一.基本介绍
1.焊接优缺点:不削弱截面,刚度大;材质脆使得不能承受较大变形,存在残余应力,对裂纹敏感。以上均与螺栓连接相对应。
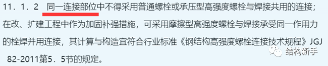
2.焊接与螺栓:【钢标11.1.2】,同一连接部位不得同时采用螺栓和焊接,变形能力相差较大,注意是同一连接部位,不是构件层次,例如梁的连接,翼缘用焊接,腹板用螺栓,这是可行的,不是同一部位。

3.焊接连接构造设计:【钢标11.1.5】,焊条要与钢材配套使用,当不同强度钢材使用焊接连接时,宜采用与较低强度钢材相适应的焊条【钢标11.1.5-6】。Q235钢-E43型焊条、Q345-E50型、Q390~Q420-E55型,其中数字为熔融金属的最小抗拉强度(Mpa),即焊接处的抗拉强度,例E43最小抗拉强度≥420 Mpa,E50≥490Mpa,E55≥550Mpa。可见焊接强度是大于钢材母材的强度。


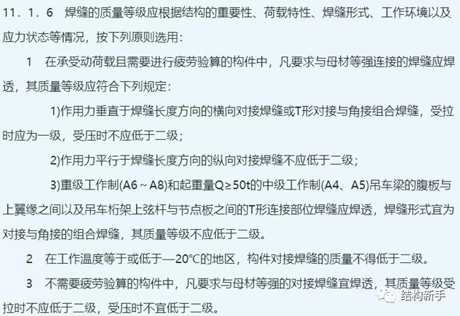
4.焊缝质量等级
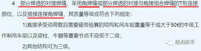
【钢设8.4.8、钢标11.1.6】对焊缝质量等级的规定,其中焊缝等级一二级要进行超声波探伤/X射线检测,一级为100%都要探伤,所以是非常严格,非常重要的部位,二级为抽取20%进行探伤,焊缝等级三级则只需要进行检查外观和几何尺寸。


【焊缝强度钢标4.4.5】
对于理想无缺陷的焊缝:其强度>母材强度,这也是必须的。而焊缝在焊接过程中,必然有缺陷,规范对焊缝强度进行了规定。
①对接焊缝
对于受拉裂缝,焊缝等级为一、二级时,焊接强度=母材强度,三级时=0.85*母材强度,考虑施工质量缺陷引起的强度削弱(故对于一二级焊缝无需验算焊缝强度);对于受压焊缝,其焊缝强度=母材强度;对于受弯裂缝,分受压区和受拉区分别按受压焊缝和受拉焊缝取值;对于受剪焊缝,焊缝强度=母材强度。
②角焊缝
角焊缝不区分抗拉压剪,由实验证明,角焊缝的破坏形式都是剪切失效。

5.焊接接头作用及类型:焊接接头的作用,第一是连接作用,即把两焊件连接成一个整体;第二是传力作用,即传递焊件所承受的载荷。焊接接头可分为10种类型,即对接接头、T形接头、十字接头、搭接接头、角接接头、端接接头、套管接头、斜对接接头、卷边接头和锁底接头,常用的就是对接、T形、角接。

6.焊缝类型
焊缝指的是焊接后焊件中所形成的结合部分。按结合形式,焊缝可分为对接焊缝、角焊缝、对接与角接组合焊缝、塞焊缝和槽焊缝。焊接接头仅仅只是描述板件之间的连接位置关系,和焊缝类型是两码事,例如T形接头,可以采用对接焊缝,角焊缝,也可以采用对接与角接组合焊缝。
例如使用对接和角接组合焊缝的T形接头,坡口内的焊缝为对接焊缝,坡口外连接两焊件的焊缝为角焊缝。

①角焊缝:连接处不必做坡口,焊接金属直接填充在被连接板件形成的直角和斜角区。
(1)直角角焊缝:直角角焊缝有普通式、平坡式、凹面式,承受动力荷载对疲劳比较敏感时,可采用平坡和凹面式,可以缓解因焊接带来的应力集中的程度,但施工成本会高一些,平坡式是在普通式上多焊出坡度,凹面式是普通式上打磨出一个弧度。

(2)斜角角焊缝:角焊缝角度为锐角或钝角,对于α>135°或<60°,除钢管结构外,不宜作为受力焊缝,即不考虑焊接的承载力贡献,一般用的较少。
②对接焊缝:直边缝、斜边缝和坡口缝
(1)直边缝,单边焊适用于板厚6mm以下,板厚6~10mm时需要双边焊才能连得上。

