本节内容主要讲解高负荷生物滤池部分内容。
高负荷生物滤池是生物滤池的一种形式,通过回流处理水和限制进水有机负荷等措施,提高水力负荷,解决堵塞问题。值得注意的是,高负荷生物滤池所指的高负荷是水力负荷,而不是有机负荷。
那高负荷生物滤池是如何实现高负荷的呢?答案是采取处理水回流的措施来实现高水力负荷,高负荷生物滤池处理水回流的作用有5项,分别如下所示。
1.稀释进水浓度,均化与稳定进水水质与水量波动;
2.增加水力负荷,及时冲刷过厚和老化的生物膜,加速生物膜的更新,抑制厌氧层发育,使生物膜保持活性,增大流动水层的紊流程度,可增加传质和有机污染物的去除率;
3.防止滤料堵塞;
4.抑制臭味及滤池蝇的过度孽生和减轻散发恶臭;
5.当进水缺氧、缺少营养元素或含有有害、有毒物质时,采取处理水回流可改善生物滤池的处理效果。
那高负荷生物滤池在什么情况下处理水才需要回流呢?主要有以下3种情况。
1.当生物滤池水力负荷小于规定的数值时,应采取回流;
2.当原水有机物浓度高于200mg/L或处理水达不到水质排放标准时,应采用回流;
3.污水中某种污染物在高浓度时可能抑制微生物生长的情况下,应考虑回流。
(1)一段高负荷生物滤池工艺(处理水回流位置:滤池后,二沉池前)
本工艺是应用比较广泛的高负荷生物滤池处理系统之一,生物滤池出水直接向滤池回流;由二次沉淀池向初沉池回流生物污泥。有助于生物膜的接种,促进生物膜的更新。此外,初沉池的沉淀效果由于生物污泥的注入有所提高。

▲处理水回流位置:滤池后,二沉池前
(2)一段高负荷生物滤池工艺(处理水回流位置:二沉池后)
本工艺的特点是处理水回流高负荷生物滤池前,可避免加大初次沉淀池的容积,生物污泥由二次沉淀池回流至初次沉淀池,以提高初沉池沉淀效果。

▲处理水回流位置:二沉池后
(3)一段高负荷生物滤池工艺(处理水和污泥同步回流至初沉池)
本工艺特点是处理水和生物污泥同步回流至初沉池,提高了初沉池的沉淀效果,也加大了高负荷生物滤池的水力负荷。提高初次沉淀池的负荷是本系统的缺点。

▲处理水和污泥同步回流至初沉池
(4)一段高负荷生物滤池工艺(不设二沉池)
本工艺特点是不设二沉池,滤池出水(含生物污泥)直接回流初沉池,提高初沉池的沉淀效果,初沉兼二沉池的作用。

▲不设二沉池
(5)二沉池污泥和部分出水全部回流至初沉池前端
本工艺的特点是处理水直接回流至初沉池,二沉池的生物污泥也直接回流初沉池,提高初沉池的沉淀效果,并加大了滤池的水力负荷。

▲二沉池污泥和部分出水全部回流至初沉池前端
(6)二段高负荷生物滤池工艺流程


总结以上工艺流程,我们可以发现一个共同点,就是不管是从二沉池回流的污泥还是从中间沉淀池回流的污泥,其回流位置都是到初沉池前端,目的是为了强化初沉池的沉淀效果,但是这种回流至初沉池前端的做法却不是传统意义上的“污泥回流”,因为在活性污泥法中的污泥回流的作用是为了补充生化池内的污泥浓度,而高负荷生物滤池的污泥回流至初沉池,作用是为了强化混凝沉淀效果,两者不要混淆。
1.滤池个数不少于2个;
2.布水多采用旋转布水器;
3.设计常采用负荷法;
4.进水BOD5浓度不大于200mg/L,否则采用处理水回流稀释;
5.设计时一般以冬季污水平均温度作为计算水温;
6.进水流量按平均日污水量计算。
7.《室外排水设计规范》6.9.36规定高负荷生物滤池宜采用碎石或塑料制品作填料,当采用碎石类填料时,应符合下列要求:①滤池下层填料粒径宜为70~100mm,厚0.2m;上层填料粒径宜为40~70mm,厚度不宜大于1.8m;②处理城镇污水时,正常气温下,水力负荷以滤池面积计,宜为10~36m3/(m2?d);五日生化需氧量容积负荷以填料体积计,宜小于1.8kgBOD5/(m3?d)。
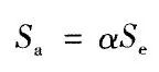
对于高负荷生物滤池来说,其案例计算有以下几个考点,首先是确定进水BOD5值,如果该值大于200mg/L,则先对来水进行稀释处理,稀释后的BOD5值计算公式如下所示。

