水处理公式是我们在工作中经常要使用到的东西,在这里小新总结了几个常常用到的计算公式,按顺序分别为格栅、污泥池、风机、MBR、AAO进出水系统以及芬顿的计算,大家可有目的性的观看。
格栅的设计计算
一、格栅设计一般规定
1、栅隙
(1)水泵前格栅栅条间隙应根据水泵要求确定。
(2) 废水处理系统前格栅栅条间隙,应符合下列要求:最大间隙40mm,其中人工清除25~40mm,机械清除16~25mm。废水处理厂亦可设置粗、细两道格栅,粗格栅栅条间隙50~100mm。
(3) 大型废水处理厂可设置粗、中、细三道格栅。
(4) 如泵前格栅间隙不大于25mm,废水处理系统前可不再设置格栅。
2、栅渣
(1) 栅渣量与多种因素有关,在无当地运行资料时,可以采用以下资料。
格栅间隙16~25mm;0.10~0.05m3/103m3 (栅渣/废水)。
格栅间隙30~50mm;0.03~0.01m3/103m3 (栅渣/废水)。
(2) 栅渣的含水率一般为80%,容重约为960kg/m3。
(3) 在大型废水处理厂或泵站前的大型格栅(每日栅渣量大于0.2m3),一般应采用机械清渣。
3、其他参数
(1) 过栅流速一般采用0.6~1.0m/s。
(2) 格栅前渠道内水流速度一般采用0.4~0.9m/s。
(3) 格栅倾角一般采用45°~75°,小角度较省力,但占地面积大。
(4) 机械格栅的动力装置一般宜设在室内,或采取其他保护设备的措施。
(5) 设置格栅装置的构筑物,必须考虑设有良好的通风设施。
(6) 大中型格栅间内应安装吊运设备,以进行设备的检修和栅渣的日常清除。
二、格栅的设计计算
1、平面格栅设计计算
(1) 栅槽宽度B

式中,S为栅条宽度,m;n为栅条间隙数,个;b为栅条间隙,m;为最大设计流量,m3/s;a为格栅倾角,(°); h为栅前水深,m,不能高于来水管(渠)水深;v为过栅流速,m/s。
(2) 过栅水头损失如

式中,h0为计箅水头损失,m;k为系数,格栅堵塞时水头损失增大倍数,一般采用3;ζ 为阻力系数,与栅条断而形状有关,按表2-1-1阻力系数ζ计箅公式计算;g为重力加速度,m/s2。
(3) 榭后槽总高H

式中,h2为栅前渠道超高,m,—般采用0.3。
(4) 栅槽总长L

式中,L1为进水渠道渐宽部分的长度,m;L2为栅槽与出水渠道连接处的渐窄部分长度;H1为栅前渠道深,m;B1为进水渠宽,m;α1为进水渠道渐宽部分的展开角度,(°),一般可采用20。
(5)每日栅渣量W

式中,W1为栅渣量,m3/103m3废水,格栅间隙为16~25mm时,W1=0.10~0.05;格栅间隙为30~50mm时,W1 =0.03~0.01;Kz为城市生活污水流量总变化系数。
污泥池计算公式
一、地基承载力验算
1、基底压力计算
(1)水池自重Gc计算
顶板自重G1=180.00 kN
池壁自重G2=446.25kN
底板自重G3=318.75kN
水池结构自重Gc=G1+G2+G3=945.00 kN
(2)池内水重Gw计算
池内水重Gw=721.50 kN
(3)覆土重量计算
池顶覆土重量Gt1= 0 kN
池顶地下水重量Gs1= 0 kN
底板外挑覆土重量Gt2= 279.50 kN
底板外挑地下水重量Gs2= 45.50 kN
基底以上的覆盖土总重量Gt = Gt1 + Gt2 = 279.50 kN
基底以上的地下水总重量Gs = Gs1 + Gs2 = 45.50 kN
(4)活荷载作用Gh
顶板活荷载作用力Gh1= 54.00 kN
地面活荷载作用力Gh2= 65.00 kN
活荷载作用力总和Gh=Gh1+Gh2=119.00 kN
(5)基底压力Pk
基底面积: A=(L+2×t2)×(B+2×t2)=5.000×8.500 = 42.50 m2
基底压强: Pk=(Gc+Gw+Gt+Gs+Gh)/A
=(945.00+721.50+279.50+45.50+119.00)/42.500= 49.66 kN/m2
2、修正地基承载力
(1)计算基础底面以上土的加权平均重度rm
rm=[1.000×(20.00-10)+2.000×18.00]/3.000
= 15.33 kN/m3
(2)计算基础底面以下土的重度r
考虑地下水作用,取浮重度,r=20.00-10=10.00kN/m3
(3)根据基础规范的要求,修正地基承载力:
fa = fak + ηb γ(b - 3) + ηdγm(d - 0.5)
= 100.00+0.00×10.00×(5.000-3)+1.00×15.33×(3.000-0.5)
= 138.33 kPa
3、结论
Pk=49.66
二、抗浮验算
抗浮力Gk=Gc+Gt+Gs=945.00+279.50+45.50=1270.00 kN
浮力F=(4.500+2×0.250)×(8.000+2×0.250)×1.000×10.0×1.00=425.00 kN
Gk/F=1270.00/425.00=2.99 > Kf=1.05, 抗浮满足要求。
三、荷载计算
1、顶板荷载计算:
池顶板自重荷载标准值:P1=25.00×0.200= 5.00 kN/m2
池顶活荷载标准值:Ph= 1.50 kN/m2
池顶均布荷载基本组合:
Qt = 1.20×P1 + 1.27×Ph= 7.91 kN/m2
池顶均布荷载准永久组合:
Qte = P1 + 0.40×Ph= 5.60 kN/m2
2、池壁荷载计算:
池外荷载:主动土压力系数Ka= 0.33
侧向土压力荷载组合(kN/m2):

