。
7.4.7 机械式机动车库内应设检修灯或检修灯插座。
▲ 收起条文说明
7.4.7 机械式车库内,为了方便检查和维修,应设相应的灯和插座。
7.4.8 机动车库内可根据需要设置36V 、220V 、380V 电源插座;非机动车库内,在管理室附近或出入口处应设置电源插座。
▲ 收起条文说明
7.4.8 为了在机动车库内进行一些小的保养,可根据业主的保养工艺要求,配置36V、220V、380V电源插座。在非机动车库内,为方便使用,应设置电源插座。由于电动汽车目前尚未普遍使用,本次规范修编不考虑机动车库内停放电动汽车;由于电动自行车、电动三轮车防盗(特别是电池)和计费问题,目前运营非机动车库内一般不提供充电服务。如确有以上需要时,应考虑其充电设施,并应满足《爆炸和火灾危险环境电力装置设计规范》GB 50058等其他现行国家相关规范要求。
7.4.9 车库内的火灾自动报警装置、消防控制室和其他电气设备的设置,应符合现行国家标准《汽车库、修车库、停车场设计防火规范》GB 50067和《建筑设计防火规范》GB 50016的规定。
▲ 收起条文说明
7.4.9 机动车库内常设火灾自动报警和自动灭火系统,特别是特大、大、中型车库,为利于管理,应设消防控制中心。系统的设置应执行现行国家标准《汽车库、修车库、停车场设计防火规范》GB 50067、《建筑设计防火规范》GB 50016和《火灾自动报警系统设计规范》GB 50116。
7.4.10 车库应根据需要设置通信系统、广播系统、建筑设备监控系统和安全防范系统。
▲ 收起条文说明
7.4.10 目前大多数车库为附建式车库,通信系统、广播系统、建筑设备监控系统和安全防范系统可集成在建筑物内的各智能化管理系统;对于独立设置的车库,则根据停车数量和使用要求适当选择设置智能化系统。
7.4.11 大型和特大型机动车库应设置出入口管理系统,中型和小型类机动车库宜设置出入口管理系统;公共场所的大型和特大型机动车库宜设置停车引导系统。机动车库管理系统的设置应符合现行国家标准《智能建筑设计标准》GB 50314的规定。
▲ 收起条文说明
7.4.11 机动车库管理系统包括出入口管理系统和停车引导系统,不同建筑类型对车库管理的配置有不同的要求。机动车库内应根据行车需要设置标志灯、导向灯,机动车库的出入口宜设置指示机动车出入的信号灯和停车位指示灯。标志灯、导向灯、信号灯及停车位指示灯等均纳入停车引导系统一并考虑。
1 为便于在执行本规范条文时区别对待,对要求严格程度不同的用词说明如下:
1)表示很严格,非要这样做不可的:
正面词采用“必须”,反面词采用“严禁”;
2)表示严格,在正常情况下均应这样做的:
正面词采用“应”,反面词采用“不应”或“不得”;
3)表示允许稍有选择,在条件许可时首先应这样做的:
正面词采用“宜”,反面词采用“不宜”;
4)表示有选择,在一定条件下可以这样做的,采用“可”。
2 条文中指明应按其他有关标准执行的写法为:“应符合……的规定”或“应按……执行”。
1《建筑给水排水设计规范》GB 50015
2《建筑设计防火规范》GB 50016
3《供配电系统设计规范》GB 50052
4《汽车库、修车库、停车场设计防火规范》GB 50067
5《智能建筑设计标准》GB 50314
6《民用建筑设计通则》GB 50352
7《安全标志及其使用导则》GB 2894
8《工业企业设计卫生标准》GBZ 1
9《城市道路工程设计规范》CJJ 37
10《机械式停车库工程技术规范》JGJ/T 326
知识点:车库建筑设计规范
0人已收藏
0人已打赏
免费1人已点赞
分享
建筑规范
返回版块34.61 万条内容 · 519 人订阅
阅读下一篇
深度解读我国规范中斜截面受剪承载力计算方法目前,此规范已经历五次重要版本迭代,分别为《钢筋混凝土结构设计规范》BJG 21-66、《钢筋混凝土结构设计规范》TJ 10-74、《混凝土结构设计规范》GBJ 10-89、《混凝土结构设计规范》GB 50010-2002、《混凝土结构设计规范》GB 50010-2010。既知其然,又知其所以然,对规范不应仅停留在简单地遵守和执行上,更应主动地理解规范的制定依据,进而依据客观的实际情况做出合理的区别对待。
回帖成功
经验值 +10
全部回复(0 )
只看楼主 我来说两句抢沙发