主要论述了复合地基的基本特征,进一步说明了复合地基承载力主要由桩及桩间土承载力的发挥,通过试验推理论证了影响单桩承载力发挥系数及桩间土承载力发挥系数的因素,最后得出了基础刚度、褥垫层厚度及有无桩帽与复合地基承载力的关系。

等直径刚性桩的单桩承载力可以用(1)式表示,
Ra=f1(qsa、qpa,L、d ,C) (1)
式中,
qsa -桩侧阻特征值;
qpa -桩端阻特征值;
L-桩长;
d-桩径;
C-桩身强度。
即单桩承载力与桩侧桩端土的性状、桩的几何尺寸(桩长桩径)和桩身强度相关。
夯扩桩的单桩承载力可以用(2)式表示,
Ra=f2(qsa、qpa,L、d、D,C ) (2)
式中,
D-夯扩桩桩端扩大头直径。
即单桩承载力与桩身强度、桩侧桩端土的性状和桩的几何尺寸相关,桩的几何尺寸包括桩长、桩径和桩端扩大头直径。夯扩桩是靠增加桩端的断面面积提高单桩承载力,由于桩端断面增加量有限,单桩承载力增加量不大。
载体桩的单桩承载力可以用(3)式表示,
Ra=f3(qsa、qpa,L、d,C,ZT) (3)
式中,ZT-载体性状。
就是说单桩承载力与桩身强度、桩侧桩端土的性状和桩身几何尺寸、载体性状密切相关。载体性状包括被加固土挤密性、持力层土承载力、充填料材料组成及填料量、夯击能量大小,低塌落度混凝土投入量及形状。
由于载体具有加固土体和应力扩散作用,使得桩长、桩径大体相同条件下,载体桩比等直径桩和夯扩桩承载力高的多。
载体桩单桩承载力可参照《复合载体夯扩桩设计规程》J121-2001确定。应当指出,由于载体桩单桩承载力与载体性状密切相关,而载体性状由被加固土、持力层土、充填料材料构成及填料量、夯击能大小,低塌落度混凝土投入量及形状多种因素所决定。《复合载体夯扩桩设计规程》给出的计算表达式,只是供初步设计时的估算值,与实测值相比给出很高精度的计算值是困难的。或者说,载体桩单桩承载力主要靠现场静载试验确定。
三、复合地基承载力表达式
复合地基承载力可用如下表达式表示:

式中,
-复合地基承载力特征值;
-单桩承载力特征值;
-桩的断面面积;
-加固后桩间土承载力特征值;
-一根桩承担的面积;
-桩间土面积;
-面积置换率;
-分别为单桩承载力、桩间土承载力发挥系数,并有:

-分别为复合地基达到承载力时桩受的集中力和桩间土受的应力。
由(4)式可知,复合地基承载力由桩承载力和桩间土承载力组成。它的大小取决于桩和桩间土承载力的发挥。在荷载作用下,复合地基达到承载力时,桩、桩间土同时达到各自的承载力是最理想的。此时λ1=λ2=1。问题是什么条件下才能保证桩、桩间土同时达到各自的承载力,单桩承载力发挥系数λ1及桩间土承载力发挥系数λ2与哪些因素有关?
试验表明,对刚性桩复合地基,λ1、λ2与复合地基设计参数桩长、桩径、桩距、褥垫厚度、桩间土性状和基础刚度有关。其中,褥垫厚度与桩径之比(简称厚径比)和基础刚度最为显著。其它条件不变时,基础刚度越小λ1越小,厚径比越小λ1越大。
表1、表2给出了夯实水泥土桩、CFG桩复合地基,荷载达到复合地基承载力时桩、土承载力发挥系数。
表1夯实水泥土桩复合地基中桩、桩间土承载力发挥系数(p=fspk)

表2 CFG桩复合地基桩、土承载力发挥系数(p=fspk)
序号 |
桩数×桩长 |
置换率m |
褥垫厚cm |
桩径cm |
厚径比 |
λ1 |
λ2 |
1# |
9×3.2m |
0.064 |
10 |
15 |
0..667 |
0.74 |
1.13 |
2# |
9×3.2m |
0.064 |
10 |
15 |
0..667 |
0.82 |
1.12 |
3# |
1×1.6m |
0.064 |
10 |
15 |
0..667 |
0.8 |
1.06 |
4# |
4×3.2m |
0.028 |
10 |
15 |
0..667 |
0.69 |
1.15 |
5# |
1×1.6m |
0.064 |
50 |
15 |
3.333 |
0.37 |
1.11 |
6# |
1×3.2m |
0.064 |
5 |
15 |
0.333 |
1.54 |
0.61 |
7# |
1×11m |
0.031 |
20 |
400 |
0.500 |
0.87 |
1.15 |
由表1、表2可以看出:
(1)厚径比大于0.5时桩间土承载力都能充分发挥(由于桩对土的侧向约束作用,负摩擦区桩起阻止桩间土向下的变形,桩间土承载力发挥系数大于1是正常的)。
(2)厚径比越大、桩承载力发挥系数越小,当厚径比大于3时,桩承载力发挥系数不到0.4。
(3)厚径比小于0.333时桩间土不能充分发挥,发挥系数λ2只有0.61,而桩承载力发挥系数远大于1。
显然,褥垫厚度对桩、土承载力发挥系数的影响是非常显著的。
《建筑地基处理技术规范》JGJ79—2002用(5)式估算刚性桩复合地基承载力,
fspk=mRa/Ap+β(1-m)fsk (5)
式中,β取0.75~0.95,即假定λ1=1,λ2=0.75~0.95
工程实践表明,当褥垫厚度为1/2d(d为桩径)时,实测λ1<1而λ2≥1,但(5)式采用的是与实测值不一致的假定,即λ1=1,β=0.95,虽然计算的最后结果与实测值比较接近。但进一步积累资料,给出更能反应实际情况的λ1、λ2,会使复合地基承载力表达式得到进一步完善。
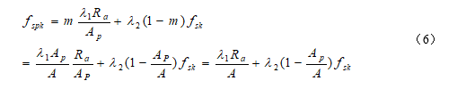
足够刚度基础下的载体桩复合地基,当λ1=const,λ2 =const时,载体桩无需在桩顶设桩帽。因为设置桩帽不能提高复合地基承载力。下面分别对带帽和无帽载体桩复合地基承载力公式做一推导。
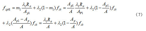
令一根桩分担的面积为A,桩的断面面积为Ap,置换率m=Ap/A;桩帽的断面面积为Ap1,置换率m1=Ap1/A ,载体桩单桩承载力为Ra,桩间土承载力为fsk ,无帽时载体桩复合地基承载力为:

带帽载体桩复合地基承载力为:

由(6)式、(7)式可知,当λ1=1时,有帽和无帽载体桩复合地基承载力是相同的。
有如下情况时宜选用带帽桩复合地基:
(1)单桩承载力高,常用褥垫厚度条件下,厚径比偏大,λ1小,桩承载力发挥不充分,可保持褥垫层厚度不变,增加桩顶直径,以获取较小的厚径比,使单桩承载力充分发挥。
(2)基础刚度较差,基础向桩上转移荷载的能力弱,可选用带帽桩。
(3)单桩承载力高,桩间土较差,可选用带帽桩和适度减少褥垫层厚度,更多地发挥桩的承载力,少发挥桩间土承载力,减少复合地基变形。
(4)单桩承载力高、桩距大,桩距与桩径之比偏大(大于规范规定限值5),选用带帽桩可使桩距与桩径之比在3~5的范围之内,保证桩、土共同工作。
参照CFG桩复合地基变形计算方法进行载体桩复合地基变形验算。
载体桩可参照复合载体夯扩桩及振动沉管CFG桩的施工方法进行。由于采用振动成桩工艺,整板基础须满堂布桩,新打桩对已打桩可产生不良影响,以及桩身为不放钢筋笼等特点,施工时应注意如下几点:
(1)监测新打桩对流动状态和已结硬的已打桩的影响(用水准仪测桩顶位移)。当已结硬的已打桩桩顶位移偏大时,桩身与低塌落度混凝土之间有可能已脱开,需采取相应措施。
(2)低塌落度混凝土部位的形状须做成上小下大的锥体,以有利应力扩散和减少低塌落度混凝土和夯实充填料脱开的可能性。
(3)成孔遇有硬土时,可采取预引孔措施,减少振动对已打桩的不良响。动力夯实可使松土振密,也可使密实土振松。当持力层为密实的硬土层时,充填料填量不宜过多和夯击能过大,防止将硬土夯松。
(4)混凝土塌落度宜选用3~5cm。在载体部位无地下水时,低塌落度凝土须掺入使水泥充分进行水化反应的用水量。
(5)当确认桩身与低塌落度混凝土交界处已脱开时,应采用逐桩静压的方法,将桩脱开的部位接起来。
七、结语
(1)载体桩由于采用锤击振动成桩工艺,具有挤密桩间土和夯实被加固土的作用,加上载体的应力扩散效应,载体桩具有等直径桩和夯扩桩承载力高的特点。
(2)载体桩复合地基由载体桩、桩间土、褥垫层和足够刚度的基础组成。足够刚度的基础具有向桩上转移荷载的能力;褥垫层厚度对桩、土承载力的发挥具有显著影响。厚径比越小,单桩承载力发挥系数越大。
(3)当单桩承载力发挥系数等于1时,载体桩设置桩帽不能提高复合地基承载力。
(4)采用带帽桩,在褥垫厚度不变条件下,通过增加桩帽的断面面积减小厚径比,增大单桩承载力发挥系数λ1,可提高复合地基承载力。
(5)载体桩施工时,通过监测新打桩对已结硬的已打桩的桩顶位移,可判定桩身与低塌落度混凝土交界处是否脱开,当确认桩身与低塌落度混凝土交界处已脱开时,应采用逐桩静压的方法,将桩脱开的部位接起来。
内容源于网络,如有侵权,请联系删除
相关资料推荐:
知识点:载体桩复合地基
0人已收藏
0人已打赏
免费5人已点赞
分享
结构资料库
返回版块41.29 万条内容 · 424 人订阅
阅读下一篇
夯实水泥土桩复合地基主要性状研究摘要: 夯实水泥土桩复合地基是一种新兴的能适用于多数场景的一种地基处理方式,由于其施工简单,强度较高被广泛应用。本文通过查阅相关论文文献,就目前夯实水泥土桩复合地基的研究中所关注的重点问题进行了细致的分析和总结归纳,主要是影响水泥土强度的因素、桩土应力比的影响因素、有效桩长问题、垫层作用等问题,其次是完善细化了水泥土桩在实际工程设计中的设计步骤,确定承载力计算及变形验算的方法,最后就仍需关注和重点研究解决的问题做了梳理。
回帖成功
经验值 +10
全部回复(0 )
只看楼主 我来说两句抢沙发