土木在线论坛 \ 给排水工程 \ 市政给排水 \ 给排水——水力计算的纯水力理论知识

给排水——水力计算的纯水力理论知识

发布于:2022-09-01 10:45:01 来自:给排水工程/市政给排水 [复制转发]

输水管道水力计算公式选用指南

图片
图片

管道输水设计中,水力计算是非常重要的一部分,而水头损失的计算又是重中之重。只有通过计算水头损失才能正确选择动力设备和输送设备,满足工程中的流量、压力等要求,对于保障工程安全可靠、投资经济合理、运行高效节能具有重要意义。那么,在市政及水利工程管网设计中:

图片
图片
图片

常用的管道水力学计算公式有哪些?

图片

有压流管道和重力流管道分别适用什么公式?

图片

圣戈班球墨铸铁管的水力学性能实测结果如何?


图片
图片

让我们先从管道中

水流的形态说起

图片




1883年英国物理学家雷诺通过实验研究发现,流体具有两种流动形态:层流和紊流。而水头损失的规律与流态密切相关。

层流 vs 紊流

流体质点作有条不紊的运动,彼此不相混掺的形态称为层流

流体质点作不规则运动、互相混掺、轨迹曲折混乱的形态叫做紊流。

图片

雷诺等人进一步通过实验研究发现,流体的流态与流速v、管径d、流体的动力粘度μ和密度ρ有关,可通过无因次数-雷诺数Re表示,并以此作为判别两种流态的标准:

图片

图片

图片
图片

图片

对于圆形输水管道,

临界雷诺数Rek=2000。

?  当Re<2000, 流体为层流;

?  2000 的过渡区;

?  Re>4000,流体处于紊流区。


图片

在市政及水利工程输水管道中,水流一般都处于紊流状态。而紊流又分为紊流光滑区、紊流过渡区和紊流粗糙区。每个水力分区都有各自的水力特点,那么如何用一个统一有效的办法来计算水头损失呢?




图片




实际上,水头损失分为沿程水头损失和局部水头损失。

h=hf+hj

式中:h为总水头损失(m);hf沿程水头损失(m);hj局部水头损失(m)。



在长距离输水管线中,能量损失主要来源于沿程水头损失,也是我们今天研究的重点。GB50013-2018《室外给水设计标准》中,对于供水管道的沿程水头损失提供了以下三种公式:


图片

图片

图片
图片


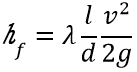
达西公式


Darcy-Weisbach Formula

图片

式中:λ-沿程阻力系数;l-管段长度(m);d-管道内径(m);v-过水断面平均流速(m/s);g-重力加速度(m/s2)。


达西公式由法国水力学家达西于1857年根据柏努利方程推演出,是均匀流沿程损失的普遍计算公式。适用于任何截面形状的光滑或粗糙管内的层流和紊流,在工程上具有重要意义。


图片

公式中沿程阻力系数λ值的确定是水头损失计算的关键。

   ?对于圆形管道层流:

图片

?对于紊流,λ无法由理论分析得到,柯列勃洛克(Colebrook)和怀特(White)于1939年发表文论,提出把紊流光滑区、紊流过渡区和紊流粗糙区联系在一起的阻力系数计算公式,称为柯列勃洛克-怀特公式(Colebrook-White Formula):

图片

式中:K-当量粗糙度,表征管道内壁的粗糙程度。

该公式适用于整个紊流区雷诺数范围在4000-108

大量实验结果表明,Colebrook-White公式求解的沿程阻力系数λ与实际商用圆管道的阻力试验结果吻合良好,因此,对于有压流圆形管道,该公式在国外尤其在欧洲得到普遍应用。





图片

图片

图片
图片


谢才公式


Chézy Formula

图片

式中:C-谢才系数;R-水力半径(m);i-水力坡降。


该公式由法国工程师谢才(Antoine Chézy)于1769年提出。由于谢才公式是基于明渠的实测资料整理得出的经验公式,所以一开始主要应用于明渠均匀流的计算,后又推广应用于无压重力流管道的水力计算。


图片

式中谢才系数C有很多经验公式,其中应用最为广泛的是曼宁公式:

图片

式中:n-糙率系数,表征管道内壁的粗糙程度。





图片

图片

图片
图片


海澄-威廉公式


Hazen-Williams Formula

图片

式中:Q-管道流量(m3/s)l-管道长度(m)d-管道内径(m)Ch-海澄-威廉系数。


该公式是在直径≤3.66m工业管道的大量测试数据基础上建立的著名经验公式,适用于常温的清水输送管道,式中海澄-威廉系数Ch表征管道内壁的粗糙度。该公式适用范围为紊流光滑区至部分紊流粗糙区,雷诺数Re范围104-2*106。该公式也被广泛应用于输水管道水力计算中。


图片



TIPS · 重点来啦

当当当,敲黑板!

TIPS

图片

对以上公式进行总结,我们可以给出如下公式推荐:


图片

压力流管道==》推荐达西公式,通过柯列勃洛克公式确定沿程阻力系数λ

图片

重力流管道==》推荐谢才公式,通过曼宁公式确定糙率系数n

图片

海澄-威廉公式也可用于输水管道压力计算



其实,无论采用何种公式计算,各公式中与管道内壁粗糙度相关的系数:当量粗糙度K、糙率系数n以及海澄-威廉系数Ch的取值是影响沿程水头损失计算结果的重要因素。





值得一提的是,即使对于同种材质管道,由于采用不同的加工工艺,其内表面粗糙度也可能有所差异。为了证明圣戈班球墨铸铁管道内壁的水力学性能,我们与中国水利水电科学研究院水利研究所合作,进行了实验测定。


图片

图片
图片

       不同流量下粗糙系数的实测结果如下:

1、当量粗糙度K值:0.03-0.06;工程中建议球墨铸铁管单管线取K=0.03,管网取K=0.1;

2、糙率系数n值:均值0.009-0.011。

GB50013-2018《室外给水设计标准》附录A给出了各类管材计算参数参考值,其中对于水泥砂浆内衬的铸铁管道,n=0.011-0.012;Ch=120-130。相较而言,圣戈班球墨铸铁管道有着更为优异的水力学性能。


图片



图片
图片

通过以上分析,我们可以得到如下结论:


?三种常用的水头损失计算公式中,达西公式的适用范围最为广泛;而通过柯列勃洛克公式计算沿程阻力系数λ值,与商用圆管的吻合度较高,也成为欧洲国家在计算有压流管道时普遍采用的方法;对球墨铸铁管单管线,推荐当量粗糙度K取0.03,对管网计算,推荐K取0.1;

?谢才公式适用于明渠及重力流管道,可通过曼宁公式来计算谢才系数;对于球墨铸铁管道,其糙率系数n推荐取0.009-0.011。


目前,没有一种完美的水力计算公式可以准确无误地描述水流流动规律。具体公式的选用及水力系数的确定,应结合工程实际情况进行分析,进行科学的选用和计算。

相关资料推荐:

水力计算手册(2006年.第二版).pdf

https://ziliao.co188.com/p63457471.html



知识点:水力计算的纯水力理论知识


全部回复(0 )

只看楼主 我来说两句抢沙发
这个家伙什么也没有留下。。。

市政给排水

返回版块

23.68 万条内容 · 858 人订阅

猜你喜欢

阅读下一篇

全球第二大膜法海水淡化厂实现整体商运

当地时间8月11日 中国能建广东火电承建的 全球第二大膜法海水淡化项目 阿联酋乌姆盖万海水淡化项目 收到阿联酋联邦水电局签发的COD证书        

回帖成功

经验值 +10