知识点:电压变换器
LM2660CMOS电荷泵电压转换器是一种多功能的无调节开关电容逆变器或倍频器。
在1.5V到5.5V的宽电源电压范围内工作,LM2660使用两个低成本电容器提供100毫安的输出电流,而与基于电感器的转换器相关的成本、尺寸和电磁干扰无关。
LM2660的工作电流仅为120?A,在大多数负载下工作效率大于90%,为电池供电的系统提供了理想的性能。
LM2660器件可以直接并联运行以降低输出阻抗,从而在给定电压下提供更大的电流。
FC(频率控制)引脚可选择标称10 kHz或80 kHz之间的频率振荡器。
振荡器的频率可以通过在OSC管脚上增加一个外部电容器来降低。
此外,OSC引脚可用于驱动具有高达150khz的外部时钟的LM2660。通过这些方法,可以控制输出纹波频率和谐波。
另外,LM2660可以被配置成将正输入电压精确地分为两半。在这种模式下,可以使用高达11V的输入电压。
1)引脚功能图

2)引脚功能说明
① FC(Pin1)。
内部振荡器的频率控制,FC悬空时,fOSC=10KHz(典型值);
FC = V+时,fOSC=80KHz(典型值),OSC引脚由外部驱动时FC不起作用。
② CAP+(Pin2)/ CAP-(Pin4)。
分别连接电荷泵电容的正负引脚。
③ GND(Pin3)。
用作电压反向器(逆变器)接地;用作电压双倍器时连接正向的供电电压。
④ OUT(Pin5)。
用作电压反向器,用作负电压输出;用作电压双倍器时接地。
⑤ LV(Pin6)。
用作电压反向器,作为低压操作输入。当输入电压低于3.5V时,将LV连接到GND。高于3.5V,LV可以连接到GND或保持打开。当用外部时钟驱动OSC时,低压必须接地;用作电压双倍器时,OSC要用OUT接到一起。
⑥ OSC(Pin7)。
用作电压反向器,作为振荡器控制输入。OSC连接到内部15 pF电容器。可以连接一个外部电容器来减慢振荡器的速度。此外,还可以使用外部时钟来驱动OSC;用作电压双倍器时,与逆变器相同,但OSC不能由外部时钟驱动。
⑦ V+(Pin8)。
用作电压反向器,正向接供电电压;用作电压双倍器作为正电压输出。
1)电压反向器电路
电压从V+引脚输入,输入电压范围为1.5V-5.5V,从OUT输出输出电压为-5.5V到-1.5V。

LM2660的主要应用是产生负电源电压。电压变换器电路仅使用两个外部电容器,如基本应用电路中所示。
输入电源电压的范围是1.5V到5.5V。对于小于3.5V的电源电压,LV引脚必须接地以绕过内部调节器电路。这在低压应用中提供了最佳性能。如果电源电压大于3.5V,LV可以接地或保持开路。
选择保持低压开启简化了LM2660,可以直接替代LMC7660开关电容电压转换器。
该电路的输出特性可以用一个理想电压源和一个电阻串联来近似。
电压源等于?(V+)。输出电阻路径是内部MOS开关导通电阻、振荡器频率、C1和C2的电容和ESR的函数。
2)双倍电压转换器电路
从GND输入电压,输入电压范围2.5V-5.5V,从V+输出两倍的输入。

LM2660可以作为正电压倍增器工作。双倍功能是通过反向连接到设备来实现的。
输入电压施加在GND引脚上,允许电压范围为2.5V至5.5V。V+引脚用作输出。低压引脚和输出引脚必须接地。在此操作模式下,OSC引脚不能由外部时钟驱动。
空载输出电压是输入电压的两倍,并且不会因二极管D1的正向压降而降低。
肖特基二极管D1仅用于启动。内部振荡器电路使用V+引脚和LV引脚(在倍压电路中接地)作为其电源轨。V+和LV之间的电压必须大于1.5V,以确保振荡器的工作。
在启动过程中,D1被用来在V+管脚上充电,以启动振荡器;同时,它还可以保护设备不打开自己的寄生二极管和潜在的闭锁。因此,肖特基二极管D1应具有足够的载流能力,以便在启动时对输出电容器进行充电,以及一个低的正向电压,以防止内部寄生二极管导通。
肖特基二极管如1N5817可用于大多数应用。如果输入电压斜坡小于10V/ms,则可以使用较小的肖特基二极管(如MBR0520LT1)来减小电路尺寸。
3)输入电压减半电路
从V+输入电压,输入范围为1.5V-11V,从GND输出一半的输入。

