来源:网络,侵删!
高层结构设计要确保结构在风荷载作用下具有足够的抵抗变形能力和承载能力,保证结构在风荷载作用下的安全性。同时,高层建筑物在风荷载作用下将产生振动,过大的振动加速度将使在高楼内居住的人们感觉不舒适,因此高层建筑结构应具有良好的使用条件,满足舒适度的要求。

1.1 等效静态风荷载
一般作用在建筑物上的风包括平均风和脉动风。其中平均风是风荷载的长周期部分作用在建筑物上,其周期常在10min以上,可认为是作用在建筑物上的静荷载,因为其周期与建筑物的自振周期相差较远;脉动风则是短周期部分作用在建筑物上,其脉动的周期很短,一般只有几秒,其作用可以被认为是作用在建筑物上随机的动荷载,因为其周期与建筑物的自振周期比较接近。
作用在建筑结构上的风荷载除了平均风和脉动风产生的平均风力和脉动风力,还有风振产生的惯性力。平均风力、脉动风力和惯性力组合得到最终的等效静态风荷载。

(1)惯性力
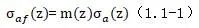
根据高频动态天平试验结果,可以求出高层建筑底部的平均风力(包含力矩和剪力)和脉动风力,在给出高层建筑结构参数的情况下,可以计算出位移和加速度响应,由共振加速度可以进一步求出惯性力。惯性力是由振动产生的,由加速度和质量决定,沿高度分布惯性力均方根σaf(z)表达式为:

上式中m(z)为沿高度的质量,

为沿高度的加速度。
(2)平均风力和脉动风力
空气来流沿高层建筑高度分布的风力可通过下式表达:

其中:ρ为空气密度;

是z处单位高度上的力系数,一般通过风压测量试验确定;

是来流风速。
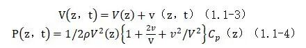
风速是平均风速与脉动风速的合成,即:

一般来说,脉动风速相对于平均风速是小量,忽略二阶小量,即可得到沿高度分布的平均风力和脉动风力分别如下:

脉动力均方根为:

其中
为沿高度的来流湍流度。
(3)等效静态风荷载
沿高度分布的等效静态风荷载由下式给出:

式中g为峰值因子,可取3.5。
1.2 结构体型系数
对于普通的高层结构,结构体型系数一般按《建筑结构荷载规范》(GB 50009-2012)表8.3.1和《高层建筑混凝土结构技术规程》(JGJ3-2010)第4.2.3条取包络值。
需要更细致进行风荷载计算的建筑可由风洞试验确定。
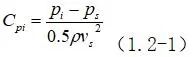
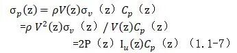
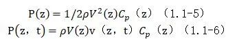
风洞试验中各点的风压系数的计算公式如下:

其中,

为风压系数,

为测点压力,

为参考点静压,ρ为空气密度,

为参考点风速。
风载体型系数μsi与风压系数Cp有如下关系:

其中,

为参考点和i点的风压高度变化系数,根据《建筑结构荷载规范》(GB 50009-2012)8.2取值。
以270m高的某框架核心筒结构的体型系数为例,从图1.21可知,结构不同高度的体型系数不同,高度越高,体型系数越大,体型系数从底部的0.6增大至顶部的1.6。

图1.21 某高层结构体型系数
1.3 结构风振系数
对于普通的建筑结构,风振系数可按《建筑结构荷载规范》(GB 50009-2012)式(8.4.3)计算;
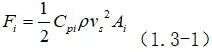
对平面形状或立面形状复杂,立面开洞或连体建筑的风振系数可按风洞试验确定。时域法的步骤是:
(1)通过风洞试验或模拟获得结构表面风压时程,利用有限元软件对结构进行建模,将风压荷载力时程Fi作用在表面节点上:

式中,
为表面i节点处的风压系数时程,


为风流的参考风压,

为节点i位置所对应的表面面积。
(2)进行时程计算分析,可得结构各个节点的位移时程响应,结构风振系数计算公式为:β=Ra/Rd(1.3-2)
式中,Rd为平均风产生的静位移,Ra为风荷载作用下结构的总响应。

