本文介绍单自由度弹性体系运动方程、多自由度弹性体系运动方程、振型分解法,这些内容是结构抗震设计的结构动力学基础。
1、单自由度弹性体系运动方程
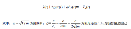
1)运动方程
根据达朗贝尔原理,得到单自由度体系的运动方程:

运动方程可以简化为:

2)运动方程的解
运动方程的解包括两部分,一是自由振动的齐次解,一是强迫振动的特解。
(1)齐次解


(2)特解
①瞬时冲量引起的自由振动


②杜哈密积分
由瞬时冲量概念出发,得到质点在地震作用下的强迫振动反应,即杜哈密积分:

2、多自由度弹性体系运动方程
1)运动方程

2)频率方程
以两自由度体系为例,由自由振动方程,并忽略阻尼的影响,可推导出频率方程:

3)振型
仍以两自由度体系为例,质点的位移不是独立的,即在结构振动过程中的任意时刻,这两个质点的位移比值始终保持不变,这种振动形式通常称为主振型,或简称振型。

需要说明,出现上述振动需要满足特定的初始条件,即各质点的初位移和初速度必须具有与主振型同样的比例关系,在一般条件下,任意质点的振动是各振型的叠加。
4)振型的正交性

由功的互动定理,得到多自由度体系任意两个振型对质量矩阵的正交性:{X}jT[m]{X}k=0;
进一步得到对刚度矩阵的正交性:{X}jT[k]{X}k=0。
3、振型分解法
1)坐标变换
多自由度体系的运动方程必须联立求解,为了简化计算,引入广义坐标qj(t),将位移向量写成以振型为基底、qj(t)为系数的累加和,将未知变量由位移转变为广义坐标。

2)独立方程的建立

3)独立方程的求解

4)振型参与系数的性质

内容源于网络,如有侵权,请联系删除
相关资料推荐:
知识点:运动方程及振型分解法
0人已收藏
0人已打赏
免费4人已点赞
分享
结构资料库
返回版块41.29 万条内容 · 424 人订阅
阅读下一篇
从结构设计的角度,梳理场地、地基和基础内容对于场地、地基和基础这部分内容,规划、地勘、地基处理、结构设计等专业的侧重点不同。本文从结构设计的角度出发,对相关的基本知识点进行梳理,包括场地选择、场地类别、天然地基和基础、液化土、桩基五个方面。 1、场地选择 《抗规》4.1.1条将建筑场地划分为有利、一般、不利和危险地段,具体见表4.1.1,比如,“地震时可能发生滑坡、崩塌、地陷、地裂、泥石流等及发震断裂带上可能发生地表位错的部位”划分为“危险地段”。
回帖成功
经验值 +10
全部回复(0 )
只看楼主 我来说两句抢沙发