在基本应用电路中显示的另一个有趣的应用是使用LM2660作为精密分压器。由于每个开关的关断电压等于VIN/2,所以输入端电压可以到+11V。
1)LM2660功能说明
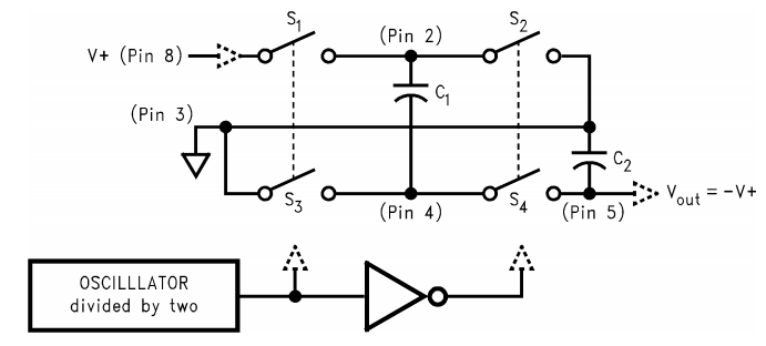
LM2660包含四个大的CMOS开关,它们按顺序切换以反转输入电源电压。

能量传输和储存由外部电容器提供。上图说明了电压转换方式。
当S1和S3闭合时,C1向电源电压V+充电。在此时间间隔内,开关S2和S4断开。
在第二个时间间隔内,S1和S3打开,S2和S4关闭,C1充电C2。经过若干次循环后,C2上的电压将被泵送至V+。
由于C2的阳极接地,因此假设C2上没有负载,开关中没有损耗,电容器中没有ESR(等效串联电阻),C2阴极的输出等于-(V+)。
实际上,电荷转移效率取决于开关频率、开关的导通电阻和电容器的ESR。
2)ESR补充
ESR为等效串联电阻的意思,英文Equivalent Series Resistance。
带ESR的芯片或器件串联会增大ESR,并联会减小ESR。
理论上,一个理想的电容,自身不会产生任何能量损失,但是实际上,因为制造电容的材料有电阻,电容的绝缘介质会有所损耗。
通常认为电容上面电压不能突变,当突然对电容施加一个电流,电容因为自身充电,电压会从0开始上升。但有了ESR,电阻自身会产生一个压降,这就导致了电容器两端的电压会产生突变。这会降低电容的滤波效果,所以在高质量的电源应用中,都使用低ESR的电容器。
通常的钽电容的ESR通常都在100毫欧以下,而铝电解电容则高于这个数值,有些种类电容的ESR甚至会高达数欧姆。
ESR值与纹波电压的关系可以用公式V=R(ESR)×I表示。这个公式中的V就表示纹波电压,而R表示电容的ESR,I表示电流。可以看到,当电流增大的时候,即使在ESR保持不变的情况下,纹波电压也会成倍提高。
ESR引发的故障通常很难检测,而且ESR的影响也很容易在设计过程中被忽视。在仿真的时候,如果无法选择电容的具体参数,可以尝试在电容上人为串联一个小电阻来模拟ESR的影响。
相关推荐链接:
0人已收藏
0人已打赏
免费1人已点赞
分享
成套电气设备
返回版块15.97 万条内容 · 620 人订阅
阅读下一篇
罗斯蒙特温度变送器安装注意事项?知识点:温度变换器 罗斯蒙特温度变送器采用热电偶、热电阻作为测温元件,从测温元件输出信号送到变送器模块,经过稳压滤波、运算放大、非线性校正、V/I转换、恒流及反向保护等电路处理后,转换成与温度成线性关系的4~20mA电流信号输出,从而显示出对应的温度。那么,你知道如何正确安装吗?在安装的过程中又有哪些问题需要注意的。 压力变送器主要有电容式压力变送器和扩散硅压力变送器,陶瓷压力变送器,应变式压力变送器等。压力变送器根据测压范围可分成一般压力变送器(0.001MPa~35MPa)和微差压变送器(0~1.5kPa),负压变送器三种。
回帖成功
经验值 +10
全部回复(2 )
只看楼主 我来说两句抢地板资料很不错,谢谢分享!
回复 举报
资料很不错,能分享就是最大贡献
回复 举报