来源:暖通南社
如有侵权,请联系删除
给排水施工图目录及内容:
项次 |
施工图名称 |
内容 |
图纸比例 |
1 |
基地排水管 |
1接入公共下水道、管渠的位置及高程的详细尺寸。 2管路转向的检查井清扫口位置,每个节点的高程及管段的坡度。 |
|
2 |
排水横主管 |
1穿越地下室的外墙位置及防水措施的做法. 2管道位置,相关尺寸、坡度。 3管道转向或与其它横干管连接位置。 4清扫口位置详细尺寸。 5与排水立管底端接点位置、高程等。 |
|
3 |
排水立主管 |
1管道转向位置及高程. 2通气立管廷伸位置、高程及与邻墙尺寸。 3各排水横支管接入位置、高程与邻墙尺寸。 4伸顶接通气立管位置。 5伸顶管的通气帽位置及高程。 6辅助通气管出入位置及与邻墙尺寸。 |
|
4 |
横支管 |
1管道位置相邻尺寸、坡度及高程. 2接卫生器具排水管的位置相邻尺寸。 3伸廷通气管的位置。 4管道转向或与其它横支管连接的位置。 5清扫口的位置。 6埋在找平层中的位置及相邻尺寸。 |
|
5 |
器具排水管 |
1通气管的位置上下接法。 2与背部通气管的接法,位置。 3管路转向与相邻墙的尺寸。 4与存水弯的接法位置与相邻墙的尺寸。 |
|
6 |
通气主立管 |
1管道转向位置。 2环状通气管、汇合通气管、通气支管接入处位置。 3通气辅助管接入位置。 |
|
7 |
通气支管 |
1坡度。 2立管与支管的接入点。 3管路转向位置。 |
|
8 |
管道间 |
1所有管道的位置与固定方式(包括消防、空调、电气)。 2与结构的相邻尺寸。 3维修口的详细尺寸。 4屋顶泛水。 5屋顶盖、百叶窗、通风等施工措施。 |
|
9 |
屋顶配管 |
1管路位置、高程。 2支座施工及固定机械详图。 3水箱基础详细尺寸。 |
|
10 |
全栋配管系统(定位)详图 |
||
11 |
雨水管线系统图 |
||
12 |
卫浴及给水设备配置详图 |
与周边构造物相距详细尺寸 |
|
13 |
各项器具管件规格图 |
设计原则:
(一)设计中应严格遵守国家现行的规程、规范要求,特别应遵守国家规定的强制性条文的要求。
(二)选用国家标准图及院标准,应注意选用新标准图号,不能用作废的或已被新的图号替代的标准图号。
(三)严格执行国家规定的初步设计、施工图设计深度有关内容。
设计内容:
通常民用建筑给排水包括如下内容:
(一)给水系统;
(二)排水系统;
(三)消防系统。
初步设计:
初步设计阶段,给水排水专业设计文件应包括设计说明书、设计图纸、主要设备表。
A 设计说明书
(一)设计依据
Ⅰ.摘录设计总说明所列批准文件和依据性资料中与本专业设计有关的内容;
Ⅱ.本工程采用的主要法规和标准;
Ⅲ.其他专业提供的本工程设计资料,工程可利用的市政条件。
(二)设计范围
根据设计任务书和有关设计资料,说明本专业设计的内容和分工(当有其他单位共同设计时)。
(三)室外给水设计
Ⅰ.水源:由市政或小区管网供水时,应说明供水干管的方位、接管管径、能提供的水量与水压。当建自备水源时,应说明水源的水质、水温、水文及供水能力,取水方式及净化处理工艺和设备选型等。
Ⅱ.用水量:说明或用表格列出生活用水定额及用水量,生产用水水量,其他项目用水定额及用水量(含循环冷却水系统补水量、游泳池和中水系统补水量、洗衣房、锅炉房、水景用水、道路、绿化洒水和不可预计水量等);消防用水标准及用水量,总用水量(最高日用水量、最大时用水量)。
Ⅲ.给水系统:说明生活、生产、消防系统的划分及组合情况,分质分压分区供水的情况。当水量、水压不足时采取的措施,并说明调节设施的容量、材质、位置及加压设备选型。如系扩建工程,还应对现有给水系统加以简介。
Ⅳ.消防系统:说明各类形式消防设施的设计依据,设计参数,供水方式,设备选型及控制方法等。
Ⅴ.管材、接口及敷设方式。
(四)室外排水设计
Ⅰ.现有排水条件简介:当排入城市管道或其他外部明沟时应说明管道、明沟的大小、坡度、排入点的标高、位置或检查井编号。当排入水体(江、河、湖、海等)时,还应说明对排放的要求。
Ⅱ.说明设计采用的排水制度、排水出路。如需要提升,则说明提升位置、规模,提升设备选型及设计数据,构筑物形式,占地面积,紧急排放的措施等。
Ⅲ.说明雨水排水采用的暴雨强度公式(或采用的暴雨强度)、重现期、雨水排水量等。
Ⅳ.管材、接口及敷设方式
(五)建筑给水排水设计
Ⅰ.说明或用表格列出各种用水量标准,用水单位数,工作时间,小时变化系数,最高日用水量,最大时用水量。
Ⅱ.给水系统:说明给水系统的划分和给水方式,分区供水要求和采取的措施,计量方式,水箱和水池的容量、设置位置、材质,设备选型,保温、防结露和防腐蚀等措施。
一、给水方式分类
1、直接给水
1)给水方式说明:与外部给水管网直连,利用外网水压供水。
2)适用范围:(单层或多层建筑)外网水压、水量能经常满足用水要求,室内给水无特殊要求。在外网压力超过允许值时,应设减压装置。应优先选择直接供水。
2、设水箱的给水方式
1)给水方式说明:与外部给水管网直连,利用外网水压供水,同时设高位水箱调节流量和压力。
2)适用范围:(多层建筑)外网压力周期性不足,室内要求水压稳定,并允许设置高位水箱。
3、水泵和水箱的给水方式
1)给水方式说明:水泵自外管网直接抽水加压并利用高位水箱调节流量, 在外网水压高时也可以直接供水。
2)适用范围:(多层建筑)外网压力经常或间断不足,外网允许直接抽水,并允许设置高位水箱。如果市政部门不允许直接抽水,则需加设水池,从水池中抽水。
4、气压给水方式
1)给水方式说明:利用水泵自外网直接抽水加压,利用气压给水罐调节流量和控制水泵运行。
2)适用范围:(多层建筑)外网压力经常不足,而水压允许有一定的波动,不宜设置高位水箱。
5、给水方式
1)给水方式说明:市政压力能够满足下层直接供水,上层利用水泵加压及水箱调节流量。
2)适用范围:(多层和高层建筑)外网允许直接抽水,并允许设置高位水箱。
如果市政部门不允许直接抽水,则需加设水池,从水池中抽水。
二、给水方式选择
根据建筑的具体情况和当地市政部门的具体要求能够保证的管网压力对以上各种供水方式作综合比较,选择最合适的供水方式。
三、给水系统的计算
1、给水定额及时变化系数
根据建筑性质及卫生器具的具体情况选择最高日生活用水定额和小时变化系数Kh,具体参数选择参见表1和表2。
表1.住宅最高日Th活用水定额及小时变化系数
住宅类别 |
卫生器具设置标准 |
用水定额(L/人.d) |
小时变化系数Kh |
|
普通住宅 |
I |
有大便器、洗涤盆 |
85~150 |
3.0~2.5 |
Ⅱ |
有大便器、洗脸盆、洗涤盆、洗衣盆、热水器和沐浴设备器 |
130~300 |
2.8~2.3 |
|
Ⅲ |
有大便器、洗脸盆、洗涤盆、洗衣机、集中热水供应(或家用热水机组)和沐浴设备 |
180~320 |
2.5~2.0 |
|
别墅 |
有大便器、洗脸盆、洗涤盆、洗衣机、洒水栓,家用热水机组和沐浴设备 |
200~350 |
2.3~1.8 |
|
表2集体宿舍、旅馆等公共建筑的Th活用水定额及小时变化系数
序号 |
建筑物名称 |
单位 |
最高日生活用水定额(L) |
使用时数(h) |
小时变化系数 Kh |
1 |
单身职工宿舍、学生宿舍、招待所 培训中心、普通旅馆 设公用盥洗室 设公用盥洗室、淋浴室 设公用盥洗室、淋浴室、洗衣室设单身卫生间、公用洗衣室 |
每人每日 |
50~100 80~130 100~150 120~200 |
24 |
3.0~2.5 |
2 |
宾馆客房旅客 员工 |
每床位每日 每人每日 |
250~400 80~100 |
24 |
2.5~2.0 |
3 |
医院住院部 设公用盥洗室 设公用盥洗室、淋浴室 |
每床位每日 每床位每日 |
100~200 150~250 |
24 24 |
2.5~2.0 2.5~2.0 |
3 |
设单独卫生间 医务人员 门诊部、诊疗所 疗养院、休养所住房部 |
每床位每日 每人每班 每病人每次 每床位每日 |
250~400 150~200 10~15 200~300 |
24 8 8~12 24 |
2.5~2.0 2.0~1.5 1.5~1.2 2.0~1.5 |
4 |
养老院、托老院 全托 日托 |
每人每日 每人每日 |
100~150 50~80 |
24 10 |
2.5~2.0 2.0 |
5 |
幼儿园、托儿所 有住宿 无住宿 |
每儿童每次 每儿童每次 |
50~100 30~50 |
24 10 |
3.0~2.5 2.0 |
6 |
公共浴室 淋浴 浴盆、淋浴 桑拿浴(淋浴、按摩池) |
每顾客每次 每顾客每次 每顾客每次 |
100 120~150 150~200 |
12 12 12 |
2.0~1.5 |
7 |
理发室、美容院 |
每顾客每次 |
40~100 |
12 |
2.0~1.5 |
8 |
洗衣房 |
每kg干衣 |
40~80 |
8 |
1.5~1.2 |
9 |
餐饮业 中餐酒楼 快餐店、职工及学生食堂 酒吧、咖啡馆、茶座、卡拉 OK 房 |
每顾客每次 每顾客每次 每顾客每次 |
40~60 20~25 5~15 |
10~12 12~16 8~18 |
1.5~1.2 1.5~1.2 1.5~1.2 |
10 |
商场 员工及顾客 |
每m2 营业厅面积每日 |
5~8 |
12 |
1.5~1.2 |
11 |
办公楼 |
每人每班 |
30~50 |
8~10 |
1.5~1.2 |
12 |
教学、实验楼中小学校 高等院校 |
每学生每日 |
20~40 40~50 |
8~9 8~9 |
1.5~1.2 1.5~1.2 |
13 |
电影院、剧院 |
每观众每场 |
3~5 |
8~12 |
1.5~1.2 |
14 |
健身中心 |
每人每次 |
30~50 |
8~12 |
1.5~1.2 |
15 |
体育场(馆) 运动员淋浴观众 |
每人每次 每人每场 |
30~40 3 |
4 |
3.0~2.0 1.2 |
16 |
会议厅 |
每座位每次 |
6~8 |
4 |
1.5~1.2 |
17 |
客运站旅客、展览中心观众 |
每人次 |
3~6 |
8~16 |
1.5~1.2 |
18 |
菜市场地面冲洗及保鲜用水 |
每m2每日 |
10~20 |
8~10 |
2.5~2.0 |
19 |
停车库地面冲洗水 |
每m2每次 |
2~3 |
6~8 |
1.0 |
注:
1 除养老院、托儿所、幼儿园的用水定额中含食堂用水,其它均不含食堂用水。
2 除注明外,均不含员工生活用水,员工用水定额为每人每班40~60L。
3 医务建筑用水中已含医疗用水。
4 空调用应另计。
2、最高日用水量
Qd=mqd (m3/d)
Qd-最高日生活用水量
m-设计单位数(人,床,病床,m2等)
qd-单位用水定额(L/人.d,),参见表1 和表2。
3、高日最大时用水量
Qh=khQd/T(m3/h)
Qd-最高日生活用水量
Kh-小时变化系数,参见表1和表2。
Qh-最高日最大时用水量(m3/h)
T-用水时间,参见表1和表2。
4、流量的计算
1)工企业的生活间、公共浴室、职工食堂或营业餐馆的厨房、体育场运动员休息室、剧院的化妆间、普通理化实验室等建筑的生活给水管道的设计秒流量,就按下式计算:
Qg=Σqonob
式中:qg-计算管段的给水设计秒流量(L/s);
qo-同类型的一个卫生器具给水额定流量(L/s);
no-同类型卫生器具数;
b-卫生器具的同时给水百分数,应按表3~表5采用。
注:
1如计算值小于该管段上一个最大卫生器具给水额定流量时,应采用一个最大的卫生器具给水额定流量作为设计秒流量。
2大便器自闭式冲洗阀应单列计算,当单列计算值小于1.2L/s 时,以1.2L/s 计;大于1.2L/s 时,以计算值计。
表3 工业企业Th活间、公共浴室、剧院化妆间、体育场馆运动员休息室等卫Th器具同时给水百分数
卫生器具名称 |
同时给水百分数(%) |
|||
工业企业生活间 |
公共浴室 |
剧院化妆室 |
体育场馆运动员休息室 |
|
洗涤盆(池) |
33 |
15 |
15 |
15 |
洗手盆 |
50 |
50 |
50 |
50 |
洗脸盆、盥洗槽水嘴 |
60~100 |
60~100 |
50 |
80 |
浴盆 |
— |
50 |
— |
— |
无间隔淋浴器 |
100 |
100 |
— |
100 |
有间隔淋浴器 |
80 |
60~80 |
60~80 |
60~100 |
大便器冲洗水箱 |
30 |
20 |
20 |
20 |
大便器自闭式冲洗阀 |
2 |
2 |
2 |
2 |
小便器自闭式冲洗阀 |
10 |
10 |
10 |
10 |
小便器(槽)自动冲洗水箱 |
100 |
100 |
100 |
100 |
净身盆 |
33 |
— |
— |
— |
饮水器 |
30~60 |
30 |
30 |
30 |
小卖部洗涤盆 |
— |
50 |
— |
50 |
注:健身中心的卫生间,可采用本表体育场馆运动员休息室的同时给水百分率。
表4 职工食堂、营业餐馆厨房设备同时给水百分数
厨房设备名称 |
同时给水百分数(%) |
污水盆(池) |
50 |
洗涤盆(池) |
70 |
煮锅 |
60 |
生产性洗涤机 |
40 |
器皿洗涤机 |
90 |
开水器 |
50 |
蒸汽发生器 |
100 |
灶台水嘴 |
30 |
注:职工或学生饭堂的洗碗台水嘴,按比例 100%同时给水,但不与厨房用水叠加。
表5 实验室化验水嘴同时给水百分数
化验水嘴名称 |
同时给水百分数(%) |
|
科学研究实验室 |
生产实验室 |
|
单联化验水嘴 |
20 |
30 |
双联或三联化验水嘴 |
30 |
50 |
2)住宅、集体宿舍、旅馆、宾馆、医院、疗养院、幼儿园、养老院、办公楼、商场、客运站、会展中心、中小学教学楼、公共厕所等建筑的生活给水设计秒流量,应按下式计算:

式中:qg-计算管段的给水设计秒流量(L/s);
Ng-计算管段的卫生器具给水当量总数;
a-根据建筑物用途而定的系数,应按表 3.6.5 采用。
注:
1 如计算值小于该管段上一个最大卫生器具给水额定流量时,应采用一个最大的卫生器具给水额定流量作为设计秒流量。
2 如计算值大于该管段上按卫生器具给水额定流量累加所得流量值时,应按卫生器具给水额定流量累加所得流量值采用。
3 大便器延时自闭冲洗阀的给水管段,大便器延时自闭冲洗阀的给水当量均以 0.5计,计算得到的附加1.10L/s 的流量后,为该管段的给水设计秒流量。
4 综合楼建筑的值应按加权平均法计算。
住宅设计秒流量系数值(a、K值)
序号 |
建筑物名称 |
a |
K |
|
1 |
住宅 |
有大便器、洗涤盆、无淋浴设备 |
1.05 |
0.005 |
2 |
有大便器、洗涤盆、淋浴设备 |
1.02 |
0.0045 |
|
3 |
有大便器、洗涤盆、淋浴设备和热水供应 |
1.10 |
0.0050 |
|
表6根据建筑物用途而定的系数值(a、K值)
建筑物名称 |
a值 |
K值 |
幼儿园、托儿所、养老院 |
1.2 |
0 |
门诊部、诊疗所 |
1.4 |
0 |
办公楼、商场 |
1.5 |
0 |
学校 |
1.8 |
0 |
医院、疗养院、休养所 |
2.0 |
0 |
集体宿舍、旅馆、招待所、宾馆 |
2.5 |
0 |
客运站、会展中心、公共厕所 |
3.0 |
0 |
5、屋顶水箱容积的计算
1)按照规范规定生活水箱的容积按不小于最高日用水量的 5%计,即:V生活=5%Qd
2)水箱的设置高度应使其最低水位的标高满足最不利配水点的流出水头要求:
Zx≥Zb+Hc+Hs
式中:Zx—高位水箱最低水位的标高(m);
Zb—最不利配水点的标高(m);
Hc—最不利配水点需要的流出水头(m);
Hs—水箱出口至最不利配水点的管道总水头损失(mH2O)。
6、贮水池容积的计算
贮水池的有效容积与水源供水保证能力有关,一般根据用水调节水量和生
产事故水量确定,应满足下式要求:
Vy≥(Qb-Qg)Tb+Vs
式中:Vy—贮水池的有效容积(m3);
Qb—水泵出水量(m3/h)
Qg—水源的供水能力(m3/h);
Tb—水泵运行时间(h);
Vs—生产事故水量(m3)。
注:
1.除非有明确要求,一般生产事故水量Vs=0;
2.当资料不足时,贮水池的调节水量不得小于全日用水量 8%-12%。
7、计算并校核三层室内所需压力
H=H1+H2+H3+H4
注:H1-3 层最不利点与引入管和市政管网连接点之间的标高差;
H2-3 层最不利点与引入管和市政管网连接点之间的水头损失;
H3—水表水头损失;
H4—最不利点流出水头。
一般市政压力以 0.3Mpa计算,如果H小于等于0.3Mpa,则三层以下建筑可采用直接供水的方式。
8、生活加压水泵的选择
1)水泵出水量按最大时用水量的1.2倍计:Qb=1.2Qh
水泵吸水管的最大流速不应超过1.2m/s ,其他给水管道的选择参照表7。
表7 Th活给水管道的水流速度
公称直径(mm) |
15~20 |
25~40 |
50~70 |
≥80 |
水流速度(m/s) |
≤1.0 |
≤1.2 |
≤1.5 |
≤1.8 |
2)水泵扬程:
Hb=Hy+Hs+2mH2O(水泵压水管进入水箱入口处所需出水头)
式中 Hb—水泵扬程(mH2O)
Hy—扬水高度(mH2O),即贮水池最低水位至高位水箱入口处的几何高差
Hs—水泵吸水管和出水管(至高位水箱入口)的总水头损失(mH2O)
Ⅲ、消防系统:遵照各类防火设计规范的有关规定要求,分别对各消防系统(如消火栓、自动喷水、水幕、雨淋喷水、水喷雾、泡沫、气体灭火系统)的设计原则和依据,计算标准,系统组成,控制方式,消防水池和水箱的容量、设置位置以及主要设备选择等予以叙述。
一、综述
1、对建筑性质进行界定。如属于高层还是多层,属于一类高层还是二类高层。
名称 |
一类 |
二类 |
居住建筑 |
高级住宅 十九层及十九层以上的普通住宅 |
十层至十八层的普通住宅 |
公共建筑 |
1.医院 2.高级旅馆 3.建筑高度超过50m 或每层建筑面积超过1000m2 的商业楼、 展览楼、综合楼、电信楼、财贸金融楼 4.建筑高度超过 50m 或每层建筑面积超过 1500m2 的商住楼 5.中央级和省级(含计划单列市)广播电视楼 6.网局级和省级(含计划单列市)电力调度楼 7.省级(含计划单列市)邮政楼、防灾指挥调度楼 8.藏书超过 100 万册的图书馆、书库 9.重要的办公楼、科研楼、档案楼 10.建筑高度超过 50m 的教学楼和普通的旅馆、办公楼、科研楼、档案楼等 |
1.除一类建筑以外商业楼、展览楼、综合楼、电信楼、财贸金融楼、商住楼、图书馆、书库。 2.省级以下的邮政楼、防灾指挥调度楼、广播电视楼、电力调度楼。 3.建筑高度不超过 50m 的教学楼和普通的旅馆、办公楼、科研楼、档案楼等。 |
十层至十八层的普通住宅 |
||
公共建筑 |
1.医院 2.高级旅馆 3.建筑高度超过50m 或每层建筑面积超过1000m2 的商业楼、 展览楼、综合楼、电信楼、财贸金融楼 4.建筑高度超过 50m 或每层建筑面积超过 1500m2 的商住楼 5.中央级和省级(含计划单列市)广播电视楼 6.网局级和省级(含计划单列市)电力调度楼 7.省级(含计划单列市)邮政楼、防灾指挥调度楼 8.藏书超过 100 万册的图书馆、书库 9.重要的办公楼、科研楼、档案楼 10.建筑高度超过 50m 的教学楼和普通的旅馆、办公楼、科研楼、档案楼等 |
1.除一类建筑以外商业楼、展览楼、综合楼、电信楼、财贸金融楼、商住楼、图书馆、书库。 2.省级以下的邮政楼、防灾指挥调度楼、广播电视楼、电力调度楼。 3.建筑高度不超过 50m 的教学楼和普通的旅馆、办公楼、科研楼、档案楼等。 |
2、依据业主要求及相应的国家标准及地方标准和行业标准,选择合适的消防系统;医院消防可能用到的消防系统包括消火栓系统、喷淋系统、灭火器、水喷雾系统、水幕系统、气体灭火系统,应根据建筑性质和相应的建筑条件选择合适的灭火系统。无论高层还是多层,灭火器和消火栓系统一般是必须设置。
3、选定系统后查询规范或设计手册等,通过计算确定设计参数。根据设计参数选择设备,并向建筑专业和电气等其他专业提供土建条件和用电条件等。
4、所做设计均须在国家强制性规范和地方标准及行业标准允许的范围内,
不得违反。
二、消火栓系统
1、设计参数计算:
1)通过查阅规范分别确定室内和室外消火栓系统设计流量。参见表8
2)计算消火栓的保护半径:R=Ld+Ls
式中:R—消火栓保护半径(m);
Ld—水带敷设长度(m),考虑到水带的转弯曲折,应乘以折减系数 0.8;
Ls—水枪充实水柱在平面上的投影长度(m),一般取 0.7Sk。
注:消火栓的水枪充实水柱应通过水力计算确定,且建筑高度不超过100m 的高层建筑不应小于 10m;建筑高度超过 100m 的高层建筑不应小于13m。
3) 计算消火栓口所需压力,并确定是否需设置增压设备(最不利点消火栓的静水压力小于 10m 则需设置增压设备)
消火栓口处所需的水压(消火栓直径为 65mm,水枪喷口直径为 19mm)。
Hxh= Hq+hd
其中:
,阻力系数φ和实验系数af选用参见下表:
阻力系数φ值
df(mm) |
13 |
16 |
19 |
φ |
0.0165 |
0.0124 |
0.0097 |
系数af值
H m (m) |
6 |
8 |
10 |
12 |
16 |
af |
1.19 |
1.19 |
1.20 |
1.21 |
1.24 |
水枪喷嘴的出流量:

