知识点:电介质
电介质的电气特性主要表现为它们在电场作用下的导电性能、介电性能和电气强度,可以用四个主要参数表示:电导率(或绝缘电阻率)、介电常数、介质损耗角正切和击穿电场强度。 前三个参数表征弱电场下,电介质的极化、电导和介质损耗等;第四个参数表征强电场下的放电、闪络以及击穿等。本文主要讲述弱电场下电介质的极化、电导和损耗。
(1)电矩:电偶极矩的简称。在物理学里,电偶极矩衡量正电荷分布与负电荷分布的分离状况,即电荷系统的整体极性。
(2)偶极子:
指相距很近的符号相反的一对电荷,一个带有电荷 +q,另一个带有电荷?q 。相距为r 时,偶极子的电偶极矩为:
其中 r 是从负电荷指向正电荷的位移向量,如下图所示:
电介质根据分子的极性可以分为极性电介质和中性电介质两种。极性电介质中,分子的正电荷中心与负电荷中心不重合,例如下图的Hcl和H2o。要注意的是,虽然每个分子的等效电偶极矩不为零,但电介质总体上是呈中性的。
中性电介质中,分子的正电荷中心与负电荷中心重合。此时,分子的等效电偶极矩为0,电介质整体也是呈中性的。
电介质的极化是指电介质在电场的作用下,其束缚电荷相应于电场方向产生弹性位移和偶极子的转向。下图为中性电介质中发生弹性位移的示意图,电场作用下电荷中心发生偏移:
b. 各向同性的均匀电介质极化时只在其表面出现面极化电荷。
极化的强弱用介电常数的大小来表示
,与电介质分子的极性强弱有关,还受到温度和外加电场频率等因素的影响。
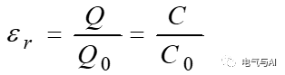
以不同电介质形成的平行板电容器电容量变化为例,介绍相对介电常数的概念。下图中所示的平行板电容器,施加直流电压后,会在极板间的电介质表面产生束缚电荷,在电极上感应出异号的电荷,使得等效的电容量也发生变化。使用不同的电介质,等效的电容量也不一样。
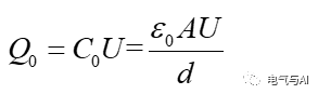
假设在插入电介质之前电极之间是真空的,电容器的带电量为Q
0
,插入之后带电量为Q,可以用下式计算得到:
相对介电常数是综合反映电介质极化特性的一个物理量,下表列出了常见电介质在20℃时工频电压下的相对节点常数值。气体介质由于密度很小,相对介电常数接近于1,而固体和液体介质的大多在2-6之间。
在外电场E的作用下,介质原子钟的电子运动轨道将相对于原子核发生弹性位移。
电子式极化存在于一切电介质中;极化所需的时间极短,约10^-15 s ;属弹性位移,没有能量损耗;相对介电常数不随频率变化。
发生于离子式结构的固体无机化合物中,是在电场的作用下,正负离子发生弹性位移的现象,所需要的时间也很短10^-13s。极化具有弹性,无能量损耗。相对介电常数会随着温度升高而增大。
发生于极性电介质中,例如胶木、橡胶、纤维素、蓖麻油、氯化联苯等。不存在外电场时,这些偶极子因热运动而杂乱无序地排列着,宏观电矩等于零,整个介质对外并不表现出极性。当施加外电场后:偶极子沿电场方向转动,作较有规则的排列,因而显出极性,这种极化称为偶极子极化或转向极化。
偶极子极化是非弹性的,极化消耗能量;极化所需时间较长(10^-10~10^-2s),相对介电常数与电源频率有很大关系;温度过高或过低,相对介电常数参数都会减小。
不同介电常数和电导率的多种电介质组成的绝缘结构,在外部电场作用下,各层电压从开始按介电常数分布逐渐过渡到稳态时按电导率分布。在电压分配的过程中,夹层上会积聚一些电荷,使得整个介质的等值电容增大,这种极化称为夹层介质界面极化(夹层极化)。
以下图的平行板电极间的双层电介质为例作说明,右边为等效的电路图。
假设C
1
<C
2
,而R
1
<R
2
,而且
t=0时:U
1
>U
2
;t=∞时:U
1
<U
2
。
则从初始时刻到稳态,U1下降而U2 增高,这意味着电容C
1
要通过电阻R1放掉一部分电荷,而C
2电容要通过电阻
R
2
补充
一部分电荷,分界面上将积聚一批多余的空间电荷,这就是夹层极化引起的吸收电荷,电荷积聚过程形成的电流称为吸收电流。这种极化现象存在于复合介质、不均匀介质中,极化过程很缓慢,只在直流和低频交流下表现出来。因为,存在电荷积聚和移动,极化伴随着能量损耗。
为便于比较,将上述各种极化特征列为下表(这里分析了电子式和离子式的位移极化,还有另一种松弛极化是需要消耗能量的,松弛极化存在于特殊的玻璃或者陶瓷中):
√ 对于电容器,若追求同体积条件有较大电容量,要选择εr较大的介质;
√ 对于电缆,为减小电容电流,要选择εr较小的介质。
(2)在交流及冲击电压作用下,要注意各种材料的εr值的配合:
√ 对于多层介质,各层电场强度分布与其εr成反比;
√ 要注意选择εr,绝缘强度大的承担高场强,使各层介质的电场分布较均匀,从而达到绝缘的合理利用。
(3)极化类型影响介质损耗,从而影响绝缘劣化和热击穿
极化形成和介质损耗有关,要掌握不同极化类型对介质损失的影响。
