工程概念
地基上任一点所受的压力强度p与该点的地基沉降量s成正比,这个比例系数就是基床反力系数(简称基床系数),基床系数可以理解为土体的刚度,基床系数越大,土体越不容易变形。
今天专门给大家讲讲这一块的知识。
首先还是老生常谈的,大家要熟悉一下我们的学习体系和路径,深入理解规范体系,才谈得上“按规范执行”。我们要知道规范体系的任何一个系数,都应能找到它存在的机理!

工程概念
高层建筑岩土工程勘察规程 JGJ 72-2004 > 附录H 基床系数载荷试验要点
H.0.7 确定地基土基床系数Ks应符合下列要求:
1 根据标准承压板载荷试验p-s曲线,按式H.0.7-1计算基准基床系数Kv:(kN/m3)

式中
p——实测p-s关系曲线比例界限压力,如p-s关系曲线无明显直线段,p可取极限压力之半;
s——为相应于该p值的沉降量。
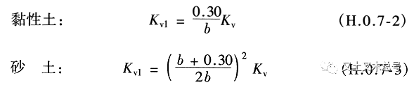
2 根据实际基础尺寸,修正后的地基土基床系数Kv1按下式计算:s——为相应于该p值的沉降量。

式中 b——基础底面宽度。
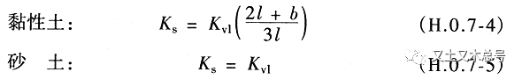
3 根据实际基础形状,修正后的地基基床系数Ks按下式计算:

式中 l——基础底面的长度。
机理
建筑地基基础术语标准 GB/T 50941-2014 > 3 设计原则 > 3.5 计算理论与方法
3.5.3 文克尔地基模型 Winkler′s foundation model
文克尔(Winkler)建立的地基计算模型:假定地基是由许多互不联系的、竖向独立弹簧组成,地基表面任一点的压力(p)与该点的沉降(s)成正比(p=ks·s),其比例系数ks称为基床系数或文克尔系数。
城市轨道交通岩土工程勘察规范 GB 50307-2012 > 2 术语和符号 > 2.1 术语
2.1.4 基床系数 coefficient of subgrade reaction
岩土体在外力作用下,单位面积岩土体产生单位变形时所需的压力,也称弹性抗力系数或地基反力系数。按照岩土体受力方向分为水平基床系数和垂直基床系数。

建筑边坡工程技术规范 GB 50330-2013 > 2 术语和符号 > 2.1 术 语
2.1.26 地基系数 coefficient of subgrade reaction
弹性半空间地基上某点所受的法向压力与相应位移的比值,又称温克尔系数。
铁路路基设计规范TB 10001―2005 > 2 术 语
2.0.7 地基系数(K30) subgrade reaction coefficient
通过试验测得的直径30 cm荷载板下沉1.25mm时对应的荷载强度p(MPa)与其下沉量1.25 mm的比值。
规范
城市轨道交通结构抗震设计规范 GB 50909-2014 > 附录B 基于集中参数模型的静力与动力分析方法 > B.1 桩基础集中参数建模方法
B.1.2 桩侧水平地基弹簧计算应符合下列规定:
1 桩侧水平地基弹簧初始刚度应按下式计算:

式中:
kh——桩侧水平地基弹簧初始刚度(kN/m);
Kh——桩侧水平基床系数(kN/m3),取计算位置的基床系数K,包含由于基础尺寸效应而对基本基床系数的修正,根据现行国家标准《地下铁道、轻轨交通岩土工程勘察规范》GB 50307规定的方法确定;
△l——水平弹簧刚度计算范围内桩的长度(m);
D——桩的直径或宽度(m)。
B.1.3 桩尖竖向地基弹簧计算应符合下列规定:
1 桩尖竖向地基弹簧初始刚度应按下式计算:

式中:
kv——桩尖竖向地基弹簧初始刚度(kN/m);
Kv——桩尖竖向基床系数(kN/m3),取计算位置的基床系数K,根据现行国家标准《地下铁道、轻轨交通岩土工程勘察规范》GB 50307规定的方法确定; Av——桩尖面积(m2)。
B.1.4 桩周竖向地基弹簧计算应符合下列规定:
1 桩周竖向地基弹簧初始刚度应按下列公式计算:

式中:
ksv——桩周竖向地基弹簧初始刚度(kN/m);
Ksv——桩周竖向基床系数(kN/m3);
△l——桩周竖向基床系数计算范围内桩的长度(m);
U——桩截面周长(m)。
城市轨道交通结构抗震设计规范 GB 50909-2014 > 附录B 基于集中参数模型的静力与动力分析方法 > B.2 扩大基础集中参数建模方法
B.2.3 基底剪切弹簧计算可符合下列规定:
1 基底剪切弹簧初始刚度ks可按下列公式计算:


式中:
ks——基底剪切弹簧初始刚度(kN/m);
Ks——剪切基床系数(kN/m3);
Av——基础底面面积(m2);
Kv——基底竖向基床系数,取计算位置处的基床系数K(kN/m3)。
城市轨道交通岩土工程勘察规范 GB 50307-2012
附录H 基床系数经验值

大型螺旋塑料管道输水灌溉工程技术规范 GB/T 50989-2014 > 4 工程设计 > 4.2 管道结构设计
4.2.10 管道环向变形计算应符合下列规定:
1 管道环向截面验算应按荷载准永久值计算,对于可变荷载,应考虑准永久值系数。
2 管道竖向最大变形量可按下式计算,且不应大于0.05D:

土弧基础中心角 |
0 |
30 |
60 |
90 |
120 |
150 |
180 |
基床系数b |
0.11 |
0.108 |
0.103 |
0.096 |
0.089 |
0.085 |
0.083 |
[上海市]基坑工程技术规范 DG/TJ08-61-2010 > 9 板式支护体系围护墙 > 9.1 一般规定
9.1.7 围护墙采用竖向弹性地基梁法计算应符合下列规定:
1 坑内开挖面以上的内支撑点,以弹性支座模拟。坑内开挖面以下作用在围护墙面的弹性抗力根据地基土的性质和施工条件等因素确定,并以水平弹簧支座模拟。弹性抗力的分布通常取开挖面处为零,开挖面以下影响深度范围内为三角形分布,其下分土层按矩形分布。有可靠的工程经验时,弹性抗力的分布也可取梯形或阶梯形等其他分布形式。围护墙底以垂直弹簧支座模拟。计算示意图如图9 . 1 . 7所示。

5 基坑开挖面以下,水平向弹簧支座和垂直向弹簧支座的压缩弹簧刚度KH和KV,应考虑基坑土体加固、基坑降水以及工程桩布置的影响,按下列公式计算:

式中
KH、KV--分别为土体水平向和垂直向压缩弹簧刚度(kN/m);
kH 、 kV ----分别为地基土的水平向和垂直向基床系数(kN/m 3 ),宜由现场试验确定,或参照类似工程的经验确定。当无条件进行现场试验时,可根据地基土的性质,按表9 . 1 . 7-1和表9 . 1.7-3选用;

城市轨道交通结构抗震设计规范 GB 50909-2014 > 4 场地、地基与基础 > 4.4 可液化场地
4.4.6 对判定为发生液化的土层,应根据土层的液化程度对地基的变形模量、地基的基床系数、地基承载力和桩周边土的承载力等土层设计参数进行修正。
岩土工程勘察规范 GB 50021-2001 (2009年版) > 4 各类工程的勘察基本要求 > 4.2 地下洞室
4.2.12 详细勘察的室内试验和原位测试,除应满足初步勘察的要求外,对城市地下洞室尚应根据设计要求进行下列试验:
1 采用承压板边长为30cm的载荷试验测求地基基床系数;
2 采用面热源法或热线比较法进行热物理指标试验,计算热物理参数:导温系数、导热系数和比热容;
3 当需提供动力参数时,可用压缩波波速υp和剪切波波速υs计算求得,必要时,可采用室内动力性质试验,提供动力参数。
内容源于网络,如有侵权,请联系删除
相关资料推荐:
知识点:基床系数
0人已收藏
0人已打赏
免费8人已点赞
分享
地基基础
返回版块12.11 万条内容 · 717 人订阅
阅读下一篇
一文读懂地基深度修正难点0 引言 《建筑地基基 础设计规范》( GB 50007—2011 )( 简称地基规范) 第 5.2.4 条指出: 当基础宽度大于3m 或埋置深度大于 0.5m 时,从载荷试验或其他原为测试、经验值等方法确定的地基承载力特征值,应进行宽度和深度修正。业内人士对于宽度修正几无异议,但对于深度修正争议较大,而不同的理解对设计影响很大。往往某一工程按一种理解进行基础设计不需进行地基处理,可采用天然地基基础,而按另一种理解进行设计则应进行地基处理,造价相差很大。
回帖成功
经验值 +10
全部回复(0 )
只看楼主 我来说两句抢沙发