(2)坡口缝:坡口类型Y/V/K/U/J等等,坡口方向有单侧和双侧。

【焊透、部分焊透】
焊透、全焊透,简称F.P。部分焊透、深熔焊、局部焊透,简称P.P。焊透就是两板件之间都有焊剂,部分焊透就是两板件之间有一部分没有焊剂连接,一般板厚较大时比较难焊透。
焊透与部分焊透是连接设计的选择,焊透的强度肯定高,一些重要的连接部位要求焊透:【钢标11.1.6、11.3.1、11.3.4-5】承受动力荷载及重要连接、等强部位均要焊透。未焊透指的是本来要求焊透,结果未焊透,属于施工质量不合格,未焊透将减少其有效面积,严重减低焊接件强度,还会造成应力集中,严重降低焊缝的疲劳强度。

【坡口、钝边、间隙】

坡口,是为了焊接厚板材时候能够焊透,焊条能直接触及焊缝根部,从而保证焊缝的完全融合。坡口角度可为45/55/60°
钝边,也叫留根,焊件开坡口时,沿焊件厚度方向未开坡口的端面部分称为钝边。钝边的作用是防止根部烧穿,但钝边太大,又会使根部焊不透。焊透时钝边高度可取0-3mm,部位焊透可取6-7mm。底部可以再添加一块底板/引弧板,可防止烧穿,烧穿是指部分熔化金属从焊缝反面漏出,甚至烧穿成洞。
根部间隙、装配间隙,焊前在接头根部之间预留的空隙称为根部间隙。根部间隙的作用在于焊接底层焊道时,能保证根部可以焊透。因此,根部间隙太小时,将在根部产生焊不透现象;但太大的根部间隙,又会使根部烧穿,形成焊瘤。一般取2mm左右。
7.焊接残余应力对结构性能的影响
①焊接残余应力:焊缝局部受高温作用,焊接完成后,各处的温度极不均匀,那么冷却过程中,由于温度高低不同导致各处收缩不同,会导致内部产生作用力。这种作用力除了外部变型消除部分以外,还在内部有残留,就是焊接残余应力。
②残余应力的拉压力:降温顺序引起了残余应力的拉压,先降温的受压,后降温的受拉,热胀冷缩,先降温的部位收缩凝固了,其相邻的高温区的纤维仍然受热膨胀,最后降温也想收缩时,其纤维已经被先降温的部位“拽”住了,故纤维受拉。例如:不同的焊接顺序,从中间向两端焊,中间先冷却受压,两端后冷却受拉,反之亦反。对比焊接处与非焊接处(也就是垂直于焊缝的方向),那么焊接处肯定受拉,非焊接处受压。

③残余应力的方向:纵向残余应力、横向残余应力、厚度方向残余应力等,此处不说了
④焊接应力的影响:
(1)对结构的静力强度无影响:残余应力属于内力,残余应力的拉压平等,理想的弹塑性钢材下,对静力强度无影响。
(2)降低结构的刚度和稳定性:简单的说,就是残余应力使得钢材某些部位受拉受压,当受到外力时(尤其时压力),原本在残余应力下受压的部位叠加外压力,很更快的达到屈服强度,发生不可逆转的塑性变形,而其他部位仍未达到屈服强度(即处于弹性),卸载时会有残余变形,相当于变长了,从刚度的定义理解(刚度是在外力下抵抗变形的能力),则刚度下降了。
稳定的本质也是刚度,残余应力也会影响构件的稳定承载力,详见下图。

(3)影响构件精度和尺寸稳定性:残余应力拉压平衡,当机械加工切掉一部分后,拉压不平衡,故焊件会通过变形达到力平衡,故构件尺寸会变。
(4)残余应力也会影响低温脆断、疲劳强度。
8.焊接符号
①箭头线,指向焊缝位置,有明确的指明方向,当使用坡口焊缝,箭头所指位置为坡口朝向。
②基准线(细实线),表示焊缝位置,基准线以上表示焊缝为箭头所指方向,基准线以下表示焊缝为箭头所指方向的另一侧。
③焊缝符号:以及焊接尺寸hf,坡口角度,常用的有:

④辅助符号

⑤举例:如图为双侧角焊缝,焊脚尺寸8mm,现场施工,3/4半圆弧表示“相同焊缝符号”,在同一图形上,当焊缝型式、断面尺寸和辅助要求均相同时,可只选一处标注焊缝符号和尺寸,并加“相同焊缝符号”。

二.角焊缝计算
1.搭接接头,轴力
正面角焊缝和侧面角焊缝,侧面角焊缝的变形能力是正面的1倍,一般正面角焊缝先破坏。正面角焊缝与力方向垂直,传递轴力,侧面角焊缝与力方向平行,传递剪力。直角角焊缝:【钢标11.2.2】。斜角角焊缝:【钢标11.2.3】主要影响角焊缝的计算厚度,影响因素有夹角、根部间隙。
①钢板连接三面围焊:先计算正面角焊缝,再计算侧面角焊缝,注意起落弧扣除hf,三面围焊总共要扣除2hf,两侧面角焊缝各扣一个hf,正面角焊缝不扣。

