土木在线论坛 \ 给排水工程 \ 建筑给排水 \ 给排水——热水管网的水力计算(一)

给排水——热水管网的水力计算(一)

发布于:2022-08-30 11:37:30 来自:给排水工程/建筑给排水 [复制转发]
热水管网的水力计算是在完成热水供应系统布置,绘出热水管网系统图及选定加热设备后进行的。

水力计算的目的是:
计算第一循环管网(热媒管网)的管径和相应的水头损失;
计算第二循环管网(配水管网和回水管网)的设计秒流量、循环流量、管径和水头损失;
确定循环方式,选用热水管网所需的各种设备及附件,如循环水泵、疏水器、膨胀设施等。
第一循环管网的水力计算:
1.热媒为热水:
以热水为热媒时,热媒流量G按公式(8-8)计算。
热媒循环管路中的配、回水管道,其管径应根据热媒流量G、热水管道允许流速,通过查热水管道水力计算表确定,并据此计算出管路的总水头损失Hh。热水管道的流速,宜按表8-45选用。
图片
当锅炉与水加热器或贮水器连接时,如图8-12所示:
图片
热媒管网的热水自然循环压力值Hzr按式(8-35)计算:
图片
式中:Hzr—热水自然循环压力,Pa;
Δh—锅炉中心与水加热器内盘管中心或贮水器中心垂直高度,m;
p1—锅炉出水的密度,kg/m3;
p2—水加热器或贮水器的出水密度,kg/m3。
当Hzr>Hh时,可形成自然循环,为保证运行可靠一般要求(8-36):
图片
当Hzr不满足上式的要求时,则应采用机械循环方式,依靠循环水泵强制循环。循环水泵的流量和扬程应比理论计算值略大一些,以确保可靠循环。
2.热媒为高压蒸汽:
以高压蒸汽为热媒时,热媒流量G按公式(8-6)或(8-7)确定。
热媒蒸汽管道一般按管道的允许流速和相应的比压降确定管径和水头损失。高压蒸汽管道的常用流速见表8-13。
图片
确定热媒蒸汽管道管径后,还应合理确定凝水管管径。
第二循环管网的水力计算:
1.配水管网的水力计算
配水管网水力计算的目的主要是根据各配水管段的设计秒流量和允许流速值来确定配水管网的管径,并计算其水头损失值。
(1)热水配水管网的设计秒流量可按生活给水(冷水系统)设计秒流量公式计算。
(2)卫生器具热水给水额定流量、当量、支管管径和最低工作压力同给水规定。
(3)热水管道的流速,宜按表8-12选用。
(4)热水管网水头损失计算
热水管网中单位长度水头损失和局部水头损失的计算,与冷水管道的计算方法和计算公式相同,但热水管道的计算内径dj应考虑结垢和腐蚀引起过水断面缩小的因素,管道结垢造成的管径缩小量见表8-14。
图片
热水管道的水力计算,应根据采用的热水管道材料,选用相应的热水管道水力计算图表或公式进行计算。使用时应注意水力计算图表的使用条件,当工程的使用条件与制表条件不相符时,应根据有关规定作相应修正。
1)当热水管采用交联聚乙烯(PE-X)管时,其管道水力坡降值可采用式(8-37)计算:
图片
式中:i—管道水力坡降,kPa/m或0.1mH2O/m;
q—管道内设计流量,m3/s;
dj—管道计算内径,m。
如水温为60℃时,可以参照图8-3的PE-X管水力计算图选用管径。
图片
如水温高于或低于60℃时,可按表8-15修正。
图片
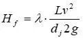
2)当热水管采用聚丙烯(PP-R)管时,水头损失计算公式如下:
图片
式中:Hf—管道沿程水头损失,m;
λ—沿程阻力系数;
L—管道长度,m;
dj—管道计算内径,m;
v—管道内水流平均速度,m/s;
g—重力加速度,m/s2,一般取9.81m/s2。
设计时,可以按式(8-38)计算,也可以查附录8-1、8-2进行计算。
2.回水管网的水力计算
回水管网水力计算的目的在于确定回水管网的管径。
回水管网不配水,仅通过用以补偿配水管热损失的循环流量。回水管网各管段管径,应按管中循环流量经计算确定。初步设计时,可参照表8-16选用。
图片
为保证各立管的循环效果,尽量减少干管的水头损失,热水配水干管和回水干管均不宜变径,可按其相应的最大管径确定。