▲秘五教材公式13-1
1.Se——滤池处理后出水的BOD5值,mg/L;
2.Sa——进入滤池污水的BOD5值,mg/L;

然后就是计算出水回流的稀释倍数n,按照以下公式进行计算。式中S0指原污水的BOD5值,单位为mg/L。

▲秘五公式13-2
最后是BOD5容积负荷的选取,按照下表进行。

▲高负荷生物滤池(人工塑料滤料)的容积负荷,秘五教材表13-3
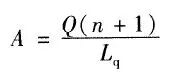
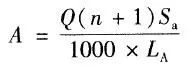
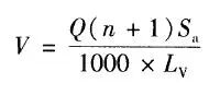
高负荷生物滤池的容积计算方法有以下三种:BOD5容积负荷法、BOD5面积负荷法、表面水力负荷法。各自计算公式如下所示。

▲BOD5容积负荷法,秘五教材公式13-6

▲BOD5面积负荷法,秘五教材公式13-8

▲表面水力负荷法,密五教材公式13-10
那对于生物滤池的校核,采用《室外排水设计规范》中的有关规定,对普通生物滤池、高负荷生物滤池、塔式生物滤池各自给出了表面水力负荷和五日生化需氧量容积负荷,以一种负荷设计,用另一种负荷校核即可。
生物滤池的自然供氧是在自然条件下通过池内外的空气流通,使氧转移到污水中,继而从污水扩散传递到生物膜内部而实现。影响生物膜通风状况的主要因素有滤池内外温差、风力、滤料类型及污水布水量等。滤池内外温差能决定空气在滤池内的流速与流向等,以下是表达池内外温差与空气流速的经验关系式:

由上市可知,当滤池内外温差2℃时,v=0,空气流通停止,在一般情况下,滤池内外温差6℃,按上式计算得v=0.3m/min=432(m3空气/m3滤料?d)。因每立方米空气中氧气含量为0.28kg,则向生物膜提供的氧量约为121kg,若考虑氧气的利用效率为5%,则实际上能利用的氧量为6.06kg,当考虑到每立方米滤料BOD的符合率为1.2kg/d、去除率为90%时,可计算得每立方米滤料需氧量为1.94kgO2/(m3滤料?d),可见供氧量是充足的,运行正常、通风良好的生物滤池在供氧上是不存在问题的。
本节高负荷生物滤池是考试中的一个重点内容,不仅仅局限于案例出题,只是选择题中也是出题点之一,所以需要大家认真掌握以下6点。
1.高负荷生物滤池所指的高负荷是水力负荷,而不是有机负荷。
2.高负荷生物滤池的进水BOD照样有要求,大于200mg/L就需要回流。
3.高负荷生物滤池的回流污泥点和活性污泥法污泥回流的区别。
4.高负荷生物滤池稀释倍数、稀释后BOD值。
5.高负荷生物滤池的容积计算方法有以下三种:BOD5容积负荷法、BOD5面积负荷法、表面水力负荷法,以及各自计算公式。
6.生物滤池自然供氧能够满足工艺对于氧气的需求。
相关资料推荐:
https://ziliao.co188.com/d63789490.html
知识点:高负荷生物滤池相关设计计算原则
0人已收藏
0人已打赏
免费3人已点赞
分享
市政给排水
返回版块23.68 万条内容 · 858 人订阅
阅读下一篇
平流式、竖流式、辐流式、斜板式4大沉淀池构型本节主要讲解四种沉淀池的具体构型应用及设计,包括平流沉淀池、竖流沉淀池、辐流沉淀池和斜板沉淀池。 01 平流式沉淀池 ▲平流式沉淀池结构 关于平流式沉淀池,其分为5个区,分别如下所示:进水区、沉淀区、缓冲区、污泥区、出水区。 ▲沉淀池5区分类示意图 关于平流式沉淀池的排泥,有两种方式:重力排泥和机械排泥,其中重力排泥采用单管或者多管排泥,而机械排泥多用于初沉池。
回帖成功
经验值 +10
全部回复(0 )
只看楼主 我来说两句抢沙发