②角钢三面围焊:先计算正面角焊缝,再计算侧面角焊缝。假定正面角焊缝的尺寸,并计算出承载力,通过力平衡和力矩平衡,可推到出其他焊缝的承载力,最后就能计算其他焊缝的尺寸。k1和k2为轴力分配系数,与截面偏心距相关,可查表。

③角钢其他


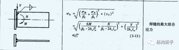
2.T形接头,弯矩剪力轴力同时作用

①轴力:即为正面角焊缝
②剪力:即为侧面角焊缝
③弯矩:相当于受弯构件,需要求出焊缝的截面抵抗矩W=helw2/6
当三者同时存在时进行组合,跟材料力学基本一致。
3.H型截面相连,弯矩剪力:弯矩由全部焊缝承担,剪力由腹板焊缝承担。与材料力学计算一样,翼缘最外点为弯矩最大,腹板与翼缘相交点的弯矩和剪力都比较大,要计算这两个控制点。
表格公式的Ww1为全部焊缝的截面抵抗矩Ww1=2Iw/h1,h1为翼缘焊缝最外边离形心距离,Iw中可忽略翼缘焊缝本身惯性矩;Ww2 =2Iw/h2,h2为腹板焊缝最外边离形心距离;Aw为腹板焊缝截面面积。一般来说这种截面都会采用全周连续施焊,可不考虑起落弧的2hf。

4.构造:【钢标11.3.5】
①最小焊缝计算长度:不小于8hf和40mm的较大值(实际焊接长度为10hf),为了防止焊缝长度过小,力线弯折大,造成严重的应力集中
②最大计算长度折减系数:【钢标11.2.6】实际应力分布上都十分复杂不均匀,对于侧面角焊缝剪应力分布为两端大,中间小,故对角焊缝长度有限制,当计算长度大于60hf时,焊缝承载力需折减,注意对象是侧面角焊缝。
③最小焊脚尺寸
④断续角焊缝:断续角焊缝的应力集中问题更加突出,不能用于需要计算疲劳的构件,一般用在角焊缝很长,例如钢楼板(钢平台等)和梁的连接中,采用满焊焊接量太大,也要满足构造要求【11.3.8】,长度不得小于10hf或50mm,计算长度则不小于8hf和40mm的较大值。净距一般按15t来控制。

⑤措施:为了减小角焊缝应力集中,可采用绕角焊、三面围焊等连续施焊,不在角部、端部起落弧引起应力集中,例如吊车梁的横向加劲肋,与下翼缘不接触,故对横向加劲肋绕角焊。
三.对接焊缝计算
1.完全焊透的对接焊缝
一二级焊缝不用验算,对于采用三级焊缝连接的钢材,将强度应力比控制在0.8及以内(三级焊缝强度=0.85母材强度),也可以无需计算焊缝强度,此处为强度应力比,对于需要验算稳定的,那0.8肯定不够,对于民用梁有密铺盖板不用计算稳定时则可以控制在0.8以内。
焊透的对接焊缝的计算:与材料力学计算一致,拉压轴力下、剪力弯矩下等,【钢标11.2.1】对于弯剪组合下,分别计算弯矩和剪力,再计算复合应力,就是材料力学的一套东西。


【对接焊缝与角焊缝的计算公式不同】,例如抗剪计算,对接焊缝抗剪与母材抗剪公式一致,就是材料力学的公式,τ=VSw/Iwt,从公式上看,剪应力中间大两边小;对于角焊缝,τ=N/helw,默认了角焊缝的截面应力相同,这是由于角焊缝难以精确计算实际应力采用的简化算法。

2.部分焊透的对接焊缝:【钢标11.2.4】按角焊缝公式计算,抗力设计值取角焊缝的0.9倍。
①受力很小,焊缝主要起联系作用:例如焊接H型钢的翼缘和腹板的连接,吊车梁上翼缘与腹板的连接。
②焊缝受力虽然很大,但采用焊透额对接焊缝将使强度不能充分发挥,可采用部分焊透的对接焊缝
内容源于网络,如有侵权,请联系删除
相关资料推荐:
知识点:焊接连接
0人已收藏
0人已打赏
免费5人已点赞
分享
钢结构工程
返回版块46.53 万条内容 · 1214 人订阅
阅读下一篇
钢结构地下室柱建模问题多高层钢结构建筑,如果有多层地下室的话,地下一层设置过渡层,需要用组合结构柱。 PKPM建模型的时候,地下一层是按组合结构柱建?还是直接按混凝土柱建,然后把钢柱直接按节点延伸一层?
回帖成功
经验值 +10
全部回复(0 )
只看楼主 我来说两句抢沙发