3.机械循环管网的计算
第二循环管网由于流程长,管网较大,为保证系统中热水循环效果,一般多采用机械循环方式。机械循环又分为全日热水供应系统和定时热水供应系统两类。
机械循环管网水力计算的目的是在确定了最不利循环管路即计算循环管路和循环管网中配水管、回水管的管径后进行的,其主要目的是选择循环水泵。
(1)全日热水供应系统热水管网计算
计算方法和步骤如下:
1)计算各管段终点水温,可按下述面积比温降方法计算:
图片
式中:Δt—配水管网中计算管路的面积比温降,℃/m2;
ΔT—配水管网中计算管路起点和终点的水温差,按系统大小确定,一般取ΔT=5~10℃;
F—计算管路配水管网的总外表面积,m2;
Σf—计算管段终点以前的配水管网的总外表面积,m2。
tc—计算管段的起点水温,℃;
tz—计算管段的终点水温,℃。
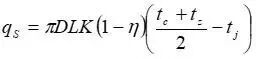
2)计算配水管网各管段的热损失,公式(8-41)如下:
图片
式中:qs—计算管段热损失,W;
D—计算管段外径,m;
L—计算管段长度,m;
K—无保温时管道的传热系数,W/(m2·℃);
—保温系数,无保温时=0,简单保温时 =0.6,较好保温时 =0.7~0.8;
tc、tz——同公式(8-40);
tj—计算管段周围的空气温度,℃,可按表8-17确定。
图片
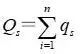
3)计算配水管网总的热损失
将各管段的热损失相加便得到配水管网总的热损失 ,即:
图片
初步设计时,也可按设计小时耗热量的3%~5%来估算,其上下限可视系统的大小而定:系统服务范围大,配水管线长,可取上限;反之,取下限。
4)计算总循环流量
求解Qs的目的在于计算管网的循环流量。循环流量是为了补偿配水管网在用水低峰时管道向周围散失的热量。保持循环流量在管网中循环流动,不断向管网补充热量,从而保证各配水点的水温。管网的热损失只计算配水管网散失的热量。
将 Qs 代入式(8-42)求解全日供应热水系统的总循环流量qx:
图片
(8-42)
式中:qx—全日热水供应系统的总循环流量,L/s。
Qs—配水管网的热损失,W;
C—水的比热,C = 4187J/ (kg?℃);
△T—同公式(8-39),其取值根据系统的大小而定;
pr—热水密度,kg/L;
5)计算循环管路各管段通过的循环流量
在确定qx后,可从水加热器后第1个节点起依次进行循环流量分配,以图8.4.3为例,通过管段Ⅰ的循环流量q1x ,即为qx 。用以补偿整个配水管网的热损失,流入节点1的流量q1x用以补偿1点之后各管段的热损失 ,即qAS+qBS+qCS+qⅡS+qⅢS,q1x又分流入A管段和Ⅱ管段,其循环流量分别为qAx和qⅡx。根据节点流量守恒原理:q1x=q1x ,qⅡx=qⅠx-qAx。qⅡx补偿管段Ⅱ、Ⅲ、B、C的热损失,即qⅡS+qⅢS+qBS+qCS,qAx补偿管段A的热损失qAS。
图片

相关资料推荐:

多热源环状热水管网的水力计算与分析

https://ziliao.co188.com/p63411587.html



知识点:热水管网的水力计算


全部回复(0 )

只看楼主 我来说两句抢沙发
这个家伙什么也没有留下。。。

建筑给排水

返回版块

47.29 万条内容 · 1372 人订阅

猜你喜欢

阅读下一篇

浅谈建筑给排水管道设计应用

1.管线综合布置方式和原则 住宅小区直埋电力、电信、热力、燃气等管线或地下管沟等进行管线综合。平面上,防止各种设计管线互相抢位,严格按规范确定各种管线的水平位置,以便为以后管线改建或扩建或维修留有足够空间,各种管线的高程应从上而下依次确定,考虑小区排水管高程与区外市政排水管道的衔接和检修可行性。此外,小区地势平缓,管道施工过程中可能出现一些偏差,所以,污、雨水管道的管径和坡度适当加大,确保污、雨水快捷通畅的排入区外城市主干管。另外,施工前最后实测一下要接入的市政排水管井高度,确保能顺坡接入。

回帖成功

经验值 +10