(1)基本周期
计算风荷载时输入的结构基本周期需根据结构特征值计算的实际周期取值,否则会影响风计算结果的准确性。
以14层框架结构为例,计算风荷载时软件默认的结构基本周期为0.2s,实际结构的基本周期为0.7s。基本周期按0.2s输入得到的X向剪力3524kN,基本周期按0.7s输入得到的X向剪力3689kN,剪力偏小4.5%,导致结构偏于不安全。
(2)地震组合
YJK软件缺省设置的参数是风荷载不参与地震组合,对于高度大于60m建筑,应勾选风荷载参与地震组合,否则会导致结构偏于不安全。
(3)局部风控构件
对于风控的建筑结构,风荷载的增加或减少对结构构件的承载力影响较大,比如斜屋面、屋顶构架层、顶部广告牌等需考虑风荷载对结构的影响。
(4)山地建筑的风压高度变化系数取值
根据《建筑结构荷载规范》(GB 50009-2012)第8.2.2条,山地建筑应考虑地形条件的修正,对于山峰和山坡,修正系数应按式8.2.2计算;对于山间盆地,谷地等闭塞地形,修正系数可在0.75~0.85选取;对于与风向一致的谷口,山口,修正系数可在1.20~1.50选取。
(5)风压取值
在某些地区,不同规范给出的基本风压会不一致。比如不同规范对广州南沙的基本风压规定见表2-1。从表2-1可知,不同规范确定的广州南沙的基本风压相差较大,但从风压分布图看南沙的基本风压在0.6kN/㎡与0.65kN/㎡之间,综合判断认为对于普通的多层结构基本风压可取0.6kN/㎡,对于高层结构基本风压可取0.65kN/㎡。因此当地方标准的基本风压高于国家标准的基本风压时,宜按地方标准的基本风压执行。
表2-1广州南沙的基本风压
(6)规范风荷载与风洞试验风荷载对比分析(略)
可参考《高层建筑结构计算分析实用指南》。
(7)结构阻尼比
风振舒适度评价中的阻尼比取值是风振下结构舒适度评价的关键问题之一。结构阻尼比的一般变化规律有:
1)结构基本周期长时,阻尼比较小;
2)随着建筑高度的增加,结构阻尼比减小;
3)填充墙少的结构的阻尼比小于填充墙多的结构的阻尼比;
4)建筑结构短方向阻尼比小于长方向的阻尼比;
5)小振幅时的阻尼比小于大振幅时的阻尼比;
6)小应力水平下的阻尼比小于大应力水平下的阻尼比。
风振舒适度问题涉及的结构一般是高度高,基本周期长,而且风作用下振幅小、应力水平也比较低,因此风振舒适度评价时所采用的阻尼比远小于常规结构强度计算时采用的阻尼比。图21为某高层结构采用不同阻尼比计算的楼层剪力,由图可知,阻尼比越大,楼层剪力越小,当阻尼比增大一倍时,楼层剪力减小约6%。
(8)地面粗糙度对结构变形的影响
地面粗糙度是描述该地面上不规则障碍物分布状况的等级,地面粗糙度对结构整形性能影响很大,图22为不同地面粗糙度类别的层间位移角,从图可知,地面粗糙度越大,层间位移角越小,B级粗糙度比A级粗糙度变形小约10%,C级粗糙度比B级粗糙度变形小约20%,D级粗糙度比C级粗糙度变形小约25%。
(9)连梁刚度折减问题
根据《高层建筑混凝土结构技术规程》(JGJ3-2010)第5.2.1条文说明,“仅在计算地震作用效应时可以对连梁刚度进行折减,对如重力荷载、风荷载作用效应计算不宜考虑连梁刚度折减。有地震作用效应组合工况,均可按考虑连梁刚度折减后计算的地震作用效应参与组合”。
相对于地震作用来说,风力作用持续时间较长,往往达几十分钟,甚至几个小时,因此不能要求连梁通过塑性变形将内力转移到其他尚未屈服的构件上。结构计算时刚度折减愈多,就意味着风荷载作用下裂缝可开展得愈大,如发生强大阵风时,连梁塑性铰会过早出现,原结构的联肢墙刚度出现较大削弱,甚至成为各个独立的单肢墙受力。在长时间的风荷作用下,这无疑对建筑结构安全是很不利的。故而为了避免连梁在风荷载作用下裂缝开展过早过大,刚度折减系数应取较大值。
根据各种不同荷载作用下取不同刚度折减系数的方法,在地震荷载作用下,连梁刚度折减系数可取0.5~0.8;在风荷载作用下,折减系数可取0.80~1.0;在竖向荷载作用下,折减系数取1.0(即不折减)。

0人已收藏
0人已打赏
免费0人已点赞
分享
混凝土结构
返回版块140.17 万条内容 · 2210 人订阅
阅读下一篇
钻孔电视可以用在哪些地方,必知井下钻孔电视应用范围广泛,它可用于观测钻孔、井孔、钻井、油井、水井桩基中地质体的各种特征及细微想象,如地层岩性、岩石结构、地质结构、岩层走向、断层、裂隙、夹层、岩溶破碎等。主要应用于:工程、水文、矿山、石油、岩土、土木等单位或部门。井内的状况和故障不论出现在井壁或者是出现在井底,均能丝毫不漏的看得清清楚楚。井下钻孔电视是一款综合性的井下电视,操作非常简便,合理实用。井下钻孔电视从技术参数、清晰度、广范的方位范围、坚固合理的结构、不易损坏、强大的实用价值,低廉的价格,这是其它井下电视无法比拟的。同时钻孔电视的应用范围也不断扩大,目前该系统不仅应用于水文钻孔与水井的修复工作中,在油田领域,煤田领域,工程地质领域中也得到了广泛的应用,还可用在堤坝、水库的维护及海洋工程等的水下作业,武汉固德科技4D超高清全智能孔内电视(GD3Q-GA型)采用先进的图像采集与处理技术,系统集成度高,内存大。本系统的测试窗口为
回帖成功
经验值 +10
全部回复(0 )
只看楼主 我来说两句抢沙发