池内底部水压力: 标准值= 25.00 kN/m2, 基本组合设计值=31.75 kN/m2
3、底板荷载计算(池内无水,池外填土):
水池结构自重标准值Gc=945.00kN
基础底面以上土重标准值Gt=279.50kN
基础底面以上水重标准值Gs=45.50kN
基础底面以上活载标准值Gh=119.00kN
水池底板以上全部竖向压力基本组合:
Qb = (945.00×1.20+279.50×1.27+45.50×1.27+119.00×1.27×0.90)/42.500
= 39.59kN/m2
水池底板以上全部竖向压力准永久组合:
Qbe = (945.00+279.50+45.50×1.00+1.50×36.000×0.40+10.00×6.500×0.40)/42.500
= 31.00kN/m2
板底均布净反力基本组合:
Q = 39.59-0.300×25.00×1.20= 30.59 kN/m2
板底均布净反力准永久组合:
Qe = 31.00-0.300×25.00
= 23.50 kN/m2
4、底板荷载计算(池内有水,池外无土):
水池底板以上全部竖向压力基本组合:
Qb=[4.500×8.000×1.50×1.27+945.00×1.20+(3.900×7.400×2.500)×10.00×1.27]/42.500
= 49.86kN/m2
板底均布净反力基本组合:
Q = 49.86-(0.300×25.00×1.20+2.500×10.00×1.27) = 9.11kN/m2
水池底板以上全部竖向压力准永久组合:
Qbe=[4.500×8.000×1.50×0.40+945.00+(3.900×7.400×2.500)×10.00]/42.500
= 39.72kN/m2
板底均布净反力准永久组合:
Qe=39.72-(0.300×25.00+2.500×10.00)
= 7.22kN/m2
四、内力、配筋及裂缝计算
1、弯矩正负号规则
顶板:下侧受拉为正,上侧受拉为负
池壁:内侧受拉为正,外侧受拉为负
底板:上侧受拉为正,下侧受拉为负
2、荷载组合方式
1.池外土压力作用(池内无水,池外填土)
2.池内水压力作用(池内有水,池外无土)
3.池壁温湿度作用(池内外温差=池内温度-池外温度)
顶板内力:
计算跨度: Lx= 4.100 m, Ly= 7.600 m , 四边简支
按双向板计算:


B侧池壁内力:
计算跨度:Lx= 7.700 m, Ly= 2.500 m , 三边固定,顶边简支
池壁类型:浅池壁,按竖向单向板计算
池外土压力作用角隅处弯矩(kN.m/m):
基本组合:-8.13, 准永久组合:-5.61
池内水压力作用角隅处弯矩(kN.m/m):
基本组合:6.95,准永久组合:5.47
基本组合作用弯矩表(kN·m/m)

底板内力:
计算跨度:Lx= 4.200m, Ly= 7.700m , 四边简支+池壁传递弯矩按双向板计算。
1、池外填土,池内无水时,荷载组合作用弯矩表(kN·m/m)
基本组合作用弯矩表:

配筋及裂缝:
配筋计算方法:按单筋受弯构件计算板受拉钢筋。
裂缝计算根据《水池结构规程》附录A公式计算。
按基本组合弯矩计算配筋,按准永久组合弯矩计算裂缝,结果如下:
顶板配筋及裂缝表(弯矩:kN.m/m, 面积:mm2/m, 裂缝:mm)



风机常需用的计算公式
(简化,近似,一般情况下用)
1、轴功率:

注:0.8是风机效率,是一个变数,0.98是一个机械效率也是一个变数(A型为1,D、F型为0.98,C、B型为0.95)
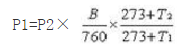
2、风机全压:(未在标准情况下修正)

式中:P1=工况全压(Pa)、P2=设计标准压力(或表中全压Pa)、B=当地大气压(mmHg)、T2=工况介质温度℃、T1= 表中或未修正的设计温度℃、760mmHg=在海拔0m,空气在20℃情况下的大气压。
海拨高度换算当地大气压:
(760mmHg)-(海拨高度÷12.75)=当地大气压 (mmHg)
注:海拔高度在300m以下的可不修正。
1mmH2O=9.8073Pa
1mmHg=13.5951mmH2O
760mmHg=10332.3117 mmH2O
风机流量0~1000m海拨高度时可不修正;
1000~1500M海拨高度时加2%的流量;
1500~2500M海拨高度时加3%的流量;
2500M以上海拨高度时加5%的流量。
比转速:ns




MBR计算公式



AAO进出水系统设计计算
一、曝气池的进水设计
初沉池的来水通过DN1000mm 的管道送入厌氧—缺氧—好氧曝气池首端的进水渠道,管道内的水流速度为0.84m/s。在进水渠道中污水从曝气池进水口流入厌氧段,进水渠道宽1.0m,渠道内水深为1.0m,则渠道内最大水流速度

式中:v1——渠内最大水流速度(m/s );
b1——进水渠道宽度(m);
h1——进水渠道有效水深(m)。
设计中取b1=1.0m,h1=1.0m
V1=0.66/(2×1.0×1.0)=0.33m/s
反应池采用潜孔进水,孔口面积
F=Qs/Nv2
式中:F——每座反应池所需孔口面积(m2);
v2——孔口流速(m/ s ),一般采用0.2~1.5 m/ s 。
设计中取v2=0.4 m/s
F=0.66/2×0.4=0.66m2
设每个孔口尺寸为0.5m×0.5m,则孔口数
N=F/f
式中:n——每座曝气池所需孔口数(个);
f——每个孔口的面积( m2 )。
n=0.66/0.5×0.5=2.64
取n=3
孔口布置图如下图图所示:

二、曝气池出水设计
厌氧—缺氧—好氧池的出水采用矩形薄壁堰,跌落出水,堰上水头

式中:H——堰上水头(m);
Q——每座反应池出水量(m3/s),指污水最大流量( 0.579m/s);与回流污泥量、回流量之和(0.717×160% m3/s);
m——流量系数,一般采用0.4~0.5;
b——堰宽(m);与反应池宽度相等。
设计中取m=0.4,b=5.0m

设计中取为0.19m。
厌氧—缺氧—好氧池的最大出水流量为(0.66+0.66/1.368×160%)=1.43m3/s,出水管管径采用DN1500mm,送往二沉池,管道内的流速为0.81m/s。

芬顿计算公式



相关资料推荐:
https://ziliao.co188.com/p63050800.html
知识点:水处理常用计算公式
0人已收藏
0人已打赏
免费4人已点赞
分享
中水处理回用
返回版块9852 条内容 · 214 人订阅
阅读下一篇
预中标结果揭晓!泗洪县污水处理厂项目仅2家投标,首创PK北控!备受关注的泗洪县城南污水处理厂迁建工程(一期)PPP项目迎来了预中标结果的揭晓,10方水务龙头通过资格预审的项目,最终参与投标的只有首创环保联合体和北控水务联合体两方。 预成交结果公示详情如下: 泗洪县城南污水处理厂迁建工程(一期)PPP项目 预成交结果公示 泗洪县城南污水处理厂迁建工程(一期)PPP项目于2022年7月13日至2022年7月19日在宿迁市政府采购网、宿迁市公共资源交易电子服务平台、江苏省政府采购网发布招标公告。
回帖成功
经验值 +10
全部回复(1 )
只看楼主 我来说两句 抢板凳资料·还可以,最好能上传分享一些附件计算书资料
回复 举报