任何介质都不同程度地具有一定的导电性。在电场的作用下,带电粒子沿电场方向移动形成传导(电导)电流。表征电介质导电性能(电导)的主要物理量为电导率γ。在高电压工程中一般常用电阻率ρ来表征介质的绝缘电阻,它和电导率成倒数关系。
电介质的电导按照载流子的不同主要包括电子电导和离子电导两种;电介质中自由电子数量较少,电子电导非常微弱;所以电介质的电导主要是离子电导。
液体中还存在电泳电导,载流子为带电的分子团,主要为乳化状态的胶体粒子。
(1)影响电流的因素:电介质中由离子数目决定,对所含杂质、温度很敏感;金属中主要由外加电压决定,杂质、温度不是主要因素。
(2)带电质点:电介质中为离子(固有离子,杂质离子);金属中为自由电子;
(3)电导率的数量级:绝缘材料的电阻率通常在10^8~10^20Ωm之间,电介质的γ 小,泄漏电流小;金属导体的电阻率:10^-8~10^-4Ωm,金属的电导电流很大。
(4)电阻率和温度的关系:温度升高,液体和固体电介质的γ增大,电阻率具有负的温度系数;金属的电阻率具有正的温度系数。
(1)在绝缘预防性试验中,以绝缘电阻值判断绝缘是否受潮或有其他劣化现象。一般电介质都可以用如图所示的等效电路来代表:
如绝缘良好,则R和r的值都比较大:不仅使稳定的绝缘电阻值(就是R的值)较高;而且要经过较长的时间才能达到此稳定值。如绝缘受潮,或存在穿透性的导电通道:不仅最后稳定的绝缘电阻值R很低;而且还会很快达到稳定值。
因此,可以用绝缘电阻随时间变化的关系来反映绝缘的状况。通常用加压60s测量的绝缘电阻与加压15s测量的绝缘电阻的比值(称为吸收比)可以有效地判断绝缘的好坏,即:
温度在10~30℃时,吸收比K>1.3为合格,上面的那条曲线对应的是绝缘良好的电介质,下面那条为绝缘损坏后的电介质。
(2)多层介质在直流电压下,电压分布与电导成反比,故设计用于直流的设备要注意所用介质的电导,应使材料使用合理。
(3)不是所有的情况下均要求绝缘电阻值高,有些情况下要设法减小绝缘电阻值。如在高压套管法兰附近涂半导体釉,高压电机定子绕组出槽口部分涂半导体釉等,都是为了改善电压分布,消除电晕。
(4)设计时要考虑绝缘的使用环境,特别是湿度的影响。有时需要作表面防潮处理,如在胶布(或纸)筒外表面刷环氧漆,绝缘子表面涂硅有机物或地蜡等。
电介质在电场作用下的能量损耗简称介质损耗,包括由电导引起的损耗和由某些极化过程引起的损耗。
直流电压作用下,没有周期性的极化过程,介质损耗主要表现为电导损耗,用体积电导率和表面电导率表征就可以。交流电压作用下,同时存在电导和极化损耗,能量损耗包括有功和无功两部分,通常将有功功率损耗部分称为介质损耗。
其中,C
1
支路代表无损极化,C
2
-R
2
支路代表有损极化,R
3
支路代表电导损耗。
在上述三支路等效电路中,施加直流电压时,电介质中流过的电流逐渐衰减为零的现象称为吸收现象。该电流可以分为充电电流、吸收电流和传导电流三部分,如下图所示。
充电电流在加压瞬间数值很大,但迅速下降到零,是存在时间短暂的充电电流;吸收电流则随着加压时间增长而逐渐减小,比充电电流的下降要慢得多,需要数十分钟才衰减到零;泄漏电流是长期存在的电流分量。表示直流电压作用下,流过电介质的总电流随时间变化的曲线,称为吸收曲线。
交流电压作用下,三部分电流都会长期存在,这时候总电流变成三者的向量和,如下图所示,吸收电流可以分解成无功和有功两部分:
介质损耗角 δ 为功率因数角 φ 的余角。其正切 tgδ 又可称为介质损耗因数,常用百分数(%)来表示。
以上三支路等效电路可以进一步简化为电阻、电容的并联等值电路或串联等值电路。不过要注意的是,所述等值电路只有计算上的意义,不能确切地反映介质的物理过程。
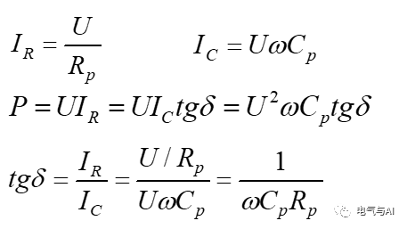
若介质损耗主要由电导所引起,常采用并联等值电路;
并联等值电路以及电流向量图如下图所示:
通过以下计算式可以得到介质损耗以及介质损耗角正切的计算公式:
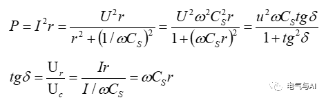
如果介质损耗主要由极化所引起,则通常采用串联等值电路。
因此,在测量
tgd时设备的电容量计算公式与采用哪一种等值电路有关。但由于绝缘的
tgd一般很小,
1+tg2d?1,故
Cp?CS。此时,并、串联等值电路的介质损耗表达式可用同一公式表示:
P=U2 w C tgd。
介质损耗P值和试验电压U、试品等值电容量、电源频率等许多因素有关,所以不方便通过P值大小反应介质损耗特性。而
tg
d 是一个仅取决于材料本身的损耗特征,而与上述种种因素无关的物理量,所以通常用
tg
d 来反映介质损耗特性优劣。
气体的
tgδ随外加电压的变化如下图所示,当电场强度不足以产生碰撞电离时,气体中的损耗是由电导引起的,损耗极小(tgδ<10^-8)。但当外施电压U 超过电晕起始电压U
0时,将发生局部放电,损耗急剧增加。

