最近有一个高位连体的项目,支座形式拟选择两端滑动支座。滑动支座一般可选择铅芯橡胶支座或摩擦摆支座。

铅芯橡胶支座

摩擦摆球型滑动支座
滑动支座选型,首先要满足竖向承载力的要求。具体可参考《建筑隔震设计标准》(GB/T 51408-2021)重力荷载代表值作用下压应力限值的相关要求。

支座竖向承载力要求
这里需要注意,对摩擦摆来说,此处反算得到的受力面积,其实是球冠和摩擦材料对应的投影面积,而非下支座的滑动面面积。

摩擦摆支座截面
然后,需要复核的是滑动支座在不同工况下的滑动位移及支座反力,这就涉及到支座参数的选择。
根据某参考文献,铅芯橡胶支座主要参数表如下:

摩擦摆支座主要参数表如下:
01 铅芯橡胶支座
滑动支座可在ETABS中模拟,铅芯橡胶支座采用Rubber Isolator单元模拟,U1连接属性为线性,U2、U3为非线性,其中有效刚度主要用于线性工况和模态工况,而非线性属性中的刚度其实为初始刚度,屈服后刚度按屈服前后的刚度比进行计算。

铅芯橡胶支座参数设置

铅芯橡胶支座U2、U3方向参数
铅芯橡胶支座的模拟计算还需要附加一个GAP单元,以实现轴向拉压刚度为10:1。
铅芯橡胶支座大震作用下滞回曲线
02 摩擦摆支座
摩擦摆系统可简化为一个沿圆弧面滑道运动的滑块,其受力模型如下:

摩擦摆受力模型
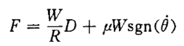
由滑块的受力平衡,对O点取矩,可得:

摩擦摆支座的水平力,其实由摩擦力和回复力两部分组成:

当滑动角度很小时,上式可简化为:

在ETABS中,摩擦摆支座采用Friction Isolator 单元模拟。其中,U1、U2、U3均需指定为非线性。
摩擦摆支座参数

摩擦摆支座U1方向参数

摩擦摆支座U2、U3方向参数
由于摩擦摆支座的滑动刚度与支座承受的竖向荷载有关,所以在时程分析之前,应先接力D+0.5L的非线性工况。
摩擦摆支座的参数计算可参考建筑摩擦摆隔震支座(GB/T37358-2019)附录A中的相关公式。

摩擦摆初始刚度计算
摩擦摆等效刚度计算
此处的有效刚度,其实并非定值,而是与支座水平位移相关,本质是二折线本构的割线刚度,当水平位移越大,等效刚度越小。通常可按最大水平位移确定有效刚度。
摩擦摆的滑动摩擦系数μ既不等于ETABS中的参数“摩擦系数-慢”,也不等于“摩擦系数-快”,而是由一个公式计算所得:


摩擦摆滞回曲线
摩擦摆虽然具有自复位能力,但无法完全复位,其残余位移与摩擦系数和摩擦摆半径有关。
回复力大于摩擦力,需要满足下式:

即当D>μR时,摩擦摆支座可自动回复,当D=μR时,达到力的平衡,不再往原始中心位置自动回复,此时,支座的最大残余位移为μR。
03 其他注意事项
滑动支座的计算涉及到非线性,但相比整个模型,非线性程度较低,在ETABS中,可采用FNA算法。筑信达建议,模态分析采用瑞兹向量法时,荷载类型也应该包括Link单元。

对高位连体项目,我们可能希望在小震及10年一遇风载工况下,支座(几乎)不滑动,在中震及大震工况下,支座才滑动。针对这种情况,可将黏滞阻尼器与滑动支座组合应用。
黏滞阻尼器的模拟可采用Damper-Exponential单元。
0人已收藏
0人已打赏
免费1人已点赞
分享
结构设计软件
返回版块41.51 万条内容 · 295 人订阅
回帖成功
经验值 +10
全部回复(0 )
只看楼主 我来说两句抢沙发