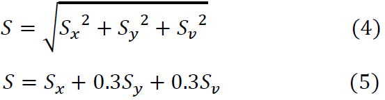
分别为x向和y向的地震波峰值地面加速度(参见图2)(公式等号右侧的1表示地面加速度峰值)。
(1)小震反应谱法
。
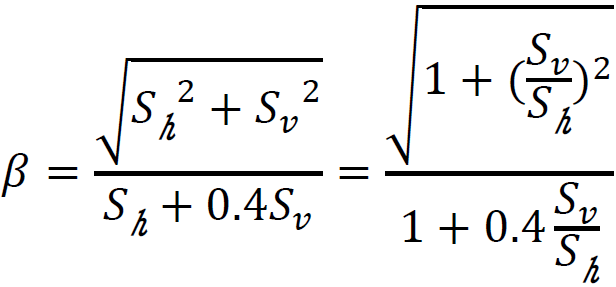
平方和开方法通常用于处理频率不相关的两个时程反应过程的和,可解释为有效值。考虑水平地震与竖向地震不是同时达到最大
值,抗规采用考虑组合系数的方法将?? 与 ??累加进行组合,组合值系数取1和0.4,即?=?
?
+0.4?
?
。
和??=?? +0.4??的数值差别,引入变量β

和?? +0.4??这两个公式是近似等效的。同理可推论得到如下三个公式近似等效:

(2)大震动力时程法
2.欧标EC8
(1)中震反应谱法

(2)中震动力时程法
3.结论及讨论
附:水平双向地震输入时地震波的峰值取值

图2双向水平地震波组合
,即当水平双向地震波共存时,单向峰值比例系数小于1,即当水平双向地震波共存时,单向峰值比例系数小于1,且遵循下式
,故总体大了 30%。由式(6)可以算出这个比例,即取???+(0.85??)?=1,得到这个比例为??:??=0.76:0.65。

图3双向对称结构

图 4双向偏心结构
算例
三层框架支撑结构


图 5 结构算例平面图和立面图

图6 算例计算模型

图7 余弦地震波

图8不同地震角度下的基底总扭矩
分析曲线,可得到如下结果:
相关资料推荐:
知识点:地震反应计算
0人已收藏
0人已打赏
免费9人已点赞
分享
结构资料库
返回版块41.29 万条内容 · 424 人订阅
阅读下一篇
地震作用计算的反应谱法反应谱法,计算简便,是结构地震作用计算的基本方法。该方法将结构所受的最大地震作用通过反应谱转化成作用于结构的等效荷载,然后根据这一荷载用静力分析方法求得结构的地震内力和变形,包括水平地震作用的底部剪力法和振型分解反应谱法,以及竖向地震作用的底部轴力法。 1、水平地震作用计算 1)底部剪力法 (1)适用范围 底部剪力法假定结构的地震反应以基本振型为主,地震作用沿高度倒三角形分布,因此这是一种简化方法,需要满足一定的适用条件,《抗规》
回帖成功
经验值 +10
全部回复(0 )
只看楼主 我来说两句抢沙发