气体的局部放电通常发生在固体或液体介质中存在的气泡中。因为固体液体的相对介电常数比气体介质大很多,使得即使外加电压不高时,气泡中也会出现很大电场强度导致局部放电。
3.5 液体介质的损耗
中性或弱极性液体介质:主要是电导损耗,极化损耗较小。介质损耗角正切与温度、电场强度等因素的关系如下图所示。

极性液体及极性和中性液体的混合油:同时存在电导和极化损耗,所以损耗较大,而且和温度、频率都有关系。介质损耗角正切和温度的关系如下图所示。0-t1 阶段,温度升高,液体粘度减小,偶极子极化增强,极化损耗和电导损耗都增加,在t1达到极大值;t1-t2阶段,温度升高,分子热运动加快,妨碍偶极子沿电场有序排列,极化强度减弱,极化损耗减小超过电导损耗的增加,在t2处达到极小值;t2以后,电导损耗占主要部分,而且随温度升高急剧上升。

介质损耗角正切和介电常数随频率变化的曲线如下图,当频率较小时,偶极子的转向完全能跟上电场的变化,极化充分发展,此时介电常数最大。但偶极子单位时间的转向不多,极化损耗小,tanδ也小。当频率很小时,因为电容电流减小,tanδ稍有增加。随着频率的增大,转向极化逐渐跟不上电场的变化,转向极化不充分,介电常数开始下降。但由于转向频率增大,转向导致的极化损耗增大,但电容电流不与频率成正比增大,会在某些频率范围,使得tanδ增加。频率更高时,转向极化跟不上电源频率,损耗功率趋于恒定,介电常数也达到较低的稳定值,电容电流与频率成比例增长,于是tanδ减小。

3.6 固体介质的损耗
固体介质种类较多,损耗情况也比较复杂,需要分类介绍:
中性固体介质如石蜡、聚苯乙烯等,其损耗主要由电导引起,tanδ通常很小。
极性固体介质如纸、聚氯乙烯、有机玻璃等,既有电导损耗也有极化损耗,故tanδ值较大。
离子式结构的固体介质,其tanδ与结构特性有关:结构紧密且不含使晶格畸变的杂质的离子晶体,如云母,其损耗主要由电导引起,tanδ极小。结构不紧密的离子结构中,存在有损耗的离子松弛极化,故介质的tanδ较大,玻璃、陶瓷属此类。
下表列出了20℃工频条件下,常见绝缘材料的介质损耗角正切值。

3.7 讨论介质损耗的意义
(1)用做绝缘材料的介质,希望tanδ小。若tanδ过大会引起严重发热,使材料劣化,甚至可能导致热击穿。
(2)可以利用tanδ引起的介质发热,如电瓷泥坯的阴干需较长时间,在泥坯上加适当的交流电压,则可利用介质损耗发热,加速干燥过程。
(3)在绝缘试验中,tanδ的测量是一项基本测试项目。当绝缘受潮劣化或含有杂质时,tanδ将显著增加,绝缘内部是否存在局部放电,可通过测tanδ~U的关系曲线加以判断。
相关推荐链接:
1、35KV多油断路器介质超标原因及处理方法
2、φ2000多介质多介质过滤器制作详图
全部回复(1 )
只看楼主 我来说两句 抢板凳谢谢楼主的分享
回复 举报