式中 qxh—水枪的射流量,L/s;
qxh—水枪水流特性系数,与水枪喷嘴口径有关,参见下表:
水枪水流特性系数B
水枪喷嘴直径(mm) |
13 |
16 |
19 |
22 |
B |
0.346 |
0.793 |
1.577 |
2.836 |
水带阻力损失:Hd=Az·Ldq2xh×10
式中:hd—水带水头损失,kPa;
Ld—水带长度,m;
Az—水带阻力系数,参见下表。
水带阻力系数 Az值
水带材料 |
水带直径 |
||
50 |
65 |
80 |
|
麻织 |
0.01501 |
0.00430 |
0.00150 |
忖胶 |
0.00677 |
0.00172 |
0.00075 |
表8消火栓给水系统的用水量
高层建筑类别 |
建筑高度 (m) |
消火栓用水量(L/s) |
每根竖管最小流量 (L/ s) |
每支水枪最小流量 (L/ s) |
|
室外 |
室内 |
||||
普通住宅 |
≤50 |
15 |
10 |
10 |
5 |
>50 |
15 |
20 |
5 |
5 |
|
1.高级住宅 2.医院 3.二类建筑的商业楼、展览楼、综合楼、财贸金融楼、电信楼、商住楼、图书馆、书库 4省级以下的邮政楼、防灾指挥调度楼、广播电视楼、电力调度楼 5建筑高度不超过 50m 的教学楼和普通的旅馆、办公楼、科研楼、档案楼等 |
≤50 |
20 |
20 |
10 |
5 |
>50 |
33 |
30 |
5 |
5 |
|
1.高级旅馆 2建筑高度超过 50m 或每层建筑面积超过 1000㎡的商业楼、展览楼、综合楼、财贸金融楼、电信楼 2.建筑高度超过 50m 或每层建筑面积超过 1500㎡的商住楼 3.中央和省级(含计划单列市)广播电视楼 4.网局级和省级(含计划单列市)电力调度楼 5.省级(含计划单列市)邮政楼、防灾指挥调度楼 6.藏书超过 100 万册的图书馆、书库 7.重要的办公楼、科研楼、档案楼 8.建筑高度超过 50m 的教学楼和普通的旅馆、办公楼、科研楼、档案楼等 |
≤50 |
30 |
30 |
15 |
5 |
>50 |
30 |
40 |
15 |
5 |
|
注:建筑高度不超过 50m,室内消火栓用水量超过 20L/s,且设有自动喷水灭火系统的建筑物,其室内、外消防用水量可按本表减少5L/s。
4)按照最不利点消防竖管和消火栓的流量分配要求计算出设计流量,并确定立管管径并计算出管路损失。
Hxho=Hxh
Hxh1=Hxho+△H+h
式中:△H —0-1 点之间的消火栓间距(m);
h—0-1 管段水头损失(m) 1 点的水枪射流量为:

进行消火栓给水系统水力计算时,按系统图以枝状管路计算。
消火栓给水系统所需总水压(Hx)应为:
Hb=Hq+hd+hg+hz
式中:Hb—消防水泵的压力(mH2O)
Hq—最不利点消防水枪喷嘴所需压力(mH2O)
hd—消防水带的水头损失(mH2O)
hg—管网的水头损失(mH2O)
hz—消防水池水面与最不利点消火栓之高差(mH2O)
具体计算模式可参照以下例题:
消火栓给水系统配管水力计算表
计算管段 |
设计秒流量qx(L/S) |
管长(L)(m) |
DN(mm) |
V(m/s) |
i(kpa/m) |
iL(kpa) |
0-1 |
5.2 |
3.5 |
100 |
0.60 |
0.0806 |
0.282 |
1-2 |
5.2+5.89=11.09 |
54.7 |
100 |
1.28 |
0.327 |
17.887 |
2-3 |
2×11.09=22.18 |
10.0 |
100 |
2.56 |
1.2225 |
12.225 |
管路总水头损失为 Hw=(0.282+17.887+12.225)×1.1=33.43kpa。
消火栓给水系统所需总水压(Hx)应为:
Hb=H1+Hxh+Hw=[24.3-(-0.7)]×10+212.3+33.43=495.73kpa
按消火栓总用水量:Qx=22.18L/S=80m3/h。

2、消防水泵选择
根据计算的设计流量和相应的扬程要求选择合适的消防泵,然后参照水泵的性能曲线来确定所选择的水泵能否满足最大或最小的流量要求,确定符合后向电气专业提送协作条件。
3、校核系统压力
如果消火栓栓口静水压力大于 1.0Mpa,则应采用分区给水系统。消火栓栓口的出水压力大于 0.5Mpa 时,应采取减压措施。
4、在布置各层消火栓时,尽量布置在楼梯和电梯附近,及走廊和其他明显且便于取用的位置,并努力保持所有层的消火栓布置在相同的位置。高层及甲乙类厂房室内消火栓间距不大于 30m,其他单层和多层则不应大于 50 m。如果建筑专业要求安装,则应保证放置消火栓的位置便于建筑专业将其包掉。同时需套结构图,防止立管穿梁的现象出现。消火栓应尽量避免放置在强、弱电和其他不宜放置消火栓的地方(针对医院),如 DSA、高压氧仓等。消防水管也不能穿过以下房间:X光室、核磁共振、CT 室、血管摄影、后荷、伽马刀、直线加速器、回旋加速器等。
三、喷淋系统
1、首先确定建筑危险等级(轻危险等级、中危险Ⅰ级、中危险Ⅱ级、严重危险等级)。参见表 A 确定火灾危险等级
表 A 设置场所火灾危险等级举例

2、确定设计参数
1)根据危险等级,选择喷水强度,作用面积等参数。参见表9
表9 民用建筑和工业厂房的系统设计参数
火灾危险等级 |
净空高 (m) |
喷水强度(L/min﹒m2) |
作用面积(m2) |
|
轻危险级 |
≤8 |
4 |
160 |
|
中危险级 |
Ⅰ级 |
6 |
||
Ⅱ级 |
8 |
|||
严重危险级 |
Ⅰ级 |
12 |
260 |
|
Ⅱ级 |
16 |
|||
注:系统最不利点处喷头的工作压力不应低于 0.05MPa。 |
||||
2)直立型、下垂型喷头的布置,包括同一根配水支管上喷头的间距及相邻配水支管的间距,应根据系统的喷水强度、喷头的流量系数和工作压力来确定,且不宜小于 2.4 米。
表10 同一根配水支管上的喷头间距及相邻配水支管的间距
喷水强度L/min.m2 |
正方形布置的边长(m) |
矩形或平形四边形布置的长边边长(m) |
一只喷头保护的最大面积(m2) |
喷头与端墙的最大距离(m) |
4 |
4.4 |
4.5 |
20 |
2.2 |
6 |
3.6 |
4.0 |
12.5 |
1.8 |
8 |
3.4 |
3.6 |
11.5 |
1.7 |
12-20 |
3.0 |
3.6 |
9.0 |
1.5 |
注:
1 仅在走道设置单排喷头的闭式系统,其喷头的间距应按走道地面不留漏喷空白点确定;
2 货架内喷头的间距不应小于2m,且不应大于3m。
3)边墙形标准头的最大保护跨度与间距,应符合表11的规定。
表11 边墙形标准喷头的最大跨度与间距(m)
设置场所火灾危险等级 |
轻危险级 |
中危险级 |
配水支管是喷头的最大间距 |
3.6 |
3.0 |
单排喷头的最大保护跨度 |
3.6 |
3.0 |
两排相对喷头的最大保护跨度 |
7.2 |
6.0 |
注:1 两排喷头应交错布置; 2 室内跨度大于两排相对喷头最大保护跨度时,应在两排喷头中间增设一排喷头。 |
||
3、水力计算
1)喷头喷水量:

式中q—喷头处节点流量,L/s;
k—喷头流量系数,玻璃球喷头 k =0.133 或水压H用mH2O时,K=0.42
H—喷头处水压,kPa。
2)系统设计流量
作用面积内的设计秒流量:Qs=nq( n—作用面积内的喷头数)。
3)理论秒流量:

4)校核
比较Qs与Ql,需符合Qs =1.15~1.30 Ql
5)从系统最不利点开始进行编号,直至水泵处,从节点1开始,至水池吸水管为止,进行水力计算。管段流量仅计算在作用面积范围的喷头,作用面积外的喷头不计。
4、自动喷淋泵的选择
1)计算水头损失Σh ,计算格式可参照以下实例:

七层喷水系统计算表
计算管段 |
设计秒 流量Q(L/S) |
管长(L) (m) |
DN(mm) |
V(m/s) |
单阻(kpa/m) |
沿程水头损失hy=iL (kap) |
水损累计εhy (kpa) |
备注 |
0-1 |
0.94 |
0.6 |
32 |
0.99 |
0.85 |
0.51 |
所有喷头流套取 0.94L/S |
|
1-2 |
1.88 |
4.56 |
40 |
1.50 |
1.54 |
7.01 |
||
2-3 |
2.82 |
0.31 |
50 |
1.33 |
0.87 |
0.27 |
||
3-4 |
3.76 |
1.81 |
50 |
1.77 |
1.50 |
2.72 |
||
4-5 |
4.70 |
1.30 |
50 |
2.21 |
2.30 |
2.99 |
||
5-6 |
5.64 |
1.50 |
65 |
2.66 |
3.27 |
4.90 |
||
6-7 |
7.52 |
0.62 |
65 |
3.54 |
5.7 |
3.53 |
||
7-8 |
8.46 |
1.36 |
65 |
2.40 |
1.94 |
2.63 |
||
8-9 |
10.34 |
2.89 |
80 |
2.08 |
1.18 |
3.41 |
||
9-10 |
10.34 |
6.15 |
100 |
1.19 |
0.29 |
1.76 |
||
10-11 |
15.04 |
21.7 |
100 |
1.74 |
0.58 |
12.62 |
||
11-12 |
15.04 |
60 |
150 |
0.79 |
0.08 |
4.89 |
47.24 |
Σh=1.3×47.24=61.4kPa=6.14mH2O
2)最不利点工作压力ho(10m H2O或5m H2O)
3)计算最不利点与给水管或消防水泵的中心线之间的静水压Z,mH 2 O
4)计算水泵扬程 H
H=Z+ho+Σh+hr
5)选泵
5、系统压力校核
(hr —湿式报警阀损失,取为 2m H2O)
配水管和配水支管最大允许工作压力不大于 1.0Mpa,报警阀处不大于1.20Mpa,否则需设置减压装置。
6、一类高层中除游泳池、溜冰场、建筑面积小于 5m2 的卫生间和不宜用水扑救的部位以外,均需设自动喷水灭火系统。诸如自动扶手梯底部,空调机房等均需设置自动喷水灭火系统。而二类高层卫生间和空调机房则不需自动喷水灭火系统。而单层和多层建筑则卫生间、自动扶手梯底部、和空调机房均不需设置喷淋。(针对医院)后荷、伽马刀、直线加速器、回旋加速器、X光、核磁共振、CT、血管摄影等贵重仪器室均不能设置自动喷水灭火系统。而浴厕等场所则不需设置自动喷水灭火系统。
四、灭火器
1、灭火器配置场所的火灾种类可划分为以下五类:
1) A 类火灾:固体物质火灾。
2) B 类火灾:液体火灾或可熔化固体物质火灾。
3)C 类火灾:气体火灾。
4)D 类火灾:金属火灾。
5)E 类火灾(带电火灾):物体带电燃烧的火灾。
2、危险等级划分:
民用建筑灭火器配置场所的危险等级,应根据其使用性质,人员密集程度,用电用火情况,可燃物数量,火灾蔓延速度,扑救难易程度等因素,划分为以下三级:
1)严重危险级:使用性质重要,人员密集,用电用火多,可燃物多,起火后蔓延迅速,扑救困难,容易造成重大财产损失或人员群死群伤的场所;
2)中危险级:使用性质较重要,人员较密集,用电用火较多,可燃物较多,起火后蔓延较迅速,扑救较难的场所;
3)轻危险级:使用性质一般,人员不密集,用电用火较少,可燃物较少,起火后蔓延较缓慢,扑救较易的场所。
4)民用建筑灭火器配置场所的危险等级举例见下表:
民用建筑灭火器配置场所的危险等级举例:
危险等级 |
举 例 |
严重危险等级 |
1.县级及以上的文物保护单位、档案馆、博物馆的库房、展览室、阅览室 |
2.设备贵重或可燃物多的实验室 |
|
3.广播电台、电视台的演播室、道具间和发射塔楼 |
|
4.专用电子计算机房 |
|
5.城镇及以上的邮政信函和包裹分检房、邮袋库、通信枢纽及其电信机房 |
|
6.客房数在 50 间以上的旅馆、饭店的公共活动用房、多功能厅、厨房 |
|
7.体育场(馆)、电影院、剧院、会堂、礼堂的舞台及后台部位 |
|
8.住院床位在 50 张以上的医院的手术室、理疗室、透视室、心电图室、药房、住院部、门诊部、病历室 |
|
9.建筑面积在 2000㎡及以上的图书馆、展览馆的珍藏室、阅览室、书库、展览厅 |
|
10.民用机场的候机厅、安检厅及空管中心、雷达机房 |
|
11.超高层建筑和一类高层建筑的写字楼、公寓楼 |
|
12.电影、电视摄影棚 |
|
13.建筑面积在 1000㎡及以上的经营易燃易爆化学物品的商场、商店的库房及铺面 |
|
14.建筑面积在 200㎡及以上的公共娱乐场所 |
|
15.老人住宿床位在 50 张及以上的养老院 |
|
16.幼儿住宿床位在 50 张及以上的托儿所、幼儿园 |
|
17.学生住宿床位在 100 张及以上的学校集体宿舍 |
|
18.县级及以上的党政机关办公大楼的会议室 |
|
19.建筑面积在 500㎡及以上的车站和码头的候车(船)室、行李房 |
|
20.城市地下铁道、地下观光隧道 |
|
21.汽车加油站、加气站 |
|
22.机动车交易市场(包括旧机动车交易市场)及其展销厅 |
|
23.民用液化气、天然气灌装站、换瓶站、调压站 |
|
中危险等级 |
1.县级以下的文物保护单位、档案馆、博物馆的库房、展览室、阅览室 |
2.一般的实验室 |
|
3.广播电台电视台的会议室、资料室 |
|
4.设有集中空调、电子计算机、复印机等设备的办公室 |
|
5.城镇以下的邮政信函和包裹分检房、邮袋库、通信枢纽及其电信机房 |
|
6.客房数在 50 间以下的旅馆、饭店的公共活动用房、多功能厅和厨房 |
|
7.体育场(馆)、电影院、剧院、会堂、礼堂的观众厅 |
|
8.住院床位在 50 张以下的医院的手术室、理疗室、透视室、心电图室、药房、住院部、门诊部、病历室 |
|
9.建筑面积在 2000㎡ 及以下的图书馆、展览馆的珍藏室、阅览室、书库、展览厅 |
|
10.民用机场的检票厅、行李厅 |
|
11.二类高层建筑的写字楼、公寓楼 |
|
12.高级住宅、别墅 |
|
13.建筑面积在 1000㎡ 及以下的经营易燃易爆化学物品的商场、商店的库房及铺面 |
|
14.建筑面积在 200㎡及以下的公共娱乐场所 |
|
15.老人住宿床位在 50 张及以下的养老院 |
|
16.幼儿住宿床位在 50 张及以下的托儿所、幼儿园 |
|
17.学生住宿床位在 100 张及以下的学校集体宿舍 |
|
18.县级及以下的党政机关办公大楼的会议室 |
|
19.学校教室、教研室 |
|
20.建筑面积在 500㎡以下的车站和码头的候车(船)室、行李房 |
|
21.百货楼、超市、综合商场的库房、辅面 |
|
22.民用燃油、燃气锅炉房 |
|
23.民用的油浸变压器室和高、低压配电室 |
|
轻危险等级 |
1.日常用品小卖店及经营难燃烧或非燃烧的建筑装饰材料商店 |
2.未设集中空调、电子计算机、复印机等设备的普通办公室 |
|
3.旅馆、饭店的客房 |
|
4.普通住宅 |
|
5.各类建筑物中以难燃烧或非燃烧的建筑构件分隔的并主要存贮难燃烧或非燃烧材料的辅助房间 |
严重危险等级 |
1.县级及以上的文物保护单位、档案馆、博物馆的库房、展览室、阅览室 |
2.设备贵重或可燃物多的实验室 |
|
3.广播电台、电视台的演播室、道具间和发射塔楼 |
|
4.专用电子计算机房 |
|
5.城镇及以上的邮政信函和包裹分检房、邮袋库、通信枢纽及其电信机房 |
|
6.客房数在 50 间以上的旅馆、饭店的公共活动用房、多功能厅、厨房 |
|
7.体育场(馆)、电影院、剧院、会堂、礼堂的舞台及后台部位 |
|
8.住院床位在 50 张以上的医院的手术室、理疗室、透视室、心电图室、药房、住院部、门诊部、病历室 |
|
9.建筑面积在 2000㎡及以上的图书馆、展览馆的珍藏室、阅览室、书库、展览厅 |
|
10.民用机场的候机厅、安检厅及空管中心、雷达机房 |
|
11.超高层建筑和一类高层建筑的写字楼、公寓楼 |
|
12.电影、电视摄影棚 |
|
13.建筑面积在 1000㎡及以上的经营易燃易爆化学物品的商场、商店的库房及铺面 |
|
14.建筑面积在 200㎡及以上的公共娱乐场所 |
|
15.老人住宿床位在 50 张及以上的养老院 |
|
16.幼儿住宿床位在 50 张及以上的托儿所、幼儿园 |
|
17.学生住宿床位在 100 张及以上的学校集体宿舍 |
|
18.县级及以上的党政机关办公大楼的会议室 |
|
19.建筑面积在 500㎡及以上的车站和码头的候车(船)室、行李房 |
|
20.城市地下铁道、地下观光隧道 |
|
21.汽车加油站、加气站 |
|
22.机动车交易市场(包括旧机动车交易市场)及其展销厅 |
|
23.民用液化气、天然气灌装站、换瓶站、调压站 |
|
中危险等级 |
1.县级以下的文物保护单位、档案馆、博物馆的库房、展览室、阅览室 |
2.一般的实验室 |
|
3.广播电台电视台的会议室、资料室 |
|
4.设有集中空调、电子计算机、复印机等设备的办公室 |
|
5.城镇以下的邮政信函和包裹分检房、邮袋库、通信枢纽及其电信机房 |
|
6.客房数在 50 间以下的旅馆、饭店的公共活动用房、多功能厅和厨房 |
|
7.体育场(馆)、电影院、剧院、会堂、礼堂的观众厅 |
|
8.住院床位在 50 张以下的医院的手术室、理疗室、透视室、心电图室、药房、住院部、门诊部、病历室 |
|
9.建筑面积在 2000㎡ 及以下的图书馆、展览馆的珍藏室、阅览室、书库、展览厅 |
|
10.民用机场的检票厅、行李厅 |
|
11.二类高层建筑的写字楼、公寓楼 |
|
12.高级住宅、别墅 |
|
13.建筑面积在 1000㎡ 及以下的经营易燃易爆化学物品的商场、商店的库房及铺面 |
|
14.建筑面积在 200㎡及以下的公共娱乐场所 |
|
15.老人住宿床位在 50 张及以下的养老院 |
|
16.幼儿住宿床位在 50 张及以下的托儿所、幼儿园 |
|
17.学生住宿床位在 100 张及以下的学校集体宿舍 |
|
18.县级及以下的党政机关办公大楼的会议室 |
|
19.学校教室、教研室 |
|
20.建筑面积在 500㎡以下的车站和码头的候车(船)室、行李房 |
|
21.百货楼、超市、综合商场的库房、辅面 |
|
22.民用燃油、燃气锅炉房 |
|
23.民用的油浸变压器室和高、低压配电室 |
|
轻危险等级 |
1.日常用品小卖店及经营难燃烧或非燃烧的建筑装饰材料商店 |
2.未设集中空调、电子计算机、复印机等设备的普通办公室 |
|
3.旅馆、饭店的客房 |
|
4.普通住宅 |
|
5.各类建筑物中以难燃烧或非燃烧的建筑构件分隔的并主要存贮难燃烧或非燃烧材料的辅助房间 |
3、灭火器的最大保护距离
1)设置在 A 类火灾场所的灭火器,其最大保护距离应符合下表的规定。
灭火器型式/危险等级 |
手提式灭火器 |
推车式灭火器 |
严重危险等级 |
15 |
30 |
中危险等级 |
20 |
40 |
轻危险等级 |
25 |
50 |
2)设置在 B、C 类火灾场所的灭火器,其最大保护距离应符合下表的规定。
灭火器型式/危险等级 |
手提式灭火器 |
推车式灭火器 |
严重危险等级 |
9 |
18 |
中危险等级 |
12 |
24 |
轻危险等级 |
15 |
30 |
3)D 类火灾场所的灭火器,其最大保护距离应根据具体情况研究确定。
4)E 类火灾场所的灭火器,其最大保护距离不应低于该场所内 A 类或 B类火灾的规定。
机动车车库和医院手术室、理疗室、透视室、心电图室、药房、住院部、门诊部、病历室为严重危险等级,灭火器的最大保护半径不超过12m,其他场所为中危险等级,灭火器的最大保护半径不超过 15m。一般组合式消火栓箱内都设有一组灭火器,布置灭火器时只需补足缺少的部分即可。而面积比较大的高、低压配电间可以设置推车式灭火器。
4、灭火器的最低配置基准
1)A 类火灾场所灭火器的最低配置基准应符合下表的规定。
危险等级 |
严重危险等级 |
中危险等级 |
轻危险等级 |
单具灭火器最小配置灭火级别 |
3A |
2A |
1A |
单位灭火级别最大保护面积(m2/A) |
50 |
75 |
100 |
2)B、C 类火灾场所灭火器的最低配置基准应符合下表的规定。
危险等级 |
严重危险等级 |
中危险等级 |
轻危险等级 |
单具灭火器最小配置灭火级别 |
89B |
55B |
21B |
单位灭火级别最大保护面积(m2/A) |
0.5 |
1.0 |
1.5 |
3)D 类火灾场所的灭火器最低配置基准应根据金属的种类、物态及其特性等研究确定。
4)E 类火灾场所的灭火器最低配置基准不应低于该场所内 A 类(或 B 类)
火灾的规定。
五、水幕系统
水幕系统一般设置在不方便设置防火卷帘的区域,通过水幕来达到分割防火分区的目的。一般可以通过加密自动喷水灭火系统喷头密度的方式来取代。水幕系统的设计基本参数应符合表12的规定:
表12 水幕系统的设计基本参数
水幕类别 |
喷水点高度(m) |
喷水强度 (L/s·m) |
喷头工作压力(MPa) |
防火分隔水幕 |
≤12 |
2 |
0.1 |
防护冷却水幕 |
≤4 |
0.5 |
|
注:防护冷却水幕的喷水点高度每增加 1m,喷水强度应增加 0.1L/s·m,但超过 9m 时喷水强度仍采用 1.0L/s·m。 |
|||
其他计算和喷林系统相同,在此不再赘述。
六、 气体灭火
一般运用在不宜用水灭火系统的区域,如高、低压变配电室。可以采用FM200,CO2 等气体灭火,但不得采用卤代烷 1211,1301 灭火系统。此部分一般由专业厂商来设计,在此不再赘述。
Ⅳ、热水系统:说明采取的热水供应方式,系统选择,水温、水质、热源、加热方式及最大小时用水量和耗热量等。说明设备选型、保温、防腐的技术措施等。当利用余热或太阳能时,尚应说明采用的依据,供应能力,系统形式,运行条件及技术措施等。
一、设计程序:
1、设计热水流量
2、水加热器的选择
3、计算热水系统供水损失
4、管道热量损失计算
5、循环流量的计算
6、循环损失计算
7、循环泵的选择
8、热水小时耗热量
9、热媒量计算
二、设计步骤:
1、设计流量的确定
1)据使用热水的卫生器具数计算
Q=Σkrqhn0b(本公式与建筑给排水设计规范中不同,规范中没有混合系统)
Q—设计小时热水量 L/h;
qh—卫生器具的热水小时定额;
n0—同类卫生器具数
b—同时使用卫生器具百分数,公共浴室和工业企业生活间,学校剧院,体育馆等淋浴器和洗脸盆按 100%,旅馆客房卫生间浴盆按 30~50%其它器具不计;医院、疗养院按 25~50%其它器具不计。
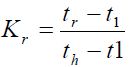
Kr—热水混合系数:

tr—热水系统供水;
th—水混合后卫生器具出水温度;
tl—冷水计算温度;
注:用水定额为 60 度供水,当供水温度不同时要进行换算。
2、水加热器的选择
由tr、tl、Q 以及建筑物的性质,和供水情况选择加热器的类型。
3、计算热水系统供水损失,校核高位水箱是否可以满足供水压力(开式水箱供水
时)
H>Hi+ Hj
H —水箱与最不利点的高差 m;
Hi—从水箱到加热器,从加热器到最不利点的沿程局布损失,H2Om;
Hj—水加热器的损失 H2Om
4、管道热量损失
1)假定系统最不利点计算温度.取 55 度(不宜低于 50 度) ;
2)将水加热器到最不利点管展开计算露在空气中面积 S;
3)计算温降比(T1-T2)/S ;
4)计算各节点温度,并计算各管段的热量损失 。
Qs=3.14DLK (1-ψ)((tc-tz)/2- t1)
qs—计算管段热损失 W;
D—管道外径 m;
L—管道长度 m;
?—保温系数,无保温取 0.一般保温取 0.6.较好保温取0.7~0.8;
K—无保温钢管传热系数 11.6W/m2.℃;
tc—进入该管温;
tz—出该管温度。
tj值:
管道敷设情况 |
tj |
有采暧房间内明装 |
18~20 |
有采暧房间内暗装 |
30 |
敷设在不采暖房间顶棚内 |
采用 1 月份室外平均温度 |
敷设在不采暖房间地下室 |
5~10 |
敷设在室内地沟 |
35 |
QS=ΣQ
QS—管段上的总损失,W;
Q—各管段上的损失,W。
热水配水管网热损失计算 |
|||||||||||
节点 |
管段 |
管长 m |
外径 mm |
保温系数 |
节点温度 |
平均温度 |
空气温度 |
温差 |
热损失 w |
循环流量 l/s |
|
1 |
55 |
||||||||||
1~2 |
3 |
33.5 |
0.75 |
55.0435 |
20 |
35.044 |
32.07 |
||||
2 |
5.087 |
0 |
0 |
0 |
|||||||
2~3 |
3 |
42.25 |
0.75 |
55.1935 |
20 |
35.194 |
40.62 |
||||
3 |
55.3 |
0 |
0 |
0 |
|||||||
3~4 |
3 |
48 |
0.75 |
55.345 |
20 |
35.345 |
46.347 |
||||
4 |
55.39 |
0 |
0 |
0 |
|||||||
4~5 |
3 |
48 |
0.75 |
55.44 |
20 |
35.44 |
46.471 |
||||
5 |
55.49 |
0 |
0 |
0 |
|||||||
5~6 |
3 |
60 |
0.75 |
55.6 |
20 |
35.6 |
58.351 |
||||
6 |
55.71 |
0 |
0 |
0 |
|||||||
6~7 |
3 |
60 |
0.75 |
55.815 |
20 |
35.815 |
58.704 |
||||
7 |
55.92 |
0 |
0 |
0 |
|||||||
7~8 |
5 |
60 |
0.75 |
56.035 |
20 |
36.035 |
98.44 |
||||
8 |
56.15 |
0 |
0 |
0 |
|||||||
8~9 |
8 |
60 |
0.75 |
56.259 |
20 |
36.259 |
158.48 |
||||
9 |
56.368 |
0 |
0 |
0 |
|||||||
9~10 |
12 |
75.5 |
0.75 |
56.664 |
20 |
36.664 |
302.48 |
||||
10 |
56.96 |
0 |
0 |
0 |
|||||||
10~11 |
35 |
88.5 |
0.75 |
58.48 |
20 |
38.48 |
1085.4 |
||||
11 |
60 |
0 |
|||||||||
5、循环流量:

qx—总循环流量 L/S;
QS—总热量损失 W(也可按设计小时耗热量的 5%~10%);
Δt—进出热水温差;
CB—水的比热 4190J/Kg。
F、循环流量通过各节点的温度。当最不利点温度低于 50(40)时。
解决方法:提高保温标准,增加循环流量。
注:各节点流量,以每条干管的热损失和与总热损失和的比来确定各节点设计循
环流量。
6、循环水头损失计算
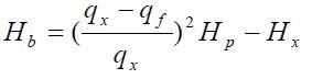
H= H p+Hx+ hj
H—循环管的总水头损失 Kpa;
Hp—循环水在配水管网中的总损失 Kpa。
Hx—循环水在回水管网中的总损失 Kpa。
hj —循环流量通过水加热器的水头损失 Kpa。
注:循环水头计算过程中,只计循环流量通过最不利管的损失来计。
循环水损失(例表)
循环水头损失计算表 |
||||||
管段 |
编号 |
管长m |
管径mm |
循环流量 L/S |
流速m/s |
沿程损失 Kpa |
配水管路 |
1~2 |
3 |
25 |
0.049 |
0.099873 |
0.039820558 |
2~3 |
3 |
32 |
0.049 |
0.060957 |
0.011634365 |
|
3~4 |
3 |
40 |
0.049 |
0.039013 |
0.003884211 |
|
4~5 |
3 |
40 |
0.049 |
0.039013 |
0.003884211 |
|
5~6 |
3 |
50 |
0.049 |
0.024968 |
0.001313381 |
|
6~7 |
3 |
50 |
0.049 |
0.024968 |
0.001313381 |
|
7~8 |
3 |
50 |
0.049 |
0.024968 |
0.001313381 |
|
8~9 |
8 |
50 |
0.049 |
0.024968 |
0.00350235 |
|
9~10 |
12 |
70 |
0.099 |
0.025738 |
0.003579236 |
|
10~11 |
35 |
80 |
0.149 |
0.029658 |
0.011282794 |
|
回水管路 |
1~1' |
8 |
25 |
0.049 |
0.099873 |
0.106188154 |
1'~1'' |
5 |
32 |
0.099 |
0.123159 |
0.071226161 |
|
1''~11 |
15 |
40 |
0.149 |
0.118631 |
0.149031634 |
|
7、循环泵的选择
计算循环流量为 Qr>循环流量
计算循环总水头时,考虑附加一定流量的损失:

Hb—循环水泵扬程 KPA;
qx—循环流量L/S;
qf—循环附加流量,一般为设计小时用水量的15%,L/S;
Hp—循环水在配水管网中的总损失 Kpa
Hx—循环水在回水管网中的总损失 Kpa
循环泵选取管道泵,一备一用。
8、热水小时耗热量
Qr=C5 (tr-t1)Q
Q—设计小时耗热量 KJ/h;
CB——水的比热一般 4.19kj/Kg.C;
tr—热水温度(水加热器出口温度);
tl —冷水温度 (水加热器进口温度);
Qr—设计小时热水量 L/h;
9、热媒量计算
1)采用蒸气直接加热时,蒸气耗量计算:

Gm—蒸气直接加热时的蒸气耗量 Kg/h;
Q—设计小时耗量 KJ/h;
i—蒸气热焓 KJ/Kg 按蒸气绝对压力从下表查得13;
Qhr—蒸气与冷水混合后的热焓 KJ/Kg ;
可按Qhr=CB*tr
tr—热水温度;
CB—水的比热.4.19KJ/Kg。
热水管道的流速:
公称直径 |
5~20 |
25~40 |
>50 |
流速M/S |
<0.8 |
<1.0 |
<1.2 |
饱和水蒸气性质(13):
绝对压力pa(kgf/cm2) |
水蒸气温度(℃) |
热焓KJ/Kg |
水蒸气的气化热 KJ/Kg |
|
液体 |
蒸气 |
|||
1x105(0.33) |
100 |
419 |
2679 |
2260 |
1.96x105(2) |
119.6 |
502 |
2707 |
2205 |
2.96x105(3) |
132.9 |
559 |
2726 |
2167 |
3.92x105(4) |
142.9 |
601 |
2738 |
2137 |
4.9x105(5) |
151.1 |
637 |
2749 |
2112 |
5.88x105(6) |
158.1 |
667 |
2757 |
2090 |
6.86x105(7) |
164.2 |
694 |
2767 |
2073 |
7.84x105(8) |
169.6 |
718 |
2773 |
2055 |
8.82x105(9) |
174.5 |
739 |
2777 |
2038 |
2)采用蒸气间接加热时,蒸气耗量计算:
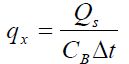
Gmh=(1.1~1.2)Q/rh
Gmh—蒸气直接加热时的蒸气耗量 Kg/h;
Q—设计小时耗量 KJ/h;
rh—蒸气的气化热,按表 9-8 。
3)采用的热媒为热水时,热媒的耗量的计算:

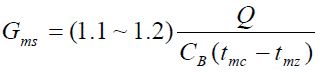
Gms—热媒热水耗量 Kg/h;
Q—设计小时耗量 KJ/h;
CB—水的比热.4.19KJ/Kg
tmc—热媒供水温度,℃;
tmz—热媒出水温度,℃ ;
注: 热媒供水温度和出水温度不得相差10℃。
求的热媒耗量后,由暧通专业人员选择相应锅炉。
注:
1、水管网上在下列管段上,应设止回阀:
1)水加热器或贮水罐的冷水供水管;
2)机械循环回水管上;
3)冷热水混合器的冷热水管。

2、热水上下列管段上应装阀门:
1)与配水、回水干管连接的分管;
2)配水立管和回水立管上;
3)从立近接出的支管;
4)3 个及3 个以上的配水点的配水管;
5)与热水设备、水处理设备及温度、压力等控制阀件连接处的管段上按其要
6)下行上给的供水管网,最低点无配水点,要加泄水阀。要求配置阀门。
3、上行下给供水系统的排气:
1)应在配水干管最高点上设置排气阀;
2)下行上给配水系统,可利用最高配水点排气;
4、保温与管道热胀冷缩:
1)管道热伸缩量
δL=a(t2-t1)L
δL—管道伸长量 mm;
L—计算管道长度 m;
t2—管道中热水最高温度
t1—安装环境最底温度,室内取-5,室外应按冬季采暧室外温度;
a—金属的线膨胀系数(mm/m.C),钢管取 0.02。
室内带有支管的热力干管的直线管段,允许不装伸缩器的最大长度
热水温度 |
60 |
70 |
80 |
90 |
95 |
100 |
110 |
120 |
130 |
140 |
143 |
蒸气压力MPA |
0.05 |
0.1 |
0.18 |
0.27 |
0.3 |
||||||
民用建筑 |
50 |
44 |
39 |
35 |
33 |
32 |
29 |
27 |
24 |
22 |
22 |
工业建筑 |
94 |
55 |
49 |
44 |
42 |
40 |
37 |
32 |
30 |
28 |
28 |
注:本表上按固定点到自由端,各立管与干管连接点位移不超过下列值编制的。
民用建筑 40mm;工业建筑50mm。
2)常见保温材料及厚度
超细玻璃棉 导热系数为 0.0407W/m.C
玻璃棉 导热系数为 0.051W/m.C
矿渣棉 导热系数为 0.059W/m.C
水泥珍株岩 导热系数为 0.070W/m.C
水泥珍株岩 导热系数为 0.1047W/m.C
保温材料的厚度,与保温要求和管径有关,保温程度越高,保温越厚;管径越大, 保温越厚。
常用的厚度,小等于 40 管 25 30 35 40
大等于 20 管 35 40 50 55 60 65 70
Ⅴ、排水系统:说明排水系统选择,生活和生产污(废)水排水量,室外排放条件。屋面雨水的排水系统选择及室外排放条件,采用的降雨强度和重现期。
A、排水系统的设计
一、设计程序:
1、根据建筑的性质,以及当地的环保要求选择排水方式:合流制、分流制
2、排水横支管的计算
3、排水立管的计算
4、排水横干管及排出管的计算.
5、集水坑的设置
6、排污泵的选择
7、化粪池的选择
8、隔油池的计算选择
二、设计计算过程:
1、排水支管的计算
1)住宅、集体宿舍、旅馆、医院、办公楼和学校等建筑用水设备不集中,用水时间长,同时排水百分数随数量增加而减少。
qu,计算管段上的设计流量,L/s
Np,计算管段上卫生器具排水当量总数;
qmax,计算管段上排水量最大的一个卫生器具的排水量 L/s;
a 根据建筑用途而定的系统,宜按表14确定。
建筑用途而定系数 a,表14
建筑物的名称 |
集体宿舍、旅馆、和其它公共建筑的公共洗浴室和卫生间 |
住宅、旅馆、医院、疗养院、体养所的卫生间 |
a |
1.5 |
2.0~2.5 |
注:起始管段上因连接卫生器具较少时,计算结果会大于所接卫生器具总和,这时以所接管的总和作为设计秒流量。
2)工业企业生活间、公共浴室、洗衣房、公共食堂、影剧院、体育场等建筑的卫生设备使用集中。
Qu=Σqnob
Qu,计算管段上的设计流量,L/s ;
q,同类型的一个卫生器具排水流量 L/s
n0,同类卫生器具数;
b,卫生器具同时排水百分数,冲洗水箱大便器按 12%其它同给水;
根据当量和设计流量结合卫生器具所接最管径确定支管管径(与排水横干管相同,查表14)
说明:以上公式适用于生活污水和生活废水。
最水管径来确定排水支管
序号 |
卫生器具 |
排水流量 |
当量 |
管径 |
最小坡度 |
备注 |
1 |
污水盆 |
0.33 |
1.0 |
50 |
0.025 |
|
2 |
洗手盆 |
0.10 |
0.3 |
50 |
0.020 |
|
3 |
大便器 |
1.50 |
4.5 |
100 |
0.012 |
|
4 |
小便器 |
0.05 |
0.15 |
50 |
0.020 |
生活污水管道的坡度( 塑料管)
管径 |
通用坡度 |
最小坡度 |
50 |
0.035 |
0.025 |
75 |
0.025 |
0.015 |
100 |
0.020 |
0.012 |
125 |
0.015 |
0.010 |
150 |
0.010 |
0.007 |
200 |
0.008 |
0.005 |

2、排水立管的计算
1)住宅、集体宿舍、旅馆、医院、办公楼和学校等建筑用水设备不集中,用水时间长。

qu,计算管段上的设计流量,L/s;
Np,计算管段上卫生器具排水当量总数;
qmax,计算管段上排水量最大的一个卫生器具的排水量 L/s
a 根据建筑用途而定的系统,宜按下表确定。
2)工业企业生活间、公共浴室、洗衣房、公共食堂、影剧院、体育场等建筑的卫生设备使用集中。
qu=Σqxn0xb
qu,计算管段上的设计流量,L/s;
q,同类型的一个卫生器具排水流量 L/s;
n0,同类卫生器具数;
b,卫生器具同时排水百分数,冲洗水箱大便器按 12%其它同给水;
根据立管设计流量选取排水方式与管径
立管水力计算表(例表)

立管一不需各节点计算,从底到顶管径一致。
排水立管最大允许排水量
通气情况 |
立管工作高度 |
管径 |
||||
50 |
75 |
100 |
125 |
150 |
||
普通伸顶 |
1.0 |
2.5 |
4.5 |
7.0 |
10.0 |
|
设有专用通气立管通气 |
5.0 |
9.0 |
14.0 |
25.0 |
||
特制配件伸顶通气 |
6.0 |
9.0 |
13.0 |
|||
无通气 |
小于 2 |
1.00 |
1.70 |
3.80 |
||
3 |
0.64 |
1.35 |
2.40 |
|||
4 |
0.50 |
0.92 |
1.76 |
|||
5 |
0.40 |
0.70 |
1.36 |
|||
6 |
0.40 |
0.50 |
1.00 |
|||
7 |
0.40 |
0.50 |
0.76 |
|||
大于 8 |
0.40 |
0.50 |
0.64 |
|||
3)通气管的计算
单立管排水系统的伸顶通气管可与污水管相同,但在最冷月平均气温低于-13 度的地区,为防止结霜,应在室内吊顶 0.3 米下放大一级。
通气管最小管径
通气管名称 |
污水管管径 |
||||||
32 |
40 |
50 |
75 |
100 |
125 |
150 |
|
器具通气管 |
32 |
32 |
32 |
50 |
50 |
||
环形通气管 |
32 |
40 |
50 |
50 |
|||
通气立管 |
40 |
50 |
75 |
100 |
100 |
||
4)汇合通气管的计算:

DN —通气干管和总伸顶通气管管径 mm;
dmax—最大一根通气管管径 mm;
dj—其余通气管管径 mm。
3、排水横干管及排出管的计算
1) 设计流量的计算 Q
Q—同立管设计流量的计算 L/S
废水横管水力计算表( 例表)

排水横干管的最小坡度和最大设计充满度(塑料管)
外径mm |
最小坡度 |
最大充满度 |
110 |
0.004 |
0.5 |
125 |
0.0035 |
0.5 |
160 |
0.003 |
0.6 |
200 |
0.003 |
0.6 |
0人已收藏
0人已打赏
免费0人已点赞
分享
建筑给排水
返回版块47.29 万条内容 · 1370 人订阅
回帖成功
经验值 +10
全部回复(0 )
只看楼主 我